A Study of Variability of the Stokes Parameters and the Magnetic Field of G43.8–0.1 in the OH Line 1665 MHz
- Authors: Ashimbaeva N.T.1, Lekht E.E.1, Krasnov V.V.2, Tolmachev A.M.3
-
Affiliations:
- Lomonosov Moscow State University, P.K. Sternberg State Astronomical Institute
- Astrospace Center of the P.N. Lebedev Physical Institute, Russian Academy of Science
- Pushchino Radio Astronomy Observatory, Astrospace Center of the P.N. Lebedev Physical Institute, Russian Academy of Sciences
- Issue: Vol 100, No 3 (2023)
- Pages: 243-257
- Section: Articles
- URL: https://journals.rcsi.science/0004-6299/article/view/139070
- DOI: https://doi.org/10.31857/S0004629923020019
- EDN: https://elibrary.ru/CIZGVW
- ID: 139070
Cite item
Full Text
Abstract
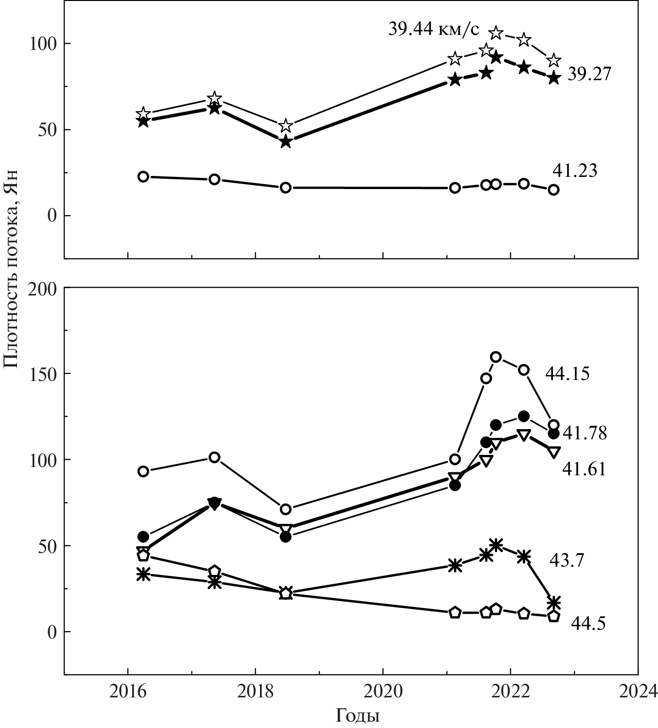
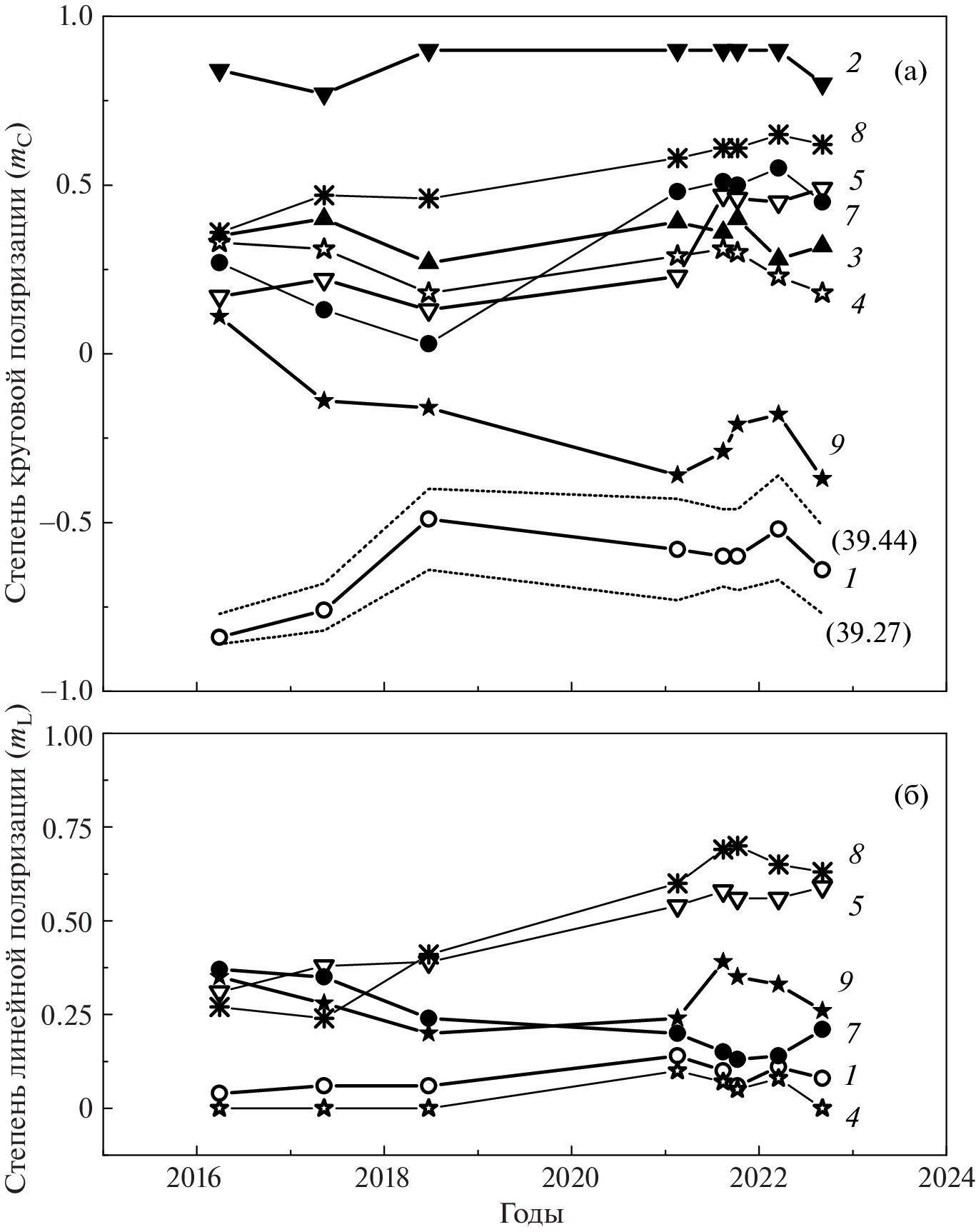
We present results of the study of maser emission variability in the 1665 MHz OH line in the G43.8–0.1 star formation region based on observations (monitoring) in 2008–2022 at the Large Radio Telescope in Nancy (France). Variability of all polarization parameters of the majority of spectral features, which has a monotonic regular character, has been found. Spatial identification of the main spectral features of the OH 1665 MHz line with maser spots (condensations) on the VLA map has been carried out. For the Zeeman pair VLSR=44.15 km/s, a monotonic change of the splitting with time during 2008–2022 was found and, consequently, a change of the magnitude of the longitudinal magnetic field. According to our calculations, at the end of 2012, the direction of the magnetic field changed to the opposite. Сorrelated with H∥, there were changes in the angle χ and, as a consequence, changes in the direction of the vector of the transverse magnetic field H⊥0. For the maser feature at 44.5 km/s, a change of H⊥ by 180° was found. In 2016–2022, some reorientation of the global magnetic field (H⊥) in G43.8–0.1 occurred. The field became less chaotic: in the eastern part, the field in maser condensations is perpendicular to the arc, and in the western part, it is parallel to the arc. It is assumed that the global magnetic field in the entire U H II region of the G43.8–0.1 source has the same direction: along the axis (northeast)—(southwest).
About the authors
N. T. Ashimbaeva
Lomonosov Moscow State University, P.K. Sternberg State Astronomical Institute
Email: lekht@sai.msu.ru
Moscow, Russia
E. E. Lekht
Lomonosov Moscow State University, P.K. Sternberg State Astronomical Institute
Email: lekht@sai.msu.ru
Moscow, Russia
V. V. Krasnov
Astrospace Center of the P.N. Lebedev Physical Institute, Russian Academy of Science
Email: lekht@sai.msu.ru
Moscow, Russia
A. M. Tolmachev
Pushchino Radio Astronomy Observatory, Astrospace Center of the P.N. Lebedev Physical Institute, Russian Academy of Sciences
Author for correspondence.
Email: lekht@sai.msu.ru
Pushchino, Russia
References
- S. H. Knowles, J. L. Caswell and W. M. Goss, Monthly Not. Roy. Astron. Soc. 175, 537 (1976).
- N. J. Evans, S. Beckwith, R. L. Brown, and W. Gilmore, Astrophys. J. 227, 450 (1979).
- H. E. Matthews, P. A. Shaver, W. M. Goss, and H. J. Ha-bing, Astron. and Astrophys. 63, 307 (1978).
- R. Genzel and D. Downes, Astron. and Astrophys. Suppl. Ser. 30, 145 (1977).
- S. Kurtz, E. Churchwell, and D. O. S. Wood, Astrophys. J. Suppl. 91, 659 (1994).
- A. L. Argon, M. J. Reid, and K. M. Menten, Astrophys. J. Suppl. 129, 227 (2000).
- V. L. Fish, M. J. Reid, A. L. Argon, and X-Wu. Zheng, Astrophys. J. Suppl. 160, 220 (2005).
- V. L. Fish and M. J. Reid, Astrophys. J. Suppl. 164, 99 (2006).
- D. Downes, R. Genzel, J. M. Moran, K. J. Jonston, L. I. Manveyenko, L. R. Kogan, V. I. Kostenko, and B. Rönnäng, Astron. and Astrophys. 79, 233 (1979).
- A. P. Sarma, T. H. Troland, R. M. Crutcher, and D. A. Ro-berts, Astrophys. J. 580, 928 (2002).
- M. Honma, T. Bushimata, Y. K. Choi, T. Fujii, et al., Publ. Astron. Soc. Japan 57, 595 (2005).
- Y. W. Wu, M. Sato, M. J. Reid, L. Moscadelli, et al., A-stron. and Astrophys. 566, id. A17 (2014).
- Е. Е. Лехт, Астрон. журн. 71, 59 (1994).
- E. E. Lekht, Astron. and Astrophys. Suppl. Ser. 141, 185 (2000).
- П. Колом, Н. Т. Ашимбаева, Е. Е. Лехт, М. И. Пащенко, Г. М. Рудницкий, В. В. Краснов, А. М. Толмачев, Астрон. журн. 96 (10), 815 (2019).
- П. Колом, Н. Т. Ашимбаева, Е. Е. Лехт, М. И. Пащенко, Г. М. Рудницкий, А. М. Толмачев, Астрон. журн. 98 (1), 50 (2021).
- Н. Т. Ашимбаева, Е. Е. Лехт, М. И. Пащенко, В. В. Краснов, А. М. Толмачев, Астрон. журн. 99 (8), 628 (2022).
- В. И. Слыш, М. И. Пащенко, Г. М. Рудницкий, В. М. Витрищак, П. Колом, Астрон. журн. 87 (7), 655 (2010).
- R. D. Davies, in Galactic Radio Astronomy, Proc. IAU Symp. No. 60, Maroochydore, Queensland, Australia, 3–7 September, 1973, edited by F. J. Kerr, S. C. Simonson (Dordrecht-Holland, Boston: D. Reidel, 1974), p. 275.
- П. Колом, Н. Т. Ашимбаева, Е. Е. Лехт, М. И. Пащенко, Г. М. Рудницкий, А. М. Толмачев, Астрон. журн. 96 (7), 563 (2019).
- P. Colom, N. T. Ashimbaeva, E. E. Lekht, M. I. Pashchenko, G. M. Rudnitskij, V. V. Krasnov, and A. M. Tolmachev, Monthly Not. Roy. Astron. Soc. 507, 3285 (2021).
- J. M. Torrelles, N. A. Patel, G. Anglada, J. F. Gómez, et al., Astrophys. J. Letters 598, L115 (2003).
Supplementary files













