Влияние гамма-радиации на электрические свойства экструдированных образцов твердого раствора Bi0.85Sb0.15, легированных акцепторной примесью свинца
- Авторы: Тагиев М.М.1,2, Абдуллаева И.А.3, Абдинова Г.Д.2
-
Учреждения:
- Азербайджанский государственный экономический университет
- Институт физики им. Г.М. Абдуллаева Министерства науки и образования Азербайджанской Республики
- Институт радиационных проблем Министерства науки и образования Азербайджанской Республики
- Выпуск: Том 60, № 3 (2024)
- Страницы: 284-289
- Раздел: Статьи
- URL: https://journals.rcsi.science/0002-337X/article/view/274371
- DOI: https://doi.org/10.31857/S0002337X24030029
- EDN: https://elibrary.ru/LLQYHG
- ID: 274371
Цитировать
Полный текст
Аннотация
Исследовано влияние гамма-радиации на электрические свойства экструдированных образцов твердого раствора Bi0.85Sb0.15, легированных 0.001–0.05 ат. % свинца, в интервале ~77–300 К. Высказано предположение, что в нелегированных образцах γ-облучение дозой ~1 Мрад создает дефекты донорного типа, приводит к росту концентрации носителей тока n и электропроводности σ. В образцах с 0.001 ат. % Pb радиационные донорные дефекты, компенсируя акцепторные центры свинца, уменьшают σ. Для образцов с концентрацией Pb ≥ 0.005 ат. % компенсация электронов проводимости осуществляется акцепторными центрами свинца, поэтому созданные γ-облучением новые электроны приводят к росту σ. Наблюдается удовлетворительная корреляция в зависимостях электропроводности σ, коэффициентов термо-эдс α и Холла RХ от содержания Pb и дозы γ-облучения.
Ключевые слова
Полный текст
ВВЕДЕНИЕ
Высокопрочные экструдированные материалы на основе системы Bi–Sb эффективны для создания низкотемпературных термо- и магнитотермоэлектрических преобразователей энергии [1–8]. При этом, с точки зрения перекрытия температурной области ~150–250 К, в которой известные полупроводниковые сплавы не сохраняют высоких значений термоэлектрической добротности, представляют интерес сплавы Bi–Sb с добавками примесей акцепторного типа, например олова, свинца и т.д. [9, 10].
Радиационные термоэлементы являются структурной единицей сенсоров, используемых при измерении энергетических параметров различного излучения в диапазоне длин волн от 0.1 до 100 мкм [11–15].
Под воздействием гамма-радиации происходит изменение спектра локализованных состояний, связанных структурными дефектами, которые приводят к изменению электрических свойств материала.
Выяснено, что эффективность дефектообразования и тип радиационных дефектов (РД) в сильной степени зависят от электронных параметров исходного материала, положения уровня Ферми. Показано, что при концентрации РД, превышающей концентрацию химических примесей (условия “сильного” облучения), имеет место закрепление уровня Ферми в стационарном положении Flim, характерном для каждого материала [12, 16, 17].
Образование РД в полупроводниковом материале можно рассматривать как процесс модифицирования материала [18–20]. Модифицирование электрических свойств и смещение уровня Ферми в состояние Flim при облучении гамма-квантами относятся к процессам самокомпенсации.
В работе [21] по результатам холловских измерений выявлено, что гамма-облучение кристаллов кремния n-типа проводимости при температуре жидкого азота (77.4 К) приводит к росту подвижности носителей тока. Эффект был объяснен введением при облучении акцепторных центров, частично нейтрализующих заряд ионных остовов.
Электронные преобразователи на основе твердых растворов системы Bi–Sb часто используются в условиях радиации. РД, созданные при γ-облучении, влияя на электрические и тепловые свойства полупроводниковых материалов, существенно изменяют и параметры приборов [10, 12, 14]. Поэтому исследование влияния РД на термоэлектрические свойства твердых растворов системы Bi–Sb актуально.
С целью изучения влияния γ-радиации на электрические свойства твердого раствора Bi0.85Sb0.15, легированного акцепторными примесями, получены экструдированные образцы этого состава с 0.001–0.05 ат. % свинца, исследованы зависимости их электрических свойств от дозы γ-излучения в интервале ~77–300К.
ЭКСПЕРИМЕНТАЛЬНАЯ ЧАСТЬ
Технология получения экструдированных образцов твердого раствора Bi0.85Sb0.15 состоит из нескольких операций.
Синтез. Поскольку термоэлектрические свойства низкотемпературных материалов существенно зависят от чистоты компонентов, висмут ВИ-0000 и сурьма СУ-0000 предварительно очищали от возможного поверхностного оксидного слоя в специальных ампулах. Синтез проводили прямым сплавлением компонентов в кварцевой ампуле, предварительно протравленной в растворе хромпика и промытой бидистиллированной водой. Ампула откачивалась до остаточного давления ~10–4 Па и отпаивалась. Синтез проводили при ~675К в течение 5 ч. Для улучшения гомогенности сплава ампулу с веществом в процессе синтеза постоянно подвергали качанию с помощью специального устройства.
Измельчение (дробление) проводилось в фарфоровой чашке со ступкой. С использованием специального сита отбиралась фракция с размерами зерен ≤ 630 мкм. Эксперименты показали, что дальнейшее уменьшение размеров зерен ухудшает термоэлектрические свойства материала [8].
Прессование брикетов велось при комнатной температуре и давлении ~400 МПа; диаметр брикетов ~30 мм.
Формирование ветвей термоэлементов осуществлялось методом экструзии. Технологические условия экструзии существенно влияют на свойства и однородность материала, а также механизм и кинетику процессов, протекающих в материале при послеэкструзионном отжиге. При благоприятном сочетании технологических параметров экструзия обеспечивает получение прутков, не содержащих макроскопических дефектов, с высокими механическими свойствами. При горячей экструзии за счет пластической деформации в образцах наряду с образованием текстуры одновременно возникают различные структурные дефекты, уменьшающие подвижность носителей заряда [6, 8, 22].
Экструзия проводилась на гидравлическом прессе марки МС-1000. Степень вытяжки ~25. Диаметр экструдированных прутков составлял 6 мм.
Оптимальные технологические параметры экструзии установлены нами экспериментально: температура экструзии Тэкс = 473К, давление экструзии Рэкс = 350 МПа, скорость пресса ν = 0.2 см/мин.
Послеэкструзионный отжиг. В зависимости от состава образца и условий экструзии оптимальная температура послеэкструзионного отжига может быть как ниже, так и выше температуры экструзии, но всегда выше максимальной температуры нагрева материала в ходе технологических воздействий. Длительность отжига в откачанных до давления 10–3 Па кварцевых ампулах составляла 2 ч при ~503 К.
Образцы твердого раствора Bi0.85Sb0.15, легированного свинцом, модифицировали γ-квантами источника 60Со дозами 1.0, 10 и 50 Мрад. Поглощенную образцом дозу определяли методом, описанным в [23]. Образцы для измерения размерами 0.2 × 0.4 × 1.5 вырезались из экструдированных прутков на электроискровой установке А207.40М. В процессе резки на поверхности образца образуется нарушенный слой, для удаления которого использовали раствор KOH + C4H6O6 + H2O [24].
Точечные контакты наносились сплавом Вуда с использованием флюса ФСКГЛ (CH5ON3 + HCl + C3H8O3) и имели размер ~0.5 мм. Электрические параметры σ, RХ и α измеряли в направлении экструзии по длине образца на постоянном токе зондовым методом [25, 26].
Для устранения паразитных ЭДС на зондах в случае определения σ измерения проводились в двух противоположных направлениях тока, а для устранения влияния асимметричности холловских контактов и других паразитных ЭДС, обусловленных гальваномагнитными и термомагнитными эффектами, измерения холловского напряжения UХ проводились в двух противоположных направлениях тока и магнитного поля. При этом поворотом криостата в магнитном поле достигалась максимальная величина холловского напряжения на образце. Магнитное поле изменялось с шагом 0.5 кЭ. Электропроводность и гальваномагнитные эффекты измерялись в изотермических условиях, а термо-ЭДС – в адиабатических условиях.
Для регистрации использовались измерительный цифровой универсальный измерительный прибор, цифровой вольтметр В7-21 и амперметр SM3D.
Исследовались необлученные и облученные образцы с различными дозами: 1, 10 и 50 Мрад. Исследованы удельная электропроводность (σ), коэффициенты термо-ЭДС (α) и Холла (RХ) в интервале ~77–300 К.
Погрешность при измерении электрических параметров не превышала ~ ±3%.
РЕЗУЛЬТАТЫ И ОБСУЖДЕНИЕ
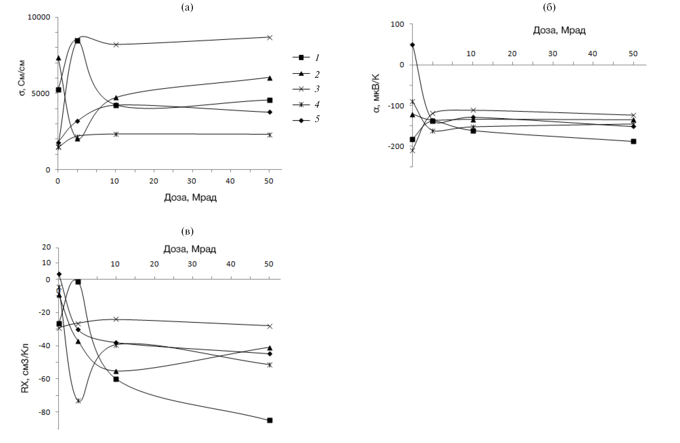
Полученные экспериментальные результаты о влиянии примесей свинца и γ-радиации на электрические параметры экструдированных образцов твердого раствора Bi0.85Sb0.15 представлены на рис. 1 и 2. Видно, что γ-облучение по-разному влияет на электропроводность образцов с различными концентрациями свинца. При этом основное изменение σ образцов под действием облучения происходит при дозах до ~10 Мрад. Так, при ~77 К под действием γ-облучения дозой 1 Мрад σ нелегированного образца растет от 5230 до 8431 См/см, с ростом дозы облучения до 10 Мрад уменьшается до 4240 См/см, а при дозе до 50 Мрад, несколько возрастая, доходит до 4552 См/см. Легирование образца Bi0.85Sb0.15 0.001 ат. % Pb приводит к увеличению σ до 7353 См/см. В этом образце под действием γ-облучения дозой 1 Мрад σ, существенно (в ~3.5 раза) уменьшаясь, при дальнейшем росте дозы облучения до 10 Мрад в ~2.2 раза возрастает, а затем при росте дозы до 50 Мрад медленно увеличивается (~50%). Зависимости электропроводности образцов, легированных 0.005, 0.01 и 0.05 ат. % Pb, от дозы облучения почти идентичны: при малых дозах (до 10 Мрад) σ несколько растет, а с ростом дозы облучения существенно не меняется. Изменения σ под действием γ-облучения удовлетворительно коррелируют с изменениями коэффициентов термо-ЭДС и Холла. В необлученном образце, легированном 0.05 ат. % Pb, ниже температуры ~130 К (до ~77 К) знаки коэффициентов α и RХ положительные, т.е. образец имеет р-тип проводимости. При всех дозах облучения образцы твердых растворов Bi0.85Sb0.15, легированные до 0.05 ат. % Pb, в интервале ~77–300 К имеют n-тип проводимости, т.е. знаки коэффициентов α и RХ отрицательные.
Рис. 1. Зависимости электропроводности σ (а), коэффициента термо-ЭДС α (б), коэффициента Холла RХ (в) экструдированных образцов твердого раствора Bi0.85Sb0.15, легированных 0 (1), 0.001 (2), 0.005 (3), 0.01 (4) и 0.05 ат. % Pb (5), от дозы облучения
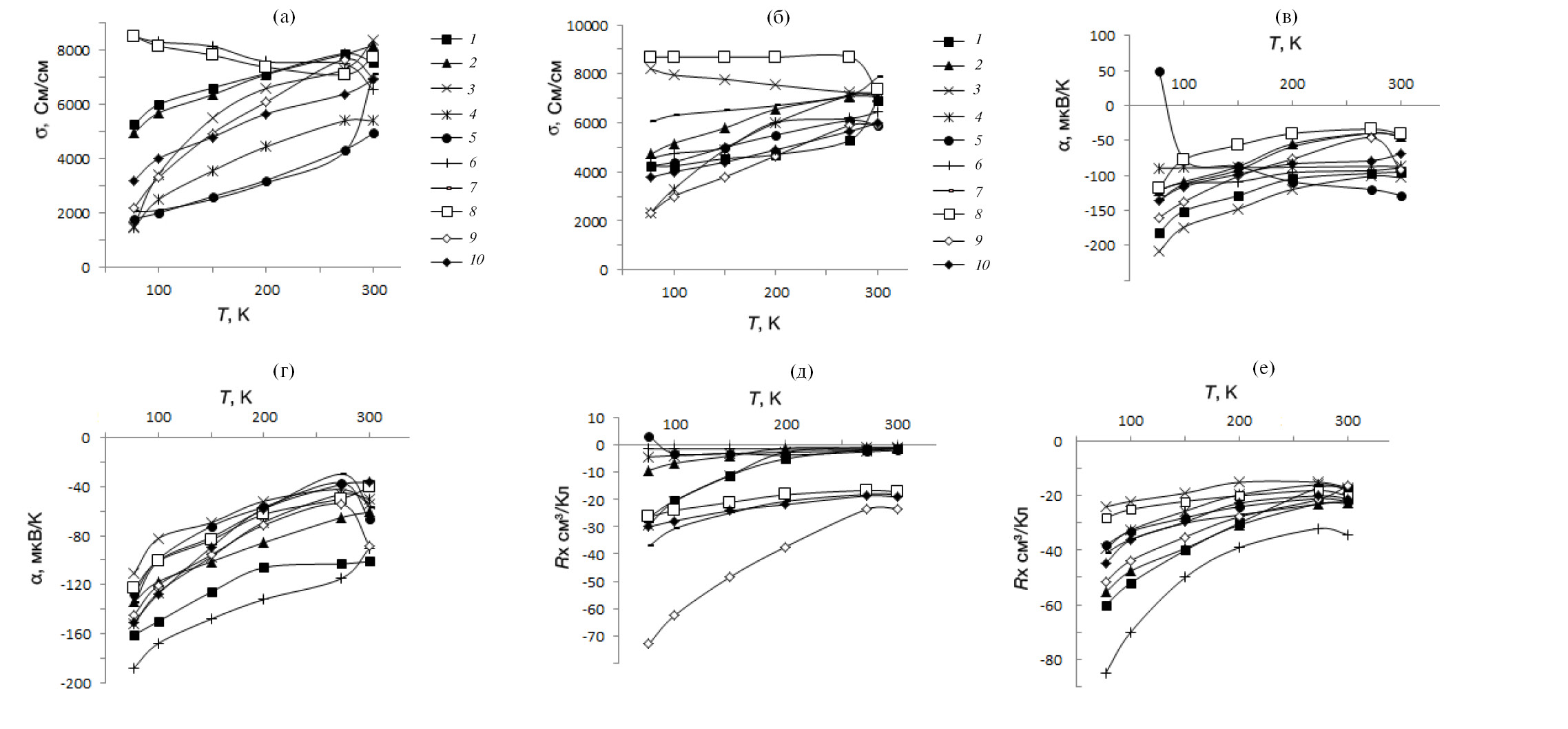
Рис. 2. Температурные зависимости электропроводности σ (а, б), коэффициентов термо-ЭДС α (в, г) и Холла RХ (д, е) экструдированных образцов Bi0.85Sb0.15: а, в, д – необлученные образцы (1–5) и облученные дозой 1 Мрад (6–10); б, г, е – образцы, облученные дозой 10 Мрад (1–5), облученные дозой 50 Мрад и легированные 0 (6), 0.001 (7), 0.005 (8), 0.01 (9), 0.05 ат. % Pb (10)
Зависимости электрических параметров от дозы γ-облучения объясняются следующим образом. Предполагается, что γ-облучение создает в образцах твердого раствора Bi0.85Sb0.15 РД донорного типа. Поэтому при дозе 1 Мрад в нелегированном образце концентрация свободных электронов n и электропроводность σ растут. С увеличением дозы γ-облучения количество РД в нелегированном образце Bi0.85Sb0.15 существенно повышается и эти дефекты, объединяясь, создают более крупные электрически нейтральные дефекты. В результате концентрация электронов, созданных малыми дозами (до 1 Мрад), уменьшается. При этом за счет рассеяния носителей тока на крупных дефектах падает и их подвижность. Эти факторы приводят к уменьшению электропроводности в нелегированном образце Bi0.85Sb0.15, облученном γ-квантами при больших дозах.
Результаты изучения влияния γ-облучения на электрические свойства образцов Bi85Sb15<Pb> показывают, что сильно облученный образец имеет низкую концентрацию свободных носителей заряда, высокую концентрацию (плотность) связанного на дефектах заряда и степень компенсации радиационных доноров и акцепторов, приближающуюся к единице.
Примеси свинца в Bi0.85Sb0.15 образуют акцепторные центры. При концентрациях до 0.001 ат. % Pb эти центры, создавая определенное количество дырок, увеличивают суммарную концентрацию носителей тока и σ образцов. При концентрациях свинца ≥ 0.005 ат. % акцепторные центры компенсируют часть свободных электронов. В связи с этим при введении Pb в Bi0.85Sb0.15 электропроводность падает, и при концентрациях свинца ≥ 0.05 ат. % α и RХ образцов при ~77 К имеют отрицательный знак.
Для образца с 0.001 ат. % Pb РД, созданные γ-квантами с дозой 1 Мрад, компенсируя акцепторные центры свинца, уменьшают концентрацию дырок, суммарную концентрацию носителей тока и электропроводность. Увеличение удельного сопротивления в образцах Bi85Sb15<0.001 ат. % Pb>, облученных гамма-квантами при дозе в 1 Мрад, указывает на смещение уровня Ферми при облучении на, примерно ~Eg/2 за счет захвата свободных дырок на уровни РД. При больших концентрациях свинца (≥0.005 ат. % Pb) компенсация электронов осуществляется акцепторными центрами Pb, что приводит к уменьшению σ необлученного образца при ~77К до 1780 См/см. Созданные γ-облучением новые электроны проводимости приводят к росту σ образцов.
Облучение изменяет свойства материала аналогично легированию.
Полученные данные по влиянию γ-облучения на электрические параметры твердого раствора Bi0.85Sb0.15 с примесями свинца хорошо согласуются с результатами [8, 9, 11, 12, 20, 27–29].
Таким образом, зависимости электрических параметров экструдированных образцов твердого раствора Bi0.85Sb0.15, содержащих акцепторные примеси свинца, от дозы γ-облучения удовлетворительно объясняются предположением донорного характера дефектов, созданных в образцах γ-облучением, и компенсацией акцепторных центров свинца этими дефектами.
ЗАКЛЮЧЕНИЕ
При низких дозах гамма-облучения твердого раствора Bi0.85Sb0.15<Pb> возникают РД, которые приводят к росту концентрации свободных электронов n, электропроводности σ и уменьшению коэффициентов термо-ЭДС α и RХ. С ростом дозы облучения концентрация количество РД растет, что приводит к их объединению, уменьшению концентрацию носителей тока и соответствующему изменению σ, α и RХ.
КОНФЛИКТ ИНТЕРЕСОВ
Авторы заявляют, что у них нет конфликта интересов.
Об авторах
М. М. Тагиев
Азербайджанский государственный экономический университет; Институт физики им. Г.М. Абдуллаева Министерства науки и образования Азербайджанской Республики
Автор, ответственный за переписку.
Email: mail_tagiyev@mail.ru
Азербайджан, Баку; Баку
И. А. Абдуллаева
Институт радиационных проблем Министерства науки и образования Азербайджанской Республики
Email: mail_tagiyev@mail.ru
Азербайджан, Баку
Г. Д. Абдинова
Институт физики им. Г.М. Абдуллаева Министерства науки и образования Азербайджанской Республики
Email: mail_tagiyev@mail.ru
Азербайджан, Баку
Список литературы
- Земсков В.С., Белая А.Д., Рослов С.А. и др. Термоэлектрические свойства твердых растворов Bi–Sb // Изв. АН СССР. Металлы. 1978. № 1. С. 73–76.
- Грабов В.М., Комаров В.А., Каблукова Н.С. Гальваномагнитные свойства тонких пленок висмута и сплавов висмут-сурьма на подложках с различным температурным расширением // ФТТ. 2016. Т. 58. Вып. 3. С. 605–611.
- Koyano M., Yamanouchi M. Electronic Properties of Inhomogeneous Bi-Sb-Ni Composite Alloys // J. Phys.: Conf. Ser. 2009. V. 150. Р. 052128. http://iopscience.iop.org/article/10.1088/1742-6596/150/5/052128/meta
- Сидоренко Н.А., Дашевский З.М. Эффективные кристаллы Bi–Sb для термоэлектрического охлаждения при температурах T 180 K // ФТП. 2019. Т. 53. Вып. 5. С. 693-697. https://doi.org/10.21883/FTP.2019.05.47565.23
- Агаев З.Ф., Тагиев M.M., Абдинова Г.Д., Багиева Г.З., Абдинов Д.Ш. Теплопроводность экструдированных образцов Bi85Sb15 с примесями Gd и Pb // Неорган. материалы. 2008. Т. 44. № 2. С. 137–139.
- Тагиев М.М. Гальваномагнитные свойства легированных твердых растворов Bi0.85Sb0.15, модифицированных ZrO2 // Неорган. материалы. 1999. Т. 35. №. 9. С. 1042–1044.
- Desai C.F., Maunik J., Soni P.H. et al. Vicker’s Microhardness of Bi1−xSbx (x=0.05–0.30) Crystals // J. Mater Sci. 2009. V. 44. № 13. P. 3504-3507. https://doi.org/10.1007/s10853-009-3470-3
- Тагиев M.M. Влияние размеров зерен и примеси свинца на термоэлектрические свойства экструдированных образцов твердого раствора Bi0.85Sb0.15 // Неорган. материалы. 2021. Т. 57. № 2. С. 119–124. https://doi.org/10.31857/S0002337X21020135
- Abdullayeva I.A., Tagiyev M.M., Abdinova G.D. Magnetothermoelectric Properties Bi85Sb15 Solid Solution Doped with Lead and Tellurium Impurities // Int. J. Tech. Phys. Probl. Eng. 2021. V. 13. № 3. P. 110–114.
- Иванова Л.Д. Термоэлектрические материалы для различных температурных уровней // ФТП. 2017. Т. 51. Вып. 7. С. 948–951.
- Тагиев М.М., Абдуллаева И.А., Абдинова Г.Д. Влияние гамма-радиации на магнитотермоэлектрические свойства экструдированных образцов Bi0.85Sb0.15, модифицированных ZrO2 // Неорган. материалы. 2022. Т. 58. № 6. С. 589–595. https://doi.org/10.31857/S0002337X22060148
- Шупенев А.Е., Коршунов И.С., Ильин А.С. и др. Радиационные термоэлементы на основе теллурида висмута, получаемого методом импульсного лазерного охлаждения // ФТП. 2019. Т. 53. Вып. 6. С. 756–760. https://doi.org/10.21883/FTP.2019.06.47722.31
- Paulescu M., Vizman D., Lascu M., Negrila R., Stef M. Experimental Study of Proton Irradiation Effect on Silicon Solar Cells // AIP Conf. Proc. 2017. V. 1796. https://doi.org/10.1063/1.4972388
- Park S., Bourgoin J.C., Sim H., Baur C., Khorenko V., Cavani O., Bouerois J., Picard S., Boizot B. Space Degradation of 3J Solar Cells: I—Proton Irradiation // Progr. Photovot. Res. Appl. 2018. V. 26. № 10. P. 778–788. https://doi.org/10.1002/pip.3016
- Иванова М.М., Кечемцев А.Н., Михайлов А.Н., Филатов Д.О., ГоршковА.П., Волкова Н.С., Чалков В.Ю., Шенгуров В.Г. Влияние импульсного и гамма-нейтронного облучения на фоточувствительность фотодиодов на базе Si с наноостровками GeSi и эпитаксиальными слоями Ge // ФТП. 2018. Т. 52. Вып. 6. С. 651–655. https://doi.org/10.21883/FTP.2018.06.45931.8670
- Брудный В.Н., Пешев В.В. Влияние электронного (зарядового) состояния Е-ловушек на эффективность их накопления в n-GaAs при облучении // ФТП. 2003. Т. 37. Вып. 1. С. 22–28.
- Козюхин С.А. Химическое модифицирование материалов фазовой памяти на основе сложных халькогенидов // Журн. неорган. химии. 2021. Т. 66. № 2. С. 291–297. https://doi.org/10.31857/S0044457X21020100
- Брудный В.Н., Потапов А.И. Электрические свойства твердых растворов А IIIВV-А IIВ IVС2V, облученных ионами Н // ФТТ. 1983. С. 1347–1348.
- Козловский В.В. Модифицирование полупроводников пучками протонов. СПб.: Наука, 2003. 268 с.
- Tagiyev M.M., Abdullayeva I.A. Effect of γ-radiation on Magneto-Thermoelectric Properties of the Extruded Samples of Bi85Sb15 (Te) Solid Solution // Int. J. Mod. Phys. B. 2021. V. 35. № 7. P. 2150099-2150108. https://doi.org/10.1142/S0217979221500995
- Видалько Е. Н., Гайдар Г.П., Гирий В.А. Подвижность носителей тока в γ-облученных кристаллах кремния // Изв. АН СССР. Неорган. материалы. 1986. Т. 22. № 4. С. 533–536.
- Zhi-Lei Wang, Takehiro Araki, Tetsuhiko Onda, Zhong-Chun Chen. Effect of Annealing on Microstructure and Thermoelectric Properties of Hot-Extruded Bi–Sb–Te Bulk Materials // J. Mater. Sci. 2018. V. 53. № 12. P. 9117–9130.
- Pikayev A.K. Dosimetry in Radiation Chemistry. M.: Nauka, 1975. 232 p.
- Алиева Т.Д., Абдинов Д.Ш., Салаев Э.Ю. Влияние обработки поверхностей термоэлектрических материалов на свойства термоэлементов, изготовленных из твердых растворов систем Bi2Te3-Bi2Se3 и Bi2Te3-Sb2Te3 // Изв. АН. СССР. Неорган. материалы. 1981. Т. 17. № 10. С. 1773–1776.
- Охотин А.С., Пушкарский А.С., Боровикова Р.П., Смирнов В.А. Методы измерения характеристик термоэлектрических материалов и преобразователей. М.: Наука, 1974. 168 с.
- Бархалов Б.Ш., Тагиев М.М., Багиева Г.З., Абдинова Г.Д., Алиев Р.Ю., Магеррамова К.И. Влияние размеров зерен на термоэлектрические свойства экструдированных образцов твердого раствора Bi0,5Sb1,5Te3 // Изв. вузов. Физика. 2019. Т. 62. № 4. С. 94–101. https://doi.org/10.17223/00213411/62/4/94
-
Tagiyev M.M., Abdullayeva I.A. Influence of Gamma Radiation on Magnetoelectric Properties of Extruded Samples of Solid Solution Bi85Sb15
Modified ZrO2 // Int. J. Mod. Phys. B. 2022. V. 36. № 18. P. 2250103–2250112. https://doi.org/10.1142/S021797922250103X - Суслов М.В., Грабов В.М., Комаров В.А., Демидов Е.В., Сенкевич С.В., Суслов А.В. Термоэдс тонких пленок Bi1-хSbх (0 ≤ х ≤ 0,15) на подложках из слюды и полиимида в температурном интервале 77-300К // ФТП. 2019. Т. 53. № 5. С. 593–596. https://doi.org/10.21883/FTP.2019.05.47544.02
- Грабов В.М., Урюпин О.Н. Влияние дендритной неоднородности на термоэлектрические свойства кристаллов Bi0.88Sb0.12 // ФТП. 2022. Т. 56. Вып. 2. С. 145–148. https://doi.org/10.21883/FTP.2022.02.51951.18
Дополнительные файлы





