Numerical MHD Simulation of Laboratory Jets in a Toroidal Magnetic Field
- 作者: Toropina O.D.1, Bisnovatyi-Kogan G.S.1, Moiseenko S.G.1
- 
							隶属关系: 
							- Space Research Institute of the Russian Academy of Sciences
 
- 期: 卷 100, 编号 1 (2023)
- 页面: 6-18
- 栏目: Articles
- URL: https://journals.rcsi.science/0004-6299/article/view/139051
- DOI: https://doi.org/10.31857/S0004629923010097
- EDN: https://elibrary.ru/NQAPNB
- ID: 139051
如何引用文章
全文:
详细
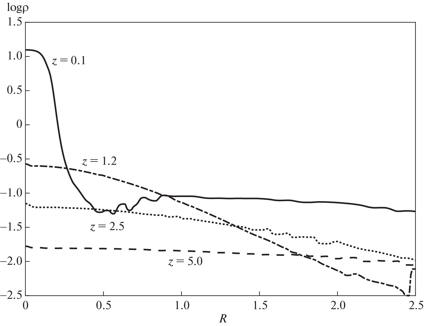
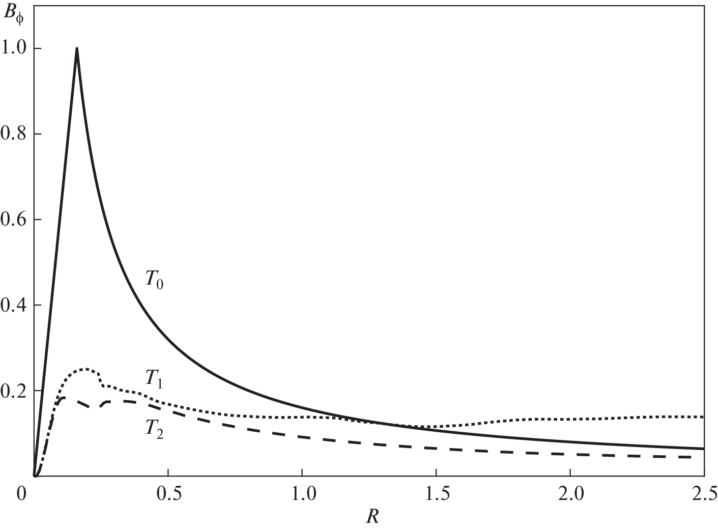
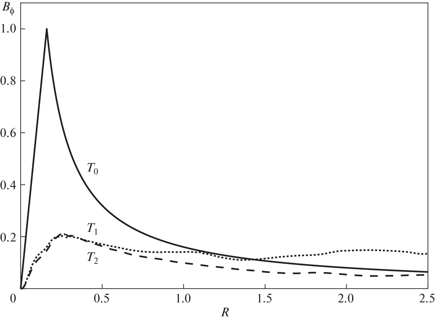
The results of MHD modeling of the formation and collimation of laboratory jets with a toroidal magnetic field are presented. We showed that in the absence of a magnetic field, a significant expansion of the jet occurs in the computational region. In the presence of a strong toroidal magnetic field, the jet expands insignificantly, which confirms the possibility of a magnetic mechanism of collimation of astrophysical jets. The opening angle of the jet cone depends on the magnitude of the magnetic field induction. The larger Bϕ, the smaller the angle of deflection of the flow. For certain values of Bϕ on the detector, the occurrence of ring structures in the density distribution is possible, the characteristics of which depend on the magnitude of the field. The simulation results are compared with the laboratory jets generated in the experiment at the Neodim laser facility and with the previously obtained results of the MHD simulation of the formation of jets in a poloidal magnetic field.
作者简介
O. Toropina
Space Research Institute of the Russian Academy of Sciences
														Email: toropina@iki.rssi.ru
				                					                																			                												                								117997, Moscow, Russia						
G. Bisnovatyi-Kogan
Space Research Institute of the Russian Academy of Sciences
														Email: toropina@iki.rssi.ru
				                					                																			                												                								117997, Moscow, Russia						
S. Moiseenko
Space Research Institute of the Russian Academy of Sciences
							编辑信件的主要联系方式.
							Email: toropina@iki.rssi.ru
				                					                																			                												                								117997, Moscow, Russia						
参考
- A. S. Wilson and Y. Yang, Astrophys. J. 568, 133 (2002).
- H. L. Marshall, B. P. Miller, D. S. Davis, E. S. Perlman, M. Wise, C. R. Canizares, and D. E. Harris, Astrophys. J. 564, 683 (2002).
- H. L. Marshall, D. E. Harris, J. P. Grimes, J. J. Drake, et al., Astrophys. J. 549, L167 (2001).
- G. S. Bisnovatyi-Kogan, B. V. Komberg, and A. M. Fridman, Soviet Astron. 13, 369 (1969).
- G. S. Bisnovatyi-Kogan, Proc. 6th Int. Workshop of the Astronomical Observatory of Capodimonte (OAC 6), Capri, Italy, 1991 September 18–21, edited by L. Errico and A. A. Vittone (Dordrecht: Kluwer), Astrophys. Space Sci. Library 186, 369 (1993).
- W. Fu, E. P. Liang, P. Tzeferacos, and D. Q. Lamb, High Energy Density Physics 17, 42 (2015).
- K. N. Mitrofanov, V. I. Krauz, V. V. Myalton, V. P. Vinogradov, A. M. Kharrasov, and Yu. V. Vinogradova, Astron. Rep. 61, 138 (2017).
- I. Yu. Kalashnikov, V. I. Krauz, and V. M. Chechetkin, J. Physics: Conference Series 798, id. 012008 (2017).
- I. Yu. Kalashnikov, A. V. Dodin, I. V. Il’ichev, V. I. Krauz, and V. M. Chechetkin, Astron. Rep. 65, 477 (2021).
- В. С. Бескин, Я. Н. Истомин, А. М. Киселев, В. И. Крауз и др., Изв. ВУЗов. Радиофизика 59, 1004 (2016).
- B. Albertazzi, A. Ciardi, M. Nakatsutsumi, T. Vinci, et al. Science, 346, 325 (2014).
- C. D. Gregory, B. Loupias, J. Waugh, P. Barroso, et al., Plasma Phys. Control. Fusion 50 (12), id. 124039 (2008).
- C. D. Gregory, B. Loupias, J. Waugh, S. Dono, et al., Phys. Plasmas 17, id. 052708 (2010).
- C. D. Gregory, A. Diziere, H. Aoki, H. Tanji, et al., High Energy Density Physics 11, 12 (2014).
- V. S. Belyaev, G. S. Bisnovatyi-Kogan, A. I. Gromov, B. V. Zagreev, A. V. Lobanov, A. P. Matafonov, S.G. Moiseenko, and O. D. Toropina, Astron. Rep. 62, 162 (2018).
- V. S. Belyaev, V. I. Vinogradov, A. P. Matafonov, A. M. Chekmarev, and A. G. Karabadzhak, Laser Phys. 16 (3), 477 (2006).
- V. I. Mazhukin, A. V. Shapranov, M. M. Demin, A. A. Samokhin, and A. E. Zubko, Math. Montisnigri 37, 24 (2016).
- V. I. Mazhukin, A. V. Shapranov, M. M. Demin, A. A. Sa-mokhin, and A. E. Zubko, Math. Montisnigri 38, 3 (2017).
- V. I. Mazhukin, M. M. Demin, and A. V. Shapranov, A-ppl. Surface Sci. 302, 6 (2014).
- Л. Д. Ландау, Е. М. Лившиц, Электродинамика сплошных сред (М.: Наука, 1982).
- D. D. Ryutov, R. P. Drake, and B. A. Remington, Astrophys. J. Suppl. 127, 465 (2000).
- S. Bouquet, E. Falize, C. Michaut, C. D. Gregory, B. Loupias, T. Vinci, and M. Koenig, High Energy Density Physics 6, 368, 2010.
- V. T. Zhukov, A. V. Zabrodin, and O. B. Feodoritova, Comp. Math. and Math. Physics 33, 1099 (1993).
- Э. Оран, Дж. Борис, Численное моделирование реагирующих потоков (М.: Мир, 1990).
- J. P. Boris and D. L. Book, J. Comput. Phys. 11, 38 (1973).
- V. V. Savelyev and V. M. Chechetkin, Astron. Rep. 39, 123 (1995).
- V. V. Savelyev, Yu. M. Toropin, and V. M. Chechetkin, Astron. Rep. 40, 494 (1996).
- O. D. Toropina, M. M. Romanova, Yu. M. Toropin, and R. V. E. Lovelace, Astrophys. J. 561, 964 (2001).
- O. D. Toropina, M. M. Romanova, and R. V. E. Lovelace, Monthly Not. Roy. Astron. Soc. 420, 810 (2012).
补充文件
 
				
			 
						 
						 
						 
						 
					 
				
 
  
  
  电邮这篇文章
			电邮这篇文章 










