Laboratory Modelling of Solar Wind Interaction with Lunar Magnetic Anomalies
- Authors: Rumenskikh M.S.1,2, Chibranov A.A.1, Efimov M.A.1, Berezutsky A.G.1, Posukh V.G.1, Trushin P.A.1, Zakharov Y.P.1, Boyarintsev E.L.1, Miroshnichenko I.B.1, Divin A.V.3, Shaikhislamov I.F.1
-
Affiliations:
- Laser Physics Department, Institute of Laser Physics
- Pushkov Institute of Terrestrial Magnetism, Ionosphere and Radio Wave Propagation
- Physics Department, St. Petersburg State University
- Issue: Vol 100, No 1 (2023)
- Pages: 89-97
- Section: Articles
- URL: https://journals.rcsi.science/0004-6299/article/view/139057
- DOI: https://doi.org/10.31857/S0004629923010073
- EDN: https://elibrary.ru/NPWCQY
- ID: 139057
Cite item
Full Text
Abstract
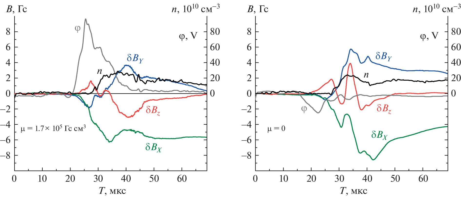
The paper presents the results of laboratory experiment modeling the interaction between Lunar magnetic anomalies and Solar wind. To model the LMA we use quadrupole magnetic field. The main dimensionless parameter of the problem, the ion inertia length relative to the mini-magnetosphere size, well corresponds between experiment and LMA conditions. The main result is measurement of the magnetically reflected proton fluxes, which show qualitative agreement to available satellite data.
About the authors
M. S. Rumenskikh
Laser Physics Department, Institute of Laser Physics; Pushkov Institute of Terrestrial Magnetism, Ionosphere and Radio Wave Propagation
Email: marina_rumenskikh@mail.ru
Novosibirsk, Russia; Moscow, Russia
A. A. Chibranov
Laser Physics Department, Institute of Laser Physics
Email: marina_rumenskikh@mail.ru
Novosibirsk, Russia
M. A. Efimov
Laser Physics Department, Institute of Laser Physics
Email: marina_rumenskikh@mail.ru
Novosibirsk, Russia
A. G. Berezutsky
Laser Physics Department, Institute of Laser Physics
Email: marina_rumenskikh@mail.ru
Novosibirsk, Russia
V. G. Posukh
Laser Physics Department, Institute of Laser Physics
Email: marina_rumenskikh@mail.ru
Novosibirsk, Russia
P. A. Trushin
Laser Physics Department, Institute of Laser Physics
Email: marina_rumenskikh@mail.ru
Novosibirsk, Russia
Yu. P. Zakharov
Laser Physics Department, Institute of Laser Physics
Email: marina_rumenskikh@mail.ru
Novosibirsk, Russia
E. L. Boyarintsev
Laser Physics Department, Institute of Laser Physics
Email: marina_rumenskikh@mail.ru
Novosibirsk, Russia
I. B. Miroshnichenko
Laser Physics Department, Institute of Laser Physics
Email: marina_rumenskikh@mail.ru
Novosibirsk, Russia
A. V. Divin
Physics Department, St. Petersburg State University
Email: marina_rumenskikh@mail.ru
St. Petersburg, Russia
I. F. Shaikhislamov
Laser Physics Department, Institute of Laser Physics
Author for correspondence.
Email: marina_rumenskikh@mail.ru
Novosibirsk, Russia
References
- M. Wieser, S. Barabash, Y. Futaana, Geophys. Res. Lett. 37 (2010).
- C. Richmond, L. L. Hood, J. Geophys. Res. vol. 113 (2008).
- J. S. Halekas, D. L. Mitchell, R. P. Lin, S. Frey, L. L. Hood, M. H. Acuna, A. B. Binder, J. Geophys. Res. 106, 27841–27852.
- H. Tsunakawa, F. Takahashi, H. Shimizu, H. Shibuya, M. Matsushima, J. Geophys. Res. Planets, 120, 1160–1185 (2015).
- J. S. Halekas, G. T. Delory, D. A. Brain, R. P. Lin, D. L. Mitchell, Plan. and Space Sci. 56, 941–946 (2008).
- R. P. Lin, D. L. Mitchell, D. W. Curtis, et al., Science 281, 1480 (1998).
- А. А. Скальский, А. М. Садовский, Космические исследования, т. 53, № 1, 75–78 (2015).
- Y. Saito, S. Yokota, T. Tanaka, et al., Geophys. Res. Lett. 35, L24205 (2008).
- Y. Saito, M. N. Nishino, M. Fujimoto, et al., Earth Planets Space. 64, 83 (2012).
- M. Wieser, S. Barabash, Y. Futaana, et al., Plan. and Space Sci. 57, 2132 (2009).
- M. Holmström, M. Wieser, S. Barabash, et al., J. Geophys. Res. 115, A06206 (2010).
- L. L. Hood, G. Schubert, Science 208, № 4439, 49–51 (1980).
- D. T. Blewett, et al., J. Geophys. Res.: Planets 116, № E2 (2011).
- I. Garrick-Bethell, J. W. Head III, C. M. Pieters, Icarus 212, № 2, 480–492 (2011).
- J. Deca, et al., J. Geophys. Res.: Planets 125, № 5 (2020).
- B. W. Denevi, et al., Icarus 273, 53–67 (2016).
- D. Hemingway, I. Garrick-Bethell, J. Geophys. Res.: Planets 117, № E10 (2012).
- J. Gattacceca, et al., Earth and Planetary Science Letters 299, № 1–2, 42–53 (2010).
- E. Kallio, R. Jarvinen, S. Dyadechkin, P. Wurz, S. Ba-rabash, Geophys. Res. Abstracts 14, EGU 2012–4937 (2012).
- J. Deca, A. Divin, G. Lapenta, Phys. Rev. Lett. 112, 151102 (2014).
- J. Deca, et al. J. Geophys. Res. Space Physics 120.8, 6443–6463 (2015).
- R. A. Bamford, B. Kellett, W. J. Bradford, C. Norberg, A. Thornton, K. J. Gibson, R. Bingham, Phys. Rev. Lett. 109 (8), 081101 (2012).
- J. Han, Laboratory simulation of solar wind interaction with a magnetic dipole field on lunar surface: диc. – University of Colorado, 2017.
- I. F. Shaikhislamov, V. M. Antonov, Y. P. Zakharov, E. L. Boyarintsev, A. V. Melekhov, V. G. Posukh, A. G. Po-nomarenko, Advances in Space Research 52 (3), 422–436 (2013).
- I. F. Shaikhislamov, Y. P. Zakharov, V. G. Posukh, A. V. Me-lekhov, V. M. Antonov, E. L. Boyarintsev, A. G. Ponomarenko, Plasma Physics and Controlled Fusion 56 (2), 025004 (2014).
- I. F. Shaikhislamov, V. G. Posukh, A. V. Melekhov, Y. P. Za-kharov, E. L. Boyarintsev, A. G. Ponomarenko, Plasma Physics and Controlled Fusion 57 (7), 075007 (2015).
- I. F. Shaikhislamov, Y. P. Zakharov, V. G., Posukh, A. V. Melekhov, E. L. Boyarintsev, A. G. Ponomarenko, V. A. Terekhin, Plasma Physics Reports 41 (5), 399–407 (2015).
- K. J. Fujita, Space Technol. Sci. 20 (2), 26–31 (2004).
- N. Omidi, X. Blanco-Cano, C. T. Russell, H. Karimabadi, M. Acuna, J. Geophys. Res. 107 (A12), 1487 (2002).
- M. Kurata, H. Tsunakawa, Y. Saito, H. Shibuya, M. Matsushima, H. Shimizu, Geophys. Res. Lett. 32 (24) (2005).
- M. E. Purucker, J. B. Nicholas, J. Geophys. Res.: Planets 115, E12 (2010).
- D. Ravat, M. E. Purucker, N. Olsen, J. Geophys. Res.: Planets 125 (7), e2019JE006187 (2020).
- M.S. Rumenskikh, A. A., Chibranov, M.A. Efimov, JETPh Letters 111 (6), 335 (2020).
- Q. Wang, J. Cui, D. Wang, Advances in Space Research 50 (12), 1600 (2012).
- C. Lue, Y. Futaana, S. Barabash, M. Wieser, M. Holmström, A. Bhardwaj, … P. Wurz, Geophys. Res. Lett. 38 (3) (2011).
Supplementary files








