Comparison of Instabilities of Annular Perturbations on the Background of Pulsating 2D and 3D Self-Gravitating Models
- Authors: Mirtadjieva K.T.1,2, Nuritdinov S.N.1
-
Affiliations:
- Ulugh Beg Astronomical Institute, Uzbek Academy of Sciences
- National University of Uzbekistan
- Issue: Vol 100, No 5 (2023)
- Pages: 461-471
- Section: Articles
- URL: https://journals.rcsi.science/0004-6299/article/view/139085
- DOI: https://doi.org/10.31857/S0004629923050079
- EDN: https://elibrary.ru/YWRUMH
- ID: 139085
Cite item
Full Text
Abstract
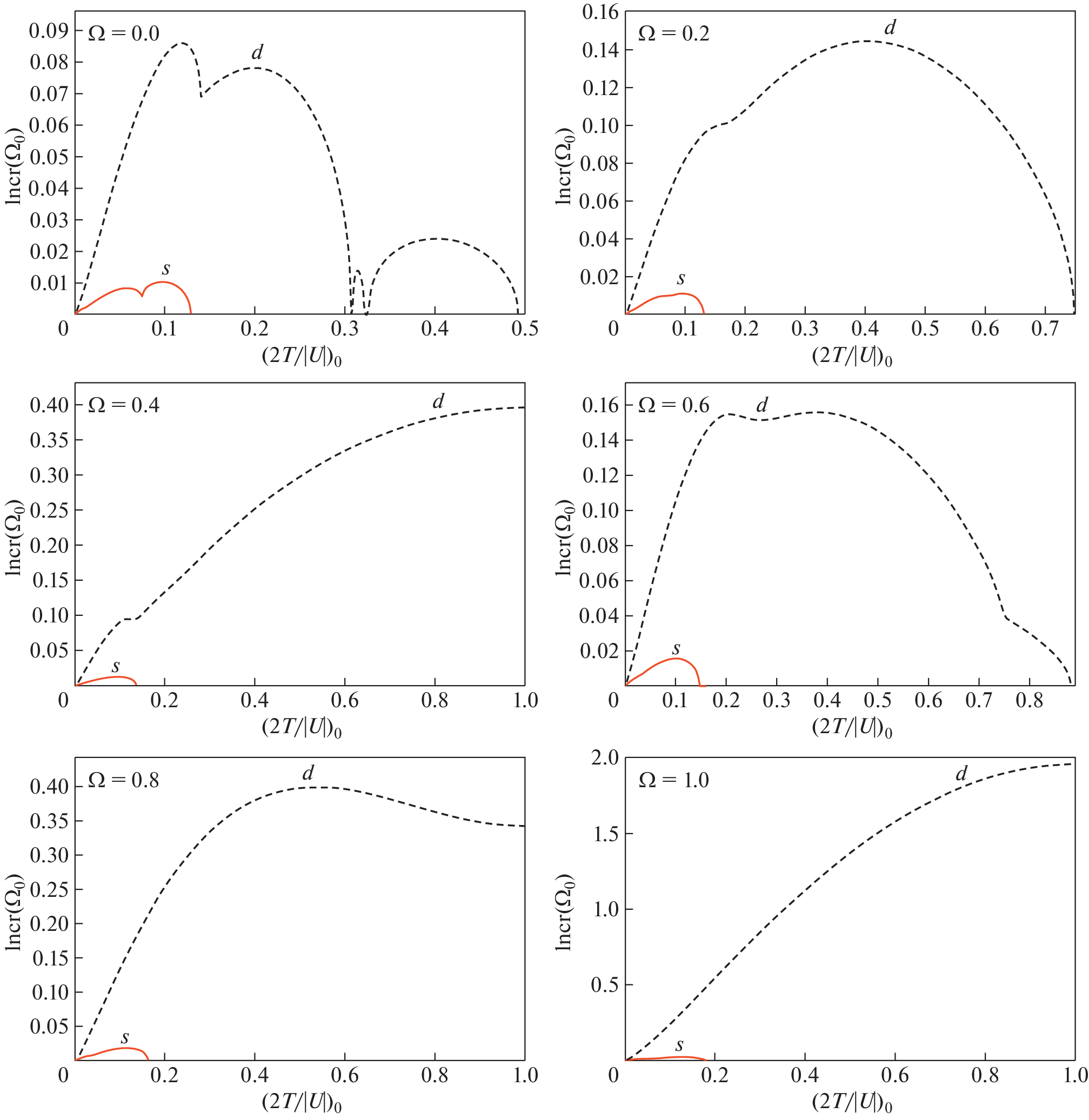
The problem of gravitational instability of the observed annular (ring-like) structural perturbation modes on the background of a nonlinearly pulsating spherical model based on the well-known equilibrium Camm ball is studied. Nonstationary analogues of dispersion relations for the perturbation modes under consideration within this model are obtained. Critical diagrams of the initial virial ratio versus the model rotation parameter are constructed for each case. A comparative analysis of the increments of gravitational instability of annular perturbation modes on the background of spherical and disk-shaped nonlinearly pulsating models is also performed. An analysis of the results shows that the annular perturbation modes are predominantly more unstable in a nonstationary disk than in a spherical nonequilibrium model, regardless of the rotation parameters and the initial virial ratio of the systems. The article is partly based on a report presented at the conference “Modern Stellar Astronomy-2022” held at the Caucasian Mountain Observatory of the Sternberg Astronomical Institute of Lomonosov Moscow State University, November 8–10, 2022.
About the authors
K. T. Mirtadjieva
Ulugh Beg Astronomical Institute, Uzbek Academy of Sciences; National University of Uzbekistan
Email: mkt1959@mail.ru
100052, Tashkent, Uzbekistan; 100174, Tashkent, Uzbekistan
S. N. Nuritdinov
Ulugh Beg Astronomical Institute, Uzbek Academy of Sciences
Author for correspondence.
Email: mkt1959@mail.ru
100052, Tashkent, Uzbekistan
References
- L. Shamir, Monthly Not. Roy. Astron. Soc. 491(3), 3767 (2020).
- R. Buta, Astrophys. J. Suppl. 96, 39 (1995).
- R. Buta, Monthly Not. Roy. Astron. Soc. 471(4), 4027 (2017).
- J. Fernandez, S. Alonso, V. Mesa, F. Duplancic, and G. Coldwell, Astron. and Astrophys. 653, id. 12 (2021).
- A. M. Fridman and V. L. Polyachenko, Physics of gravitating systems. I: Equilibrium and Stability (New-York: Springer-Verlag, 1984).
- J. Binney and S. Tremaine, Galactic dynamics (New Jersey, Princeton University Press, 2008).
- В. Г. Горбацкий, Введение в физику галактик и скоплений галактик (М.: Наука, 1986).
- С. Н. Нуритдинов, Астрон. журн. 68, 763 (1991).
- С. Н. Нуритдинов, Нелинейные модели и физика неустойчивости неравновесных бесстолкновительных самогравитирующих систем, Автореферат диссертации на соискание ученой степени доктора физ.-мат. наук, (Санкт-Петербург, 1993).
- S. N. Nuritdinov, K. T. Mirtadjieva, and Sultana Mariam, Astrophysics 51(3), 487 (2008).
- K. T. Mirtadjieva, S. N. Nuritdinov, K. A. Mannapova, and T. O. Sadibekova, Astrophysics 65(2), 247 (2022).
- Г. С. Бисноватый-Коган, Я. Б. Зельдович, Астрофизика 6(3), 387 (1970).
- И. Г. Малкин, Теория устойчивости движения (М.: Наука, 1967).
Supplementary files











