Влияние испарения пыли и тепловой неустойчивости на распределение температуры в протопланетном диске
- Авторы: Павлюченков Я.Н.1, Акимкин В.В.1, Топчиева А.П.1, Воробьев Э.И.1
-
Учреждения:
- Институт астрономии Российской академии наук
- Выпуск: Том 100, № 5 (2023)
- Страницы: 427-440
- Раздел: СТАТЬИ
- URL: https://journals.rcsi.science/0004-6299/article/view/139082
- DOI: https://doi.org/10.31857/S0004629923050080
- EDN: https://elibrary.ru/YWZIDE
- ID: 139082
Цитировать
Полный текст
Аннотация
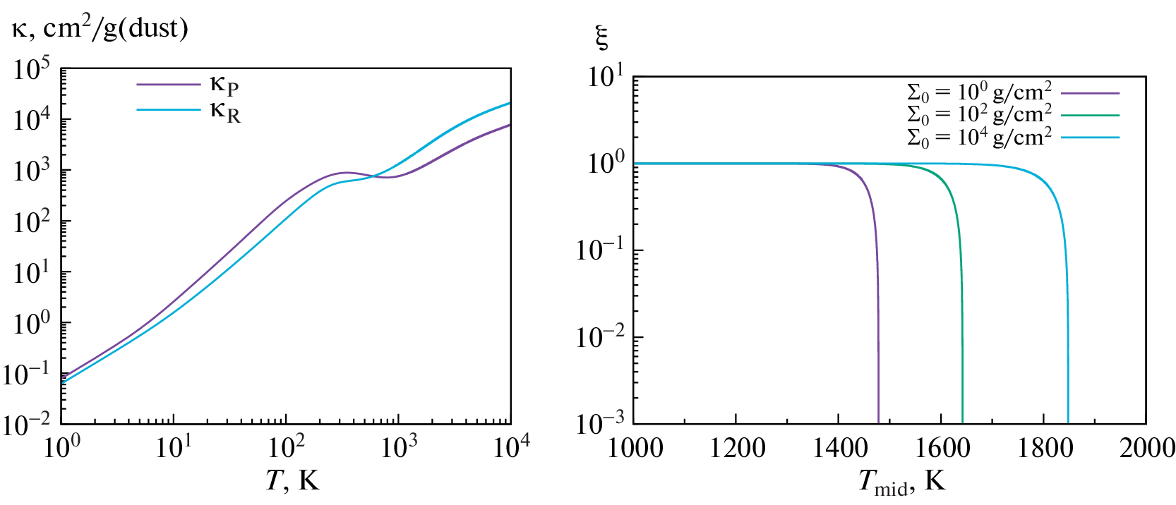
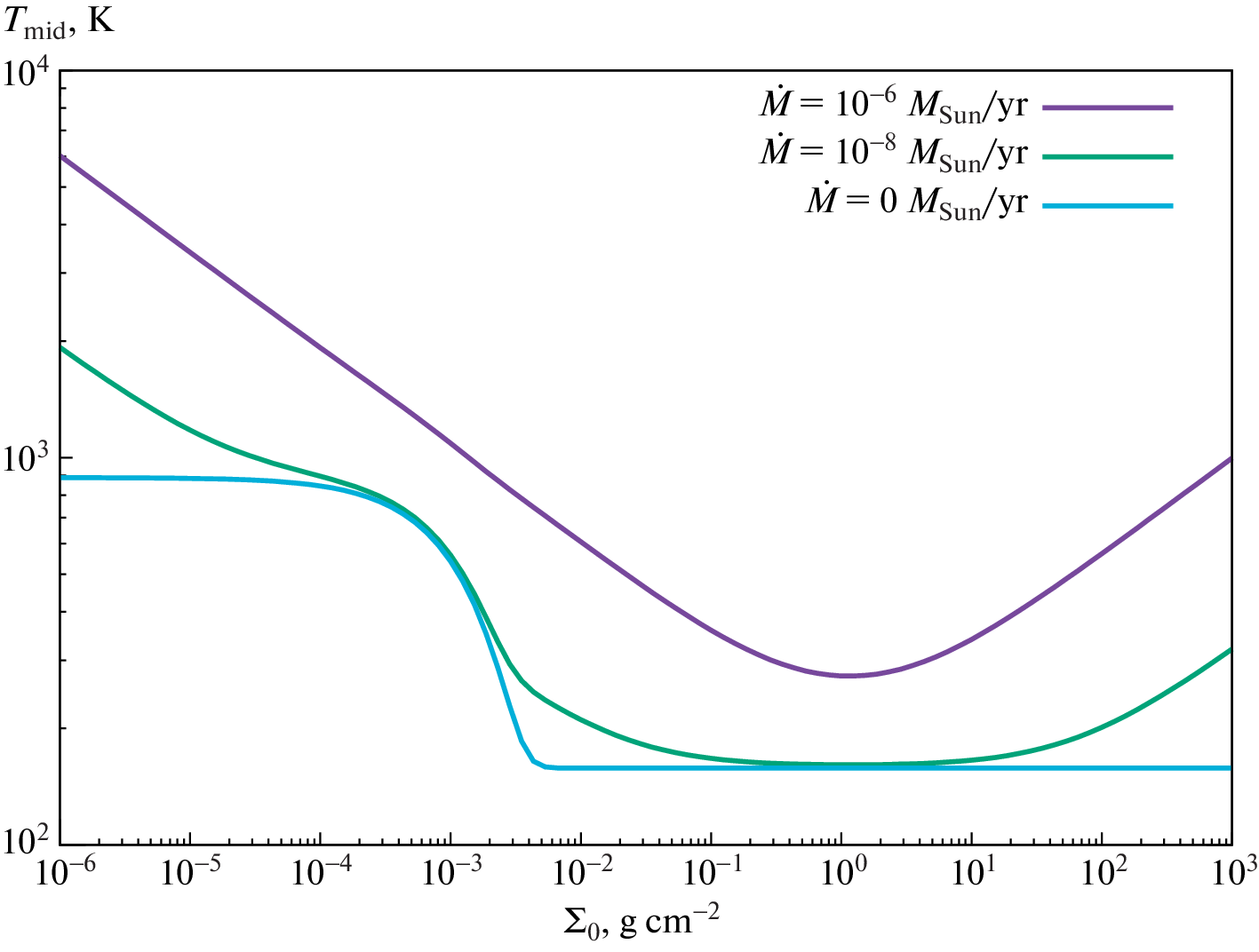
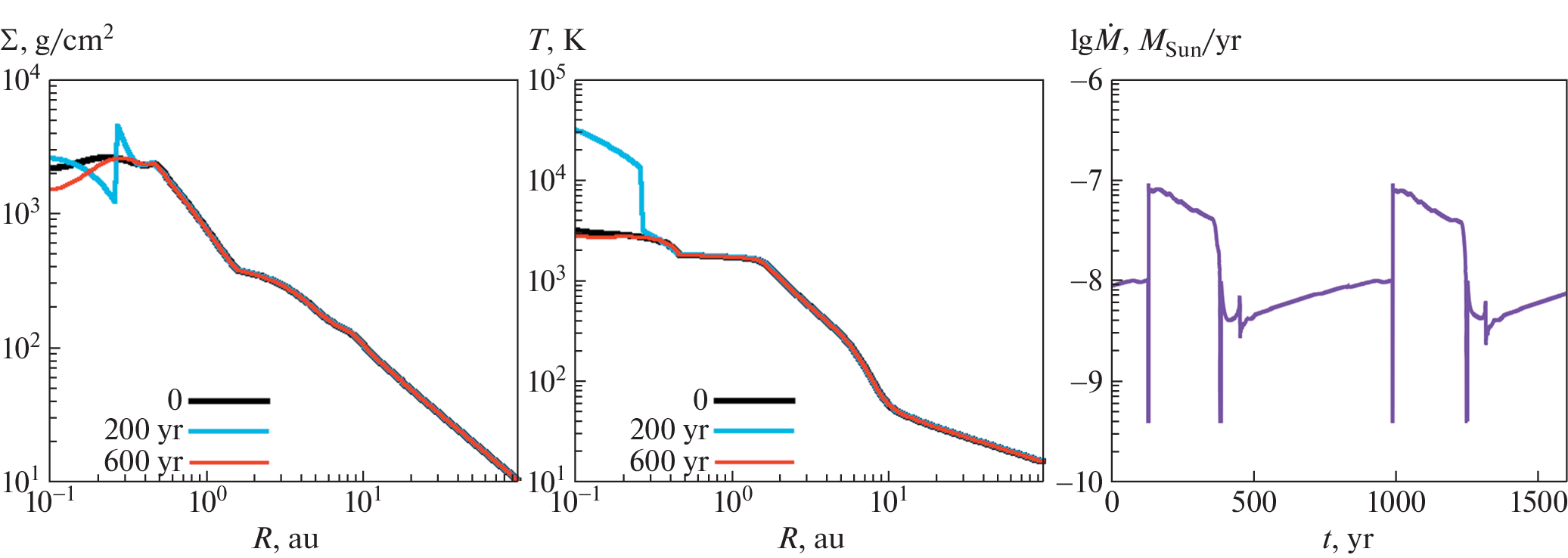
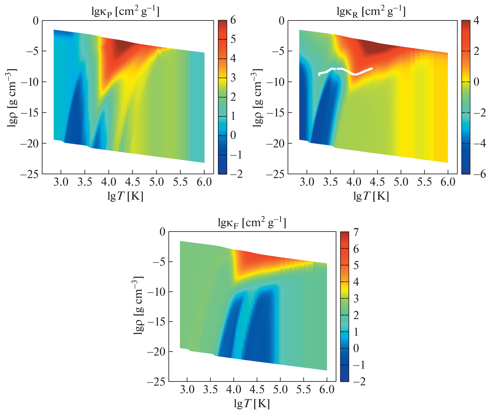
Тепловая неустойчивость аккреционных дисков широко используется для объяснения активности катаклизмических переменных, однако ее проявление в газопылевых дисках у молодых звезд исследовалось менее подробно. Представлена полуаналитическая стационарная модель для расчета экваториальной температуры газопылевого диска вокруг молодой звезды. В модели учитывается непрозрачность, обусловленная пылью и газом, а также испарение пыли при температурах свыше 1000 K. С помощью данной модели рассчитаны распределения экваториальной температуры газопылевого диска при различных предположениях об источнике непрозрачности и присутствия пыли. Показано, что при учете всех рассмотренных процессов уравнение теплового баланса в области \(r < 1\) а.е. имеет множественные температурные решения. Таким образом, в этой области реализуются условия для тепловой неустойчивости. В качестве иллюстрации возможного влияния неустойчивости на характер аккреции в протопланетном диске рассмотрена модель вязкого диска с \(\alpha \)-параметризацией турбулентной вязкости. Продемонстрировано, что в такой модели реализуется нестационарный режим эволюции диска с чередующимися фазами накопления вещества во внутреннем диске и фазами его быстрого сброса на звезду, что приводит к вспышечному характеру аккреции. Полученные результаты свидетельствуют о необходимости учета данной неустойчивости при моделировании эволюции протопланетных дисков.
Ключевые слова
Об авторах
Я. Н. Павлюченков
Институт астрономии Российской академии наук
Email: pavyar@inasan.ru
Россия, Москва
В. В. Акимкин
Институт астрономии Российской академии наук
Email: pavyar@inasan.ru
Россия, Москва
А. П. Топчиева
Институт астрономии Российской академии наук
Email: pavyar@inasan.ru
Россия, Москва
Э. И. Воробьев
Институт астрономии Российской академии наук
Автор, ответственный за переписку.
Email: pavyar@inasan.ru
Россия, Москва
Список литературы
- P. J. Armitage, arXiv:2201.07262 [astro-ph.HE] (2022).
- J. Bae, A. Isella, Z. Zhu, R. Martin, S. Okuzumi, and S. Suriano, arXiv:2210.13314 [astro-ph.EP] (2022).
- J.-M. Hameury, Adv. Space Research 66, 1004 (2020), arXiv:1910.01852 [astro-ph.SR].
- J.-P. Lasota, New Astron. Rev. 45, 449 (2001), a-rXiv:astro-ph/0102072.
- M. Audard, P. Ábrahám, M. M. Dunham, J. D. Green, et al., in Protostars and Planets VI, edited by H. Beuther, R. S. Klessen, C. P. Dullemond, and T. Henning (Tucson: University of Arizona Press, 2014), p. 387, ar-Xiv:1401.3368 [astro-ph.SR].
- M. S. Connelley and B. Reipurth, Astrophys. J. 861, id. 145 (2018), arXiv:1806.08880 [astro-ph.SR].
- E. I. Vorobyov, V. G. Elbakyan, H. B. Liu, and M. Takami, Astron. and Astrophys. 647, id. A44 (2021), ar-Xiv:2101.01596 [astro-ph.SR].
- K. M. Flaherty, L. DeMarchi, J. Muzerolle, Z. Balog, W. Herbst, S. T. Megeath, E. Furlan, and R. Gutermuth, A-strophys. J. 833, id. 104 (2016), arXiv:1609.09100 [astro-ph.SR].
- C. Contreras Peña, P. W. Lucas, D. Minniti, R. Kurtev, et al., Monthly Not. Roy. Astron. Soc. 465, 3011 (2017), arXiv:1602.06267 [astro-ph.SR].
- L. Rigon, A. Scholz, D. Anderson, and R. West, Monthly Not. Roy. Astron. Soc. 465, 3889 (2017), arXiv:1611.03013 [astro-ph.SR].
- C. R. D’Angelo and H. C. Spruit, Monthly Not. Roy. Astron. Soc. 420, 416 (2012), arXiv:1108.3833 [astro-ph.SR].
- A. S. Kravtsova, S. A. Lamzin, L. Errico, and A. Vittone, Astron. Letters 33, 755 (2007).
- P. J. Armitage, M. Livio, and J. E. Pringle, Monthly Not. Roy. Astron. Soc. 324, 705 (2001), arXiv:astro-ph/0101253.
- E. I. Vorobyov and S. Basu, Astrophys. J. 805, id. 115 (2015), arXiv:1503.07888 [astro-ph.SR].
- K. R. Bell and D. N. C. Lin, Astrophys. J. 427, 987 (1994), arXiv:astro-ph/9312015.
- E. Kawazoe and S. Mineshige, Publ. Astron. Soc. Japan 45, 715 (1993).
- W. Kley and D. N. C. Lin, Astrophys. J. 518, 833 (1999).
- M. G. Malygin, R. Kuiper, H. Klahr, C. P. Dullemond, and T. Henning, Astron. and Astrophys. 568, id. A91 (2014), arXiv:1408.3377 [astro-ph.SR].
- F. Castelli, Mem. Soc. Astron. Ital. Suppl. 8, 34 (2005).
- R. L. Kurucz, SAO Special Report № 309 (1970).
- W. J. Duschl, H. P. Gail, and W. M. Tscharnuter, Astron. and Astrophys. 312, 624 (1996).
- P. D.’Alessio, N. Calvet, L. Hartmann, S. Lizano, and J. Cantó, Astrophys. J. 527, 893 (1999), arXiv:astro-ph/9907330.
- Y. Pavlyuchenkov and C. P. Dullemond, Astron. and A-strophys. 471, 833 (2007), arXiv:0706.2614 [astro-ph].
- N. I. Shakura and R. A. Sunyaev, Astron. and Astrophys. 24, 337 (1973).
- J. M. Huré, D. Richard, and J. P. Zahn, Astron. and -Astrophys. 367, 1087 (2001), arXiv:astro-ph/0012262.
Дополнительные файлы








