Influence of Poloidal Magnetic Field on the Parameters and Dynamics of a Plasma Flow Generated in a Plasma-Focus Discharge in a Laboratory Simulation of Jets from Young Stellar Objects
- Authors: Krauz V.I.1, Vinogradov V.P.1, Kharrasov A.M.1, Myalton V.V.1, Mitrofanov K.N.2, Beskin V.S.3,4, Vinogradova Y.V.1, Il’ichev I.V.1
-
Affiliations:
- National Research Center “Kurchatov Institute”
- Troitsk Institute of Innovative and Thermonuclear Research
- Lebedev Physical Institute, Russian Academy of Sciences
- Moscow Institute of Physics and Technology
- Issue: Vol 100, No 1 (2023)
- Pages: 19-31
- Section: Articles
- URL: https://journals.rcsi.science/0004-6299/article/view/139052
- DOI: https://doi.org/10.31857/S0004629923010048
- EDN: https://elibrary.ru/NPODNE
- ID: 139052
Cite item
Full Text
Abstract
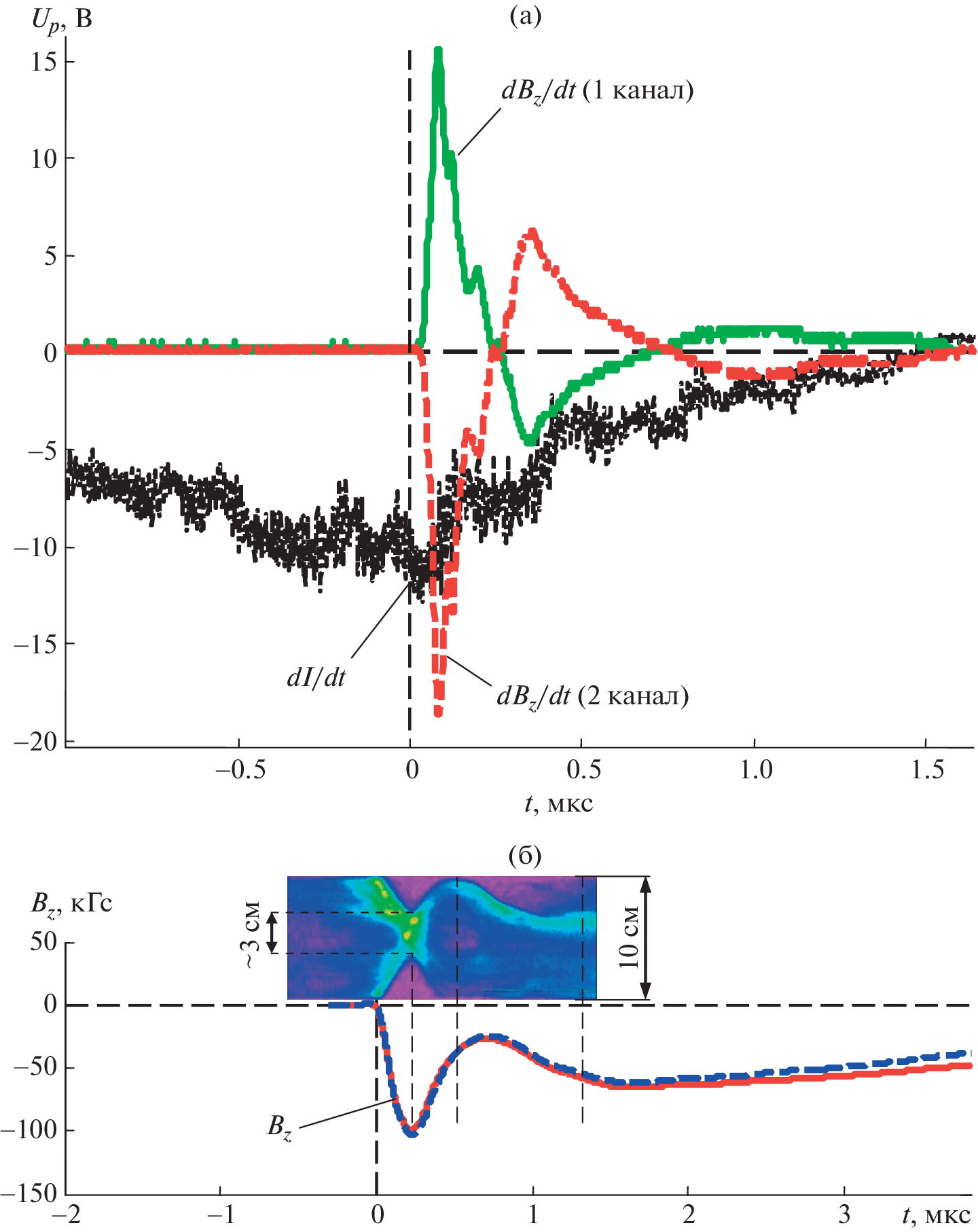
Laboratory simulation is an effective tool for studying astrophysical processes. The paper considers a scheme for simulating jets from young stellar objects by means of a plasma-focus device with application of an external poloidal magnetic field. The mechanisms of amplification of the poloidal magnetic field in the region where the plasma flow is formed by the conductive plasma sheath upon its compression toward the axis of the system up to values of ~100 kG are discussed. Magnetic probe measurements have shown that the value of the Bz component of the field also increases significantly in the plasma flow itself, while the direction of the field captured by the flow corresponds to the direction of the external applied field. An increase in the toroidal component of the magnetic field is also observed. It is concluded that this experiment quite accurately simulates the processes in young stellar objects, including accretion and the operation of the “central engine.”
About the authors
V. I. Krauz
National Research Center “Kurchatov Institute”
Email: astrep@pleiadesonline.com
108840, Moscow, Russia
V. P. Vinogradov
National Research Center “Kurchatov Institute”
Email: astrep@pleiadesonline.com
123098, Moscow, Russia
A. M. Kharrasov
National Research Center “Kurchatov Institute”
Email: astrep@pleiadesonline.com
123098, Moscow, Russia
V. V. Myalton
National Research Center “Kurchatov Institute”
Email: astrep@pleiadesonline.com
123098, Moscow, Russia
K. N. Mitrofanov
Troitsk Institute of Innovative and Thermonuclear Research
Email: astrep@pleiadesonline.com
108840, Moscow, Russia
V. S. Beskin
Lebedev Physical Institute, Russian Academy of Sciences; Moscow Institute of Physics and Technology
Email: astrep@pleiadesonline.com
119991, Moscow, Russia; 141701, Dolgoprudny, Moscow oblast, Russia
Yu. V. Vinogradova
National Research Center “Kurchatov Institute”
Email: astrep@pleiadesonline.com
123098, Moscow, Russia
I. V. Il’ichev
National Research Center “Kurchatov Institute”
Author for correspondence.
Email: astrep@pleiadesonline.com
123098, Moscow, Russia
References
- B. A. Remington, R. P. Drake, D. D. Ryutov, Rev. of Mod. Phys. 78, 755 (2006).
- G. Haro, Astron. J. 55, 72 (1950).
- G. H. Herbig, Astrophys. J. 111, 11 (1950).
- V. S. Beskin MHD flows in compact astrophysical objects (Heidelberg: Springer, 2010).
- V. S. Beskin, A. V. Chernoglazov, A. M. Kiselev, E. E. Nokh-rina, Monthly Not. Roy. Astron. Soc. 472, 3971 (2017).
- V. I. Krauz, V. S. Beskin, E. P. Velikhov, International Journal of Modern Physics D. 27, 1844009 (2018).
- В. С. Бескин, Я. Н. Истомин, А. М. Киселев, В. И. Крауз, К. Н. Митрофанов, В. В. Мялтон, Е. Е. Нохрина, Д. Н. Собьянин, А. М. Харрасов, Известия высших учебных заведений: Радиофизика 59, 1004 (2016).
- В. И. Крауз, Д. А. Войтенко, К. Н. Митрофанов, В. В. Мялтон, Р. М. Аршба, Г. И. Астапенко, А. И. Мар-колия, А. П. Тимошенко, ВАНТ. Сер. Термоядерный синтез 38 (2), 19 (2015).
- V. I. Krauz, M. Paduch, K. Tomaszewski, K. N. Mitrofa-nov, A. M. Kharrasov, A. Szymaszek, E. Zielinska, EPL 129, 15003 (2020).
- К. Н. Митрофанов, В. И. Крауз, В. В. Мялтон, Е. П. Ве-лихов, В. П. Виноградов, Ю. В. Виноградова, ЖЭТФ 146, 1035 (2014).
- К. Н. Митрофанов, В. И. Крауз, В. В. Мялтон, В. П. Виноградов, А. М. Харрасов, Ю. В. Виноградова, Астрон. журн. 94, 152 (2017).
- В. И. Крауз, К. Н. Митрофанов, Д. А. Войтенко, Г. И. Астапенко, А. И. Марколия, А. П. Тимошенко, Астрон. журн. Т. 96, 156 (2019).
- V. I. Krauz, K. N. Mitrofanov, M. Paduch, K. Tomaszewski, A. Szymaszek, E. Zielinska, V. I. Pariev, V. S. Bes-kin, Ya. N. Istomin, Journal of Plasma Physics 86, 905860607 (2020).
- В. И. Крауз, К. Н. Митрофанов, В. В. Мялтон, И. В. Ильичев, А. М. Харрасов, Ю. В. Виноградова, Физика плазмы 47, 829 (2021).
- Г. Г. Зукакишвили, К. Н. Митрофанов, Е. В. Грабовский, Г. М. Олейник, Физика плазмы 31, 707 (2005).
- F. Suzuki-Vidal, S. V. Lebedev, S. N. Bland, G. N. Hall, A. J. Harvey-Thompson, J. P. Chittenden, A. Marocchino, S. C. Bott, J. Palmer, A. Ciardi, IEEE Trans. Plasma Sci. 38, 581 (2010).
- T. Byvank, J. T. Banasek, W. M. Potter, J. B. Greenly, C. E. Seyler, B. R. Kusse, Phys. Plasmas 24, 122701 (2017).
- B. Albertazzi, A. Ciardi, M. Nakatsutsumi, T. Vinci, J. Béard, R. Bonito, J. Billette, M. Borghesi, Z. Burkley, S. N. Chen, T. E. Cowan, T. Herrmannsdörfer, D. P. Higginson, F. Kroll, S. A. Pikuz, K. Naughton, L. Romagnani, C. Riconda, G. Revet, R. Riquier, H. P. Schlenvoigt, I. Yu. Skobelev, A. Ya. Faenov, A. Soloviev, M. Huarte-Espinosa, A. Frank, O. Portugall, H. Pépin, J. Fuchs, Science 17(10), 325 (2014).
- K. Burdonov, W. Yao, A. Sladkov, R. Bonito, S. N. Chen, A. Ciardi, A. Korzhimanov, A. Soloviev, M. Starodubtsev, R. Zemskov, S. Orlando, M. Romanova, J. Fuchs., Astron. and Astrophys. 657, A112 (2022).
- Ю. П. Захаров, А. Г. Пономаренко, В. А. Терехин, В. Г. Посух, И. Ф. Шайхисламов, А. А. Чибранов, Квантовая электроника 49, 181 (2019).
- V. I. Krauz, K. N. Mitrofanov, M. Scholz, M. Paduch, P.Kubes, L. Karpinski, E. Zielinska, EPL 98, 45001 (2012).
- В. П. Виноградов, В. И. Крауз, А. Н. Мокеев, В. В. Мял-тон, А. М. Харрасов, Физика плазмы 42, 1033 (2016).
- Д. А. Войтенко, С. С. Ананьев, Г. И. Астапенко, А. Д. Басилая, М. Марколия, К. Н. Митрофанов, В. В. Мялтон, А. П. Тимошенко, А. М. Харрасов, В. И. Крауз, Физика плазмы 43, 967 (2017).
- В. И. Крауз, К. Н. Митрофанов, В. В. Мялтон, В. П. Виноградов, Ю. В. Виноградова, Е. В. Грабовский, Г. Г. Зукакишвили, В. С. Койдан, А. Н. Мокеев, Физика плазмы 36, 997 (2010).
- V. Krauz, V. Myalton, V. Vinogradov, E. Velikhov, S. Ana-nyev, S. Dan’ko, Yu. Kalinin, A. Kharrasov, K. Mitrofa-nov, Yu. Vinogradova, in 42nd EPS Conference on Plasma Physics Lisbon, Portugal, 2015, Vol. 39E, ISBN 2‑914771-98-3, 4.401 http://ocs.ciemat.es/EPS2015PAP/pdf/P4.401.pdf.
- I. Il’ichev, V. Krauz, V. Myalton, A. Kharrasov, Eur. Phys. J. Plus. 136, 557 (2021) https://doi.org/10.1140/epjp/s13360-021-01514-9
- В. И. Крауз, К. Н. Митрофанов, А. М. Харрасов, И. В. Ильичев, В. В. Мялтон, С. С. Ананьев, В. С. Бес-кин, Астрон. журн. 98, 29 (2021).
- В. С. Бескин, И. Ю. Калашников, ПАЖ 46, 494 (2020).
- В. С. Бескин, Астрон. журн. 100, принято в печать (2023).
- R. E. Pudritz, T. P. Ray, Frontiers in Astronomy and Space Sciences 6, 54 (2019).
Supplementary files














