Effect of oil and diesel fuel pollution on enzymatic activity of meadow chernozem-like soil
- Authors: Piletskaya O.A.1
-
Affiliations:
- Institute of Geology and Nature Management FEB RAS
- Issue: No 12 (2024)
- Pages: 72-80
- Section: Ecotoxicology
- URL: https://journals.rcsi.science/0002-1881/article/view/273598
- DOI: https://doi.org/10.31857/S0002188124120107
- EDN: https://elibrary.ru/vurfze
- ID: 273598
Cite item
Abstract
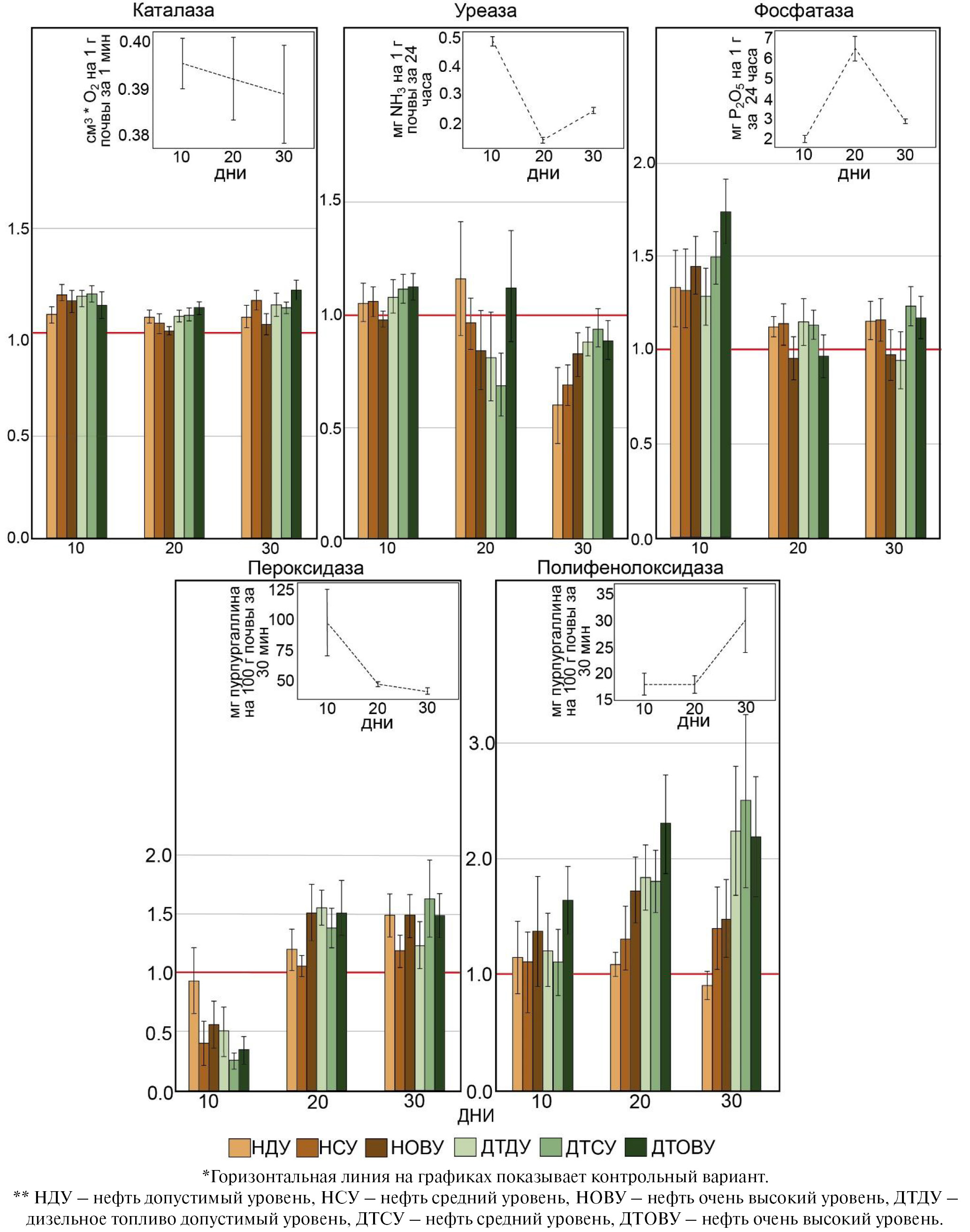
In the laboratory experiment, the effect of oil pollution on the short-term dynamics of the activity of urease, phosphatase, catalase, peroxidase and polyphenol oxidase of the chernozem soil of the south of the Far East was studied. It was found that when soil was contaminated with oil and petroleum products, urease activity decreased by 20–44% at the end of incubation, peroxidase activity increased by 39–49% in the middle and end of incubation, polyphenol oxidase activity increased 1.6–2.0 times in the middle of incubation. The activity of phosphatase and catalase was stable at different levels of contamination throughout the experiment. Examining the effect of the incubation period, it was found that the maximum activity of urease was on the 10th day, phosphatase – on the 20th, peroxidase – on the 20th and 30th, polyphenol oxidase – on the 30th day of the experiment. Catalase activity was stable throughout all incubation periods. It was shown that in the case of contamination of chernozem-like soil with oil and diesel fuel in doses up to 5000 mg/kg, inhibition of enzymatic activity did not occur in the early stages.
Full Text
About the authors
O. A. Piletskaya
Institute of Geology and Nature Management FEB RAS
Author for correspondence.
Email: olgapiletskaya1988@gmail.com
Russian Federation, Relochny per. 1, Blagoveshchensk 675000
References
- Шамраев А.В., Шорина Т.С. Влияние нефти и нефтепродуктов на различные компоненты окружающей среды // Вестн. ОГУ. 2009. № 6(100). С. 642–645.
- Wyszkowska J., Kucharski J., Waіdowska E. The influence of diesel oil contamination on soil enzymes activity // Rostlinna Vyroba. 2002. V. 48. P. 58–62.
- Moradi S., Sarikhani Mohammad Reza, Ale-Agha Ali Beheshti, Hasanpur Karim, Shiri Jalal. Effects of natural and prolonged crude oil pollution on soil enzyme activities // Geoderma Region. 2024. V. 36. P. e00742.
- Поляк Ю.М., Сухаревич В.И. Почвенные ферменты и загрязнение почв: биодеградация, биоремедиация, биоиндикация // Агрохимия. 2020. № 3. С. 83–93.
- Габбасова И.М. Деградация и рекультивация почв Башкортостана. Уфа: Гилем, 2004. 284 с.
- Bai W., Wang Genxu, Shang Guanglie, Xu Lei, Wang Zilong. Effects of experimental warming on soil enzyme activities in an alpine swamp meadow on the Qinghai-Tibetan Plateau // Pedobiol. J. Soil Ecol. 2023. V. 101. P. 150910.
- Lemanowicz J., Brzezinґska Małgorzata, Siwik-Ziomek Anetta, Koper Jan. Activity of selected enzymes and phosphorus content in soils of former sulphur mines // Sci. Total Environ. 2020. V. 708. Iss 13. P. 134545.
- Колесников С.И., Спивакова Н.А., Везденеева Л.С., Кузнецова Ю.С., Казеев К.Ш. Влияние модельного загрязнения нефтью на биологические свойства почв сухих степей и полупустынь юга России // Аридные экосист. 2013. Т. 19. № 2(55). С. 58–63.
- Dindar E., Olcay Topaс Sagban F., Baskaya Huseyin S. Variations of soil enzyme activities in petroleum-hydrocarbon contaminated soil // Inter. Biodeteriorat. Biodegradat. 2015. V. 105. P. 268–275.
- Guo H., Yao J., Cai M., Qian Y., Guo Y., Richnow H.H., Blake R.E., Doni S., Ceccanti B. Effects of petroleum contamination on soil microbial numbers, metabolic activity and urease activity // Chemosphere. 2012. V. 87. № 11. P. 1273–1280.
- Байчоров Р.А. Действие нефти и нефтепродуктов на свойства почв и продуктивность растений // E-Scio. 2020. Электр. ресурс, режим доступа: https://cyberleninka.ru/article/n/deystvie-nefti-i-nefteproduktov-na-svoystva-pochv-i-produktivnost-rasteniy?ysclid=lpkkx6yrc7720051773
- Вержбицкий В.В. Андрианов И.И., Полтавская М.Д. Охрана окружающей среды в нефтегазовом деле: уч. пособ. Ставрополь: Изд-во СКФУ, 2014. 97 с.
- Mendelssohn I.A., Slocum M.G. Relationship between soil cellulose decomposition and oil contamination after an oil spill at Swanson Creek, Maryland // Marine Polluti. Bul. 2004. V. 48. P. 359–370.
- Pezeshki S.R., Hester M.W., Lin Q., Nyman J.A. The effects of oil spill and clean-up on dominant US Gulf coast marsh macrophytes: a review // Environ. Pollut. 2000. V. 108. P. 129–139.
- Голов Г.В. Почвы и экология агрофитоценозов Зейско-Буреинской равнины. Владивосток: Дальнаука, 2001. 162 с.
- Ивлев А.М., Дербенцева В.И., Голов В.И., Трегубова В.Г. Агрохимия почв юга Дальнего Востока. М.: Круглый год, 2001.104 с.
- Пилецкая О.А. Биологическая активность черноземовидной почвы при использовании различных систем удобрений: Автореф. дис. … канд. биол. наук. Владивосток: ДФУ, 2015. 24 с.
- Документ (Письмо) Министерство охраны окружающей среды и природных ресурсов РФ от 27.12.93 № 61-5678 «О порядке определения размеров ущерба от загрязнения земель» // Техэксперт: [сайт]. URL: http://docs.cntd.ru/document/9033369
- Муртазина С.Г., Гайсин И.А., Муртазин М.Г. Практикум по почвоведению. Казань: КазанГСХА, 2006. 225 с.
- Малахов С.Г. Временные методические рекомендации по контролю загрязнения почв. М.: Моск. отд-е гидрометеоиздата, 1984. 40 с.
- Хазиев Ф.Х. Методы почвенной энзимологии. М.: Ин-т биологии Уфим. НЦ, Наука, 2005. 252 с.
- Griffiths B.S., Bonkowski M., Roy J., Ritz K. Functional stability, substrate utilisation and biological indicators of soils following environmental impacts // Appl. Soil Ecol. 2001. V.16. Iss. 1. P. 49–61.
- Siddiqui S., Adams W.A. The fate of diesel hydrocarbons in soils and their effect on the germination of perennial ryegrass // Environ. Toxicol 2002. V. 17. Iss. 1. P. 49–62.
- Blakely J.K., Neher D.A., Spongberg A.L. Soil invertebrates and microbial communities, and decomposition as indicators of polycyclic aromatic hydrocarbon contamination // Appl. Soil Ecol. 2002. V. 21. Iss. 1. P. 71–88.
- Li Y., Morris J.T., Yoch D.C. Chronic low level hydrocarbon amendments stimulate plant growth and microbial activity in saltmarsh microcosms // J. Appl. Ecol. 1990. V. 27. № 1. P. 159–171.
- Li M., Horsman B., Wang N., Lan Wu C.Q. Effects of nitrogen sources on cellgrowth and lipid accumulation of green alga Neochloris oleoabundans // Appl. Microbiol. Biotechnol. 2008. V. 81. P. 629–636.
- Allen C.A., Wagner W.C. Rhizosphere activity of cattail (Typha latifolia) and spike rush (Eleocharis tuberculosa) inhabiting an oil spill // Texas J. Sci. 2000. V. 52. P. 335–344.
- Delaune R.D., DeLaune R.D., Patrick Jr. W.H., Buresh R.J. Effects of crude oil on a Louisiana Spartina alterniflora salt marsh // Environ. Pollut. 1979. V. 20. Iss. 1. P. 21–31.
- Сергатенко С.Н., Федорова И.Л., Игнатова Т.Д. Влияние нефтяного загрязнения на активность почвенных ферментов классов оксидоредуктаз и гидролаз // Вестн. Ульян. ГСХА. 2022. № 3. С. 83–88.
- Achuba F.I., Peretiemo-Clarke B.O. Effect of spent engine oil on soil catalase and dehydrogenase activities // Inter. Agrophysics. 2008. V. 22. P. 1–4.
- Uzoije A.P., Agunwamba J.C. Physiochemical properties of soil in relation to varying rates of crude oil pollution // J. Environ. Sci. Technol. 2011. V. 4. Iss. 3. P. 313–323.
- Walker J.D., Seesman P.A., Colwell R.R. Effect of south Louisiana crude oil and no. 2 fuel oil on growth of heterotrophic microorganisms, including proteolytic, lipolytic, chitinolytic and cellulolytic bacteria // Environ. Pollut. 1975. V. 9. Iss. 1. P. 13–33.
- Wang S., Xu Yan, Lin Zhaofeng, Zhang Jishi, Norbu Namkha, Liu Wei. The harm of petroleum-polluted soil and its remediation research // AIP Conf. Proceed. 2017. V. 1864. Iss.1. P. 1–8.
- Раськова Н.В. Активность и свойства пероксидазы и полифенолоксидазы в дерново-подзолистых почвах под лесными биоценозами // Почвоведение. 1995. № 11. С. 25–30.
- Гулько А.Е., Хазиев Ф.Х. Фенолоксидазы почв: продуцирование, иммобилизация, активность // Почвоведение. 1992. № 11. С. 145–148.
- Коршунова Т.И., Четвериков С.П., Бакаева М.Д., Кузина Е.В., Рафикова Г.Ф., Четверикова Д.В., Логинов О.Н. Микроорганизмы в ликвидации последствий нефтяного загрязнения (обзор) // Прикл. биохим. и микробиол. 2019. Т. 55. № 4. С. 338–349.
- Мязин В.А., Фокина Н.В. Использование биоремедиации для очистки почв от нефтезагрязнения в условиях Кольского Севера // Сб. научн. тр. «Проблемы рекультивации отходов быта, промышленного и сельскохозяйственного производства» Краснодар: Кубан.ГАУ им. И.Т. Трубилина, 2017. С. 70–75.
- Назаров А.В., Ананьина Л.Н., Ястребова О.В., Плотникова Е.Г. Влияние нефтяного загрязнения на бактерии дерново-подзолистой почвы // Почвоведение. 2010. № 12. С. 1489–1493.
- Другов Ю.С., Родин А.А. Экологические анализы при разливах нефти и нефтепродуктов: практ. рук-во. 2-е изд. (эл.). М.: БИНОМ, Лаборатория знаний, 2015. 273 c.
- Руденко Е.Ю. Биоремедиация нефтезагрязненных почв органическими компонентами отходов пищевой (пивоваренной) промышленности: Дис. … д-ра биол. наук. Самара, 2015. 352 с.
- Gianfreda L., Rao M.A. Potential of extra cellular enzymes in remediation of polluted soils: a review // Enzyme Microb. Technol. 2004. V. 35. P. 339–354.
- Исмаилов Н.М. Микробиология и ферментативная активность нефтезагрязненных почв // Восстановление нефтезагрязненных почвенных экосистем. М.: Наука, 1988. С. 42–57.
- Киреева Н.А., Новоселова Е.И., Хазиев Ф.Х. Ферменты азотного обмена в нефтезагрязненных почвах // Изв. РАН. Сер. биол. 1997. С. 755–759.
- Новоселова Е.И. Ферментативная активность почв в условиях нефтяного загрязнения и ее биодиагностическое значение // Теор. и прикл. экол. 2009. № 2. С. 4–12.
- Безуглова О.С., Наими О.И., Полиенко Е.А., Лыхман В.А., Дубинина М.Н., Поволоцкая Ю.С., Патрикеев Е.С. Ферментативная активность чернозема обыкновенного при разложении соломы в почве // Усп. совр. естествознания. 2019. № 12. С. 199–204.
- Лабутова Н.М., Банкина Т.А. Основы биогеохимии. СПб.: Изд. дом СПбГУ, 2013. 239 с.
- Пилецкая О.А., Ячная Д.А. Влияние сроков и способов хранения на изменение активности ферментов черноземовидной почвы Зейск-Буреинской равнины // Бюл. Почв. ин-та им. В.В. Докучаева. 2022. Вып. 112. С. 48–72. doi: 10.19047/0136-1694-2022-112-48-72
- Турусов В.И., Гармашов В.М., Дьячкова Т.И. Ферментативная активность чернозема обыкновенного в различных севооборотах при разных способах обработки почвы // Агрохимия. 2012. № 9. С. 21–25.
- Русанов А.М., Мисетов И.А., Шорина Т.С. К вопросу диагностики и оценки загрязненных нефтью черноземов // Вестн. ТомскГУ. 2012. № 364. С. 219–224.
- Воронин А.А., Протасова Н.А., Беспалова Н.С. Динамика ферментативной активности чернозема обыкновенного в условиях полевого стационарного опыта федерального полигона «Каменная степь» // Вестн. ВГУ. Сер. Химия. Биология. Фармация. 2006. № 2. С. 122–127.
Supplementary files




