Assessment of the Modifying Effect of Zinc and Copper on Toxic Stress of Barley Plants Caused by Cadmium
- Authors: Dikarev А.V.1, Dikarev D.V.1, Krylenkin D.V.1
-
Affiliations:
- Russian Institute of Radiology and Agroecology of National Research Centre “Kurchatov Institute”
- Issue: No 7 (2024)
- Pages: 57-72
- Section: Ecotoxicology
- URL: https://journals.rcsi.science/0002-1881/article/view/262885
- DOI: https://doi.org/10.31857/S0002188124070082
- EDN: https://elibrary.ru/CFPEBN
- ID: 262885
Cite item
Full Text
Abstract
In a vegetation experiment on sod-podzolic sandy loam soil with Cd2+ addition at doses of 25 and 45 mg/kg, we studied how the response of barley plants to the toxic effects of cadmium changes if various amounts of heavy metals (HM) with the functions of trace elements were introduced together with it, using the example of zinc and copper. In addition, several variants were laid, in which copper and zinc were also introduced along with cadmium. Thus, doses and combinations of metals were used in the experiment: Cd45, Cd25Cu50, Cd25Cu100, Cd25Cu100, Cd25Cu200, Cd45Cu50, Cd45Cu100, Cd45Cu200, Cd45Zn50, Cd45Zn100, Cd45Zn150. Morphometric parameters (appearance, height of plants, their biomass and leaf area), biochemical parameters (accumulation of MDA, total antioxidants and crude protein), crop structure (straw weight, grain weight, 1000 grain weight) were evaluated in experimental plants. In addition, the gross content of HM and other elements in the soil and their transition to the soil solution were analyzed. It is shown that the introduction of cadmium alone led to a significant inhibition of the growth and development of barley plants. At the same time, the combined addition of HM trace elements with cadmium significantly modified the effect of cadmium. Zinc contributed to a decrease in the toxic effects of cadmium, and the intensity of this effect increased as the concentration of zinc increased, and the toxic effects of this HM at the doses considered had not yet manifested themselves. Copper, as a more toxic element, showed its stimulating effect at lower doses than zinc, and at higher doses, the development of acute stress caused by the combined toxic effects of 2 HM was observed. This is true for a dose of cadmium of 45 mg/kg, with a lower dose of cadmium (25 mg/kg), copper had a greater stimulating effect. The considered effects were primarily noted when evaluating morphometric indicators and productivity. Based on the biochemical parameters, it was not possible to draw clear conclusions about how the addition of zinc and copper changed the effects of cadmium. Apparently, it was more appropriate to use other biochemical parameters to assess stress effects. It was noted that the introduction of trace elements generally contributed to a reduction in the accumulation of cadmium in the aboveground biomass of barley plants, however, the addition of zinc led to an increased transition of cadmium into straw, but not into grain.
Full Text
ВВЕДЕНИЕ
Кадмий является одним из основных загрязнителей наземных и водных экосистем. Данный химический элемент, относящийся к группе тяжелых металлов (ТМ), поступает в окружающую среду в первую очередь в составе выхлопных газов, а также с отходами промышленности и сельского хозяйства [1]. В почвах сельскохозяйственных угодий содержание кадмия может достигать 400–800 мг/кг, в почвах промышленных зон – подниматься более 1000 мг/кг [2].
Накапливаясь в растениях в токсических концентрациях, кадмий вызывает множественные повреждения во всех системах, органах, клетках, нарушает биохимические реакции, связанные с питанием, дыханием, фотосинтезом, изменяет активность ферментов и их состав, нарушает процессы минерального питания и водного обмена, меняет гормональный статус, воздействует на структуру плазмалеммы и ее проницаемость [3]. В результате на загрязненных этим ТМ почвах зачастую наблюдают снижение продуктивности сельскохозяйственных культур. Более того, продукты питания, произведенные на загрязненных территориях, могут содержать кадмий в опасных для здоровья человека и домашних животных концентрациях [2].
Медь и цинк также входят в группу ТМ, однако, в отличие от кадмия, обладают важными физиологическими ролями, относясь к микроэлементам. Например, среднее содержание цинка в растениях составляет ≈ 0.002% от массы [4]. В растительном организме он входит в состав активных центров более чем 30 ферментов, таких как карбоангидразы, фосфатазы, РНК-полимераза, алкогольдегидрогеназа. Например, первый из этих энзимов катализирует процесс разложения гидратированной угольной кислоты на углекислый газ и воду, таким образом, контролируя одну из реакций фотосинтеза. Кроме того, цинк участвует в синтезе ауксинов, катализируя в виде кофактора триптофансинтетазы образование соответствующей аминокислоты. Таким образом, внесение в почву цинка стимулирует рост растения, активизируя указанный процесс. Важна роль цинка для поддержания нормального функционирования плазмалеммы, для образования протеинов и активности РНКазы, в регуляции процесса транскрипции ДНК. Цинк вовлечен в антиоксидантную защиту организма, будучи кофактором супероксиддисмутазы.
Медь содержится в растениях в среднем в количестве 0.0002%. Она также является коферментом ряда энзимов из группы оксидаз [5]. К их функциям, например, относятся окисление полифенолов и аскорбиновой кислоты; таким образом, медь вовлечена в контроль антиоксидантного статуса организма. Кроме того, в составе цитохрома-С медь участвует в работе митохондрий. Задействована медь и в азотном обмене, стимулируя активность нитратредуктаз и протеаз. Наиболее велико содержание меди в хлоропластах, где она входит в состав белка пластоцианина, функцией которого является перенос электронов между первой и второй фотосистемами.
Тем не менее, при повышенном содержании в почве цинк и медь оказывают токсическое воздействие на растительный организм, вызывая эффекты, сходные с действием других ТМ, таких, как кадмий [6]. Среднее содержание цинка в почвах Нечерноземной зоны составляет 35, меди – 13 мг/кг. ПДК для обоих элементов одинакова и составляет 55 мг/кг [7].
Большинство исследований влияния ТМ на растения проведено на модельных объектах. Это позволило оценить многие особенности реакции растений на воздействие наиболее опасных ТМ на клеточном, физиолого-биохимическом и молекулярно-генетическом уровнях [3]. Несмотря на несомненную научную ценность и общебиологическую значимость полученной информации остается малоизученным большой пласт вопросов, касающихся особенностей действия конкретных ТМ на те, или иные сельскохозяйственные культуры. Требуют дополнительного изучения механизмы поступления ТМ из почвы в растения, их транспорта, распространения и аккумуляции в разных органах и клеточных структурах, а также их влияния на продуктивность и качество урожая.
Особенный интерес представляют исследования, посвященные анализу комплексного воздействия нескольких ТМ на растения. Действительно, в реальных условиях редко встречается ситуация, когда почва загрязнена только одним ТМ, чаще встречаются смеси из нескольких токсических элементов. При этом возможно такое, что некоторые ТМ в подобных смесях, такие как кадмий, будучи сильно ядовитыми, не обладают доказанным физиологическим действием [3, 4], в то время как другие, например, медь и цинк, являются микроэлементами. Логично предположить, что внесение в загрязненную почву низких количеств микроэлементов может до определенной степени ослаблять воздействие вредных ионов, но по мере возрастания дозы микроэлементов этот эффект исчезает, сменяясь комбинированным токсическим воздействием смеси ТМ. В связи с этим было бы интересно рассмотреть особенности синергического и антагонистического взаимодействия, с одной стороны, кадмия, а с другой – меди и цинка.
Ячмень (Hordeum vulgare L.) – одна из основных сельскохозяйственных культур. Он известен с глубокой древности и широко возделывается по всему миру, в самых разнообразных почвенных и климатических условиях. Помимо этого, эта культура тщательно изучена на всех уровнях ее организации, что делает ее подходящей моделью для исследования ответа растительных организмов на действие техногенных стрессоров и, в частности – кадмия, а также смесей ТМ.
Цель работы – изучение ответа растений ярового двурядного ячменя на сочетанное воздействие токсического ТМ (кадмия) и двух ТМ, обладающих функциями микроэлементов питания (медь и цинк) в различных дозах, по морфометрическим, физиолого-биохимическим показателям и продуктивности.
МЕТОДИКА ИССЛЕДОВАНИЯ
Эксперимент для изучения сочетанного действия ТМ на растения ярового двурядного ячменя был заложен на дерново-подзолистой супесчаной почве. Для работы были взяты семена ячменя сорта Зазерский 85 (Белоруссия). Растения выращивали в пластиковых сосудах емкостью 5 кг по общепринятой методике [8]. Агрохимические характеристики почвы [9] приведены в табл. 1.
Таблица 1. Физико-химические характеристики почвы опыта
Показатель | Величина показателя |
pHKCl, ед. рН | 5.27 ± 0.01 |
Гумус, % | 1.31 ± 0.02 |
Hг, мг-экв/100 г почвы | 1.82 ± 0.03 |
Сумма обменных оснований, мг-экв/100 г почвы | 6.05 ± 0.18 |
Обменный K2O, мг/кг почвы (по Масловой) | 77.6 ± 3.3 |
Подвижный P2O5, мг/кг почвы (по Кирсанову) | 65.0 ± 0.6 |
Кадмий был внесен в почву в виде нитрата Cd(NO3)2•4Н2О в концентрациях 25 и 45 мг/кг. Цинк вносили в аналогичной форме Zn(NO3)2• •6Н2О в концентрациях 50, 100, 150 мг/кг. Медь вносили в форме Cu(NO3)2•3Н2О в дозах 50, 100 и 200 мг/кг. Таким образом, были реализованы следующие варианты внесения ТМ: контроль без ТМ, Zn/Cu0Cd45, Zn50Cd45, Zn100Cd45, Zn150Cd45; Cu50Cd25, Cu100Cd25, Cu200Cd25; Cu50Cd45, Cu100Cd45, Cu200Cd45 (числа в нижнем индексе означают содержание соответствующего элемента, мг/кг почвы).
При выборе концентрации ТМ, использованных в данном исследовании, руководствовались данными, полученными в проведенных ранее коллективом ВНИИРАЭ вегетационных опытах по изучению ответа растений ячменя на действие различных ТМ [10]. На основе анализа данных по реакции морфометрических и биохимических показателей растений ячменя была выбрана доза кадмия, которая может считаться критической, т. е. такой, которая вызывает существенное угнетение рассматриваемых параметров, но еще позволяет растению нормально развиваться и завершать свой жизненный цикл. Кроме того, была выбрана доза, которая вызывает развитие эффектов, выраженных примерно в 2 раза меньшей степени, чем вышеуказанная. Для меди и цинка избрали такой диапазон концентраций, который вызывал бы эффекты от незначительных или стимулирующих до явного угнетения растений. Предполагали, что при минимальных дозах микроэлементов удалось бы компенсировать токсическое воздействие кадмия, однако по мере возрастания дозы, стимулирующее действие микроэлементов должно было бы постепенно исчезнуть. Таким образом, ожидаемые эффекты проявлялись вероятно в большей степени при внесении в почву кадмия 25 мг/кг и в меньшей – при внесении 45 мг/кг, т. е. в последнем случае быстрее бы развивался токсический стресс.
Эксперимент во всех вариантах закладывали в трехкратной повторности, всего было использовано 33 сосуда. При закладке опыта просеянную и подготовленную почву тщательно перемешивали и вносили в нее питательные элементы в виде водных растворов солей NH4NO3 и K2SO4 из расчета N200K100. На основе данных табл. 1 было установлено, что P2O5 содержится в почве в достаточном количестве, и его дополнительное внесение не требуется. При внесении в почву питательных веществ учитывали и корректировали количество азота, поступавшее с раствором соли ТМ так, чтобы азота во всех вариантах содержалось поровну. Контролем служил вариант с NK без внесения ТМ. При выборе варианта солей питательных элементов, а также их концентраций руководствовались рекомендациями, приведенными в работах [8, 9], на которых и основывалась вся методика данного опыта. Перед посевом почву инкубировали в течение 30 сут при температуре 20–23°C и влажности 60% ПВ. Растения выращивали до товарной спелости в условиях постоянной влажности почвы (60% ПВ). Положение вегетационных сосудов меняли ежедневно по схеме, обеспечивающей равномерное освещение и однородные условия роста и развития растений. Поливали растения дистиллированной водой.
Отбор растительных проб для биометрического и биохимического анализов проводили через 30 сут после всходов. Биохимические показатели (содержание малонового диальдегида (МДА) [11], общее содержание антиоксидантов [12] и белков [13, 14]) определяли в пробах листьев. До урожая оставляли по 10 растений в сосуде. В течение всего вегетационного периода вели фенологические наблюдения. При уборке урожая через 90 сут после всходов в пробах определяли структуру урожая по следующим показателям: высота растений, общее число стеблей и число продуктивных стеблей, масса колосьев и соломы, общее число колосьев и число колосьев с зерном, масса зерна, число зерен в колосе. Также на 30-е сут эксперимента определяли содержание элементов в почвенном растворе и самой почве с помощью стандартной методики [15].
Статистическую обработку экспериментальных данных проводили стандартными методами с использованием программных пакетов MS Excel 2003 и Statistica 10.0. На графиках и диаграммах приведены среднеарифметические величины в расчете на одно растение и доверительные интервалы определявшихся показателей в % к контролю при 95%-ном уровне значимости.
РЕЗУЛЬТАТЫ И ИХ ОБСУЖДЕНИЕ
Внешний вид растений. Внешний вид растений ярового ячменя сорта Зазерский 85 показан на рис. 1.
Рис. 1. Внешний вид растений ячменя сорта Зазерский 85 на 30-е сут выращивания (слева направо (а) – варианты Zn150Cd45, Zn100Cd45, Zn50Cd45, Zn0Cd45, контроль; (б) – варианты Cu200Cd25, Cu100Cd25, Cu50Cd25, контроль; (в) – варианты Cu200Cd45, Cu100Cd45, Cu50Cd45, Cu0Cd45, контроль).
Показано, что внесение в почву кадмия 45 мг/кг вызывало заметное угнетение роста и развития растений ячменя. Однако последующее добавление в почву микроэлементов позволило компенсировать токсическое воздействие кадмия. Например, в случае с цинком (рис. 1а) добавление этого катиона в дозе 50 мг/кг заметно улучшало состояние растений, а при больших дозах (100 и 150 мг/кг) удавалось практически полностью компенсировать воздействие стресса.
Иное наблюдали при внесении кадмия совместно с медью. В случае, если кадмий вносили в концентрации 25 мг/кг (рис. 1б) практически все изученные концентрации меди вызывали ослабление токсического стресса, и различия с контролем визуально не обнаруживали.
В то же время при внесении в почву кадмия в концентрации 45 мг/кг медь иным образом взаимодействовала с этим поллютантом. При минимальной дозе меди (50 мг/кг) уровень токсического стресса снижался почти до контрольного уровня, но при дальнейшем возрастании дозы меди состояние растений ухудшалось. При внесении дозы 100 мг Cu/кг растения демонстрировали заметное угнетение, но все же могли еще продолжать рост и развитие, но при внесении 200 мг Cu/кг наблюдали полное угнетение растений.
Таким образом, медь показала себя как более токсичный элемент, чем цинк. Последний позволял уменьшать вызываемый кадмием токсический стресс, но в случае с медью это было возможно лишь при внесении половинной дозы кадмия. При той дозе кадмия (45 мг/кг), которую в сочетании с цинком успешно переносили растения, воздействие меди компенсировало влияние кадмия лишь при минимальной дозе Cu2+ (50 мг/кг), а по мере роста дозы оба элемента оказывали уже только токсическое воздействие.
Морфометрические показатели. На рис. 2 приведены количественные данные, которые отражают влияние кадмия в сочетании с медью и цинком на морфометрические показатели ячменя сорта Зазерский 85.
Рис. 2. Влияние кадмия в сочетании с цинком и медью на высоту, площадь листьев и биомассу растений ячменя сорта Зазерский 85.
Наиболее значимые эффекты наблюдали при совместном внесении цинка и кадмия. Cd2+ оказывал угнетающее воздействие на растения ячменя, хотя в рассматриваемой дозе (45 мг/кг) еще не вызывал тяжелого стресса. Внесение в почву цинка позволило снизить это воздействие. По мере роста концентрации цинка наблюдали увеличение всех 3-х показателей: высоты растений, площади листьев, биомассы. Уже при внесении цинка 50 мг/кг эти показатели практически возвращались к контрольному уровню, а при дозах 100 мг/кг и особенно 150 мг/кг отмечена их стимуляция. Самым наглядным показателем оказалась биомасса, она по мере роста концентрации цинка увеличивалась практически линейно, составляя при максимальной дозе цинка 178% от контроля. В меньшей степени на воздействие цинка среагировала высота растений. При внесении дозы цинка 50 мг/кг она практически не изменялась, но начинала постепенно возрастать при увеличении доз цинка. При дозе 100 мг/кг высота растений приближалась к контрольному уровню, и на 120% превышала его в варианте с внесением дозы цинка 150 мг/кг. Добавление в почву цинка в целом стимулировало и увеличение площади листьев. При дозе цинка 50 мг/кг площадь листьев увеличивалась на 124% от контроля, а увеличение дозы цинка в 2 раза, до 100 мг/кг практически никак не влияло на площадь листьев, хотя при максимальной дозе цинка площадь листьев снова возрастала до 145% от контроля. Таким образом, цинк не только позволял сгладить токсический стресс, вызванный кадмием, но и стимулировал рост и развитие растений.
Совершенно иную закономерность наблюдали при внесении совместно с кадмием меди. Эффекты, оказываемые обоими ТМ на растения ячменя, различались в зависимости от концентрации кадмия. Как было установлено в нашем предшествующем исследовании [16, 17], кадмий в дозе 25 мг/кг не вызывал существенного угнетения процессов роста и развития ячменя. Если в почву, в которую уже был внесен кадмий в такой концентрации, добавляли различные дозы меди, то это в целом существенно не изменяло ситуацию. При применении дозы меди 50 мг/кг все 3 морфометрических показателя оставались примерно на уровне контроля. Когда концентрация меди увеличивалась в 2 раза, до 100 мг/кг, высота растений и площадь листьев несколько сокращались, но не уменьшились значимо относительно контроля, в то же время биомасса ячменя даже возрастала, но не существенно. Так же и при максимальной дозе меди (200 мг/кг) показатели менялись не сильно, лишь площадь листьев сокращалась до 70% от контроля. Таким образом, доза кадмия 25 мг/кг была явно недостаточной для развития каких-либо значимых изменений, это касалось как одного кадмия, так и его сочетания с медью.
Куда более интересные данные удалось получить при совместном внесении дозы кадмия 45 мг/кг и различных доз меди. Минимальная доза меди (50 мг/кг) позволяла устранить воздействие токсического стресса и способствовала стимуляции развития растений. Изученные три морфометрических показателя возрастали на 116–141%. Однако по мере увеличения дозы меди эффект стимуляции роста постепенно исчезал, и снова развивался токсический стресс. Например, при внесении меди в дозе 100 мг/кг высота растений и биомасса сокращались до примерно контрольного уровня, а площадь листьев уменьшилась более значительно, до 63% от контроля. При максимальной дозе меди наступало полное угнетение роста и развития растений, довольно много семян даже не проросли, другие растения погибали на стадии кущения. В целом морфометрические показатели уменьшились при этом до 44–33% от контроля.
На основе анализа ответа растений ячменя на совместное действие кадмия, цинка и меди по морфометрическим показателям можно сделать такие выводы. Медь проявила себя как более токсичный металл, чем цинк. Добавление цинка вело не только к сглаживанию токсического стресса, вызванного кадмием, но и к стимуляции роста и развития. При этом, чем больше была доза цинка, тем более ярко проявлялся стимулирующий эффект. Вероятно, его возникновение связано с тем, что цинк, будучи микроэлементом, способствовал активации всех защитных механизмов растительного организма, при этом его собственная токсичность была несущественной. Медь при аналогичной концентрации кадмия воздействовала совершенно иначе. При минимальной дозе меди также отмечали стимуляцию, но при возрастании концентрации меди морфометрические показатели возвращались к контрольному уровню, а далее развивалось глубокое угнетение растений. Логично предположить, что в последнем случае имело место совместное токсическое воздействие 2-х ТМ, когда роль меди, как микроэлемента, была уже несущественной. Если же кадмий вносили в почву в половинной концентрации, то никаких значимых эффектов не наблюдали: защитные механизмы растительного организма успешно справлялись с преодолением стресса, но и стимулирующего эффекта также не отмечали.
Оценка содержания элементов в почве. В табл. 2 приведены данные оценки содержания элементов в почвенном растворе на 30-е сут эксперимента, а также влажность и pH почвы. Кроме того, в табл. 3 дано содержание элементов в самой почве. Такие исследования были проведены с целью проконтролировать точность внесения в почву ТМ и оценить их количества, доступные для растений, а значит те, которые могли бы спровоцировать развитие наблюдаемых эффектов.
Таблица 2. Влажность почвенных проб и средняя концентрация ионов металлов в почвенном растворе
Вариант | Гигроскопическая влажность, % | рН | Концентрация, мг/л | |||||||||
Cd | Cu | Fe | Mn | Sr | Zn | Ca | K | Mg | Na | |||
Контроль | 21.1 ± 5.3 | 6.31 ± 3.14 | 0.08 ± 0.37 | 0.05 ± 0.28 | 0.32 ± 0.73 | 5.80 ± 3.02 | 1.13 ± 1.37 | 0.16 ± 0.52 | 34.9 ± 6.2 | 0.90 ± 1.22 | 1.57 ± 1.61 | 1.06 ± 1.33 |
Zn0Cd45 | 19.2 ± 5.1 | 5.44 ± 2.93 | 5.28 ± 2.89 | 0.06 ± 0.31 | 0.44 ± 0.85 | 34.7 ± 6.1 | 3.57 ± 2.39 | 0.28 ± 0.68 | 130 ± 8 | 18.1 ± 5.0 | 6.57 ± 3.20 | 2.96 ± 2.19 |
Zn50Cd45 | 13.3 ± 4.4 | 5.52 ± 2.95 | 2.52 ± 2.02 | 0.14 ± 0.49 | 0.82 ± 1.17 | 12.9 ± 4.3 | 1.78 ±1.71 | 2.59 ± 2.05 | 55.8 ± 6.4 | 4.77 ± 2.75 | 2.53 ± 2.03 | 1.65 ± 1.65 |
Zn100Cd45 | 11.7 ± 4.1 | 5.56 ± 2.96 | 1.27 ± 1.45 | 0.10 ± 0.41 | 1.56 ± 1.60 | 9.63 ± 3.81 | 1.08 ± 1.34 | 2.07 ± 1.84 | 36.4 ± 6.2 | 18.6 ± 5.0 | 2.02 ± 1.82 | 2.45 ± 2.00 |
Zn150Cd45 | 14.1 ± 4.5 | 6.22 ± 3.12 | 1.07 ± 1.33 | 0.06 ± 0.32 | 0.79 ± 1.14 | 16.1 ± 4.8 | 1.75 ± 1.69 | 2.30 ± 1.93 | 57.8 ± 6.4 | 3.33 ± 2.32 | 3.53 ± 2.38 | 2.33 ± 1.95 |
Cu50Cd25 | 19.7 ± 5.1 | 6.13 ± 3.10 | 0.92 ± 1.23 | 0.47 ± 0.88 | 0.33 ± 0.74 | 8.69 ± 3.64 | 1.74 ± 1.69 | 0.22 ± 0.60 | 66.7 ± 6.1 | 2.91 ± 2.17 | 3.17 ± 2.26 | 2.27 ± 1.92 |
Cu100Cd25 | 18.1 ± 5.0 | 5.87 ± 3.03 | 3.67 ± 2.43 | 1.73 ± 1.68 | 0.12 ± 0.44 | 8.92 ± 3.68 | 5.21 ± 2.87 | 0.29 ± 0.69 | 177 ± 15 | 20.4 ± 5.2 | 10.2 ± 3.9 | 4.23 ± 2.60 |
Cu200Cd25 | 19.8 ± 5.1 | 4.99 ± 2.81 | 6.03 ± 3.07 | 3.18 ± 2.27 | 0.51 ± 0.92 | 15.3 ±4.7 | 16.8 ± 4.8 | 1.80 ± 1.71 | 487 ± 56 | 121 ± 7 | 31.8 ± 6.0 | 18.4 ± 5.0 |
Cu50Cd45 | 14.7 ± 4.6 | 5.28 ± 2.89 | 2.38 ± 1.97 | 0.57 ± 0.97 | 0.72 ± 1.09 | 13.6 ± 4.4 | 2.57 ± 2.04 | 0.47 ± 0.88 | 102 ± 2 | 18.9 ± 5.1 | 6.11 ± 3.09 | 4.78 ± 2.75 |
Cu100Cd45 | 16.9 ± 4.8 | 5.39 ± 2.91 | 3.03 ± 2.21 | 1.05 ± 1.32 | 0.56 ± 0.97 | 49.2 ± 6.5 | 3.15 ± 2.26 | 0.56 ± 0.96 | 129 ± 8 | 10.9 ± 4.0 | 8.41 ± 3.58 | 5.16 ± 2.86 |
Cu200Cd45 | 15.9 ± 4.7 | 5.23 ± 2.87 | 24.8 ± 5. 6 | 13.1 ± 4.4 | 0.19 ± 0.57 | 130 ± 8 | 6.13 ± 3.10 | 0.46 ± 0.87 | 248 ± 25 | 15.5 ± 4.7 | 14.7 ± 4.6 | 9.87 ± 3.85 |
Таблица 3. Содержание различных элементов в почве при 3-х способах экстракции, мг/кг
Ацетатно-аммонийный буфер с ЭДТА | ||||||||||
Вариант | Cd | Cu | Fe | Mn | Sr | Zn | Ca | K | Mg | |
Контроль | 0.47 ± 0.88 | 1.33 ± 1.48 | 480 ± 55 | 3.89 ± 7.11 | 214 ± 20 | 3.26 ± 2.29 | 1480 ± 0.3 | 113 ± 5 | 224 ± 1 | |
Zn0Cd45 | 27.1 ± 5.7 | 1.24 ± 1.43 | 366 ± 40 | 3.93 ± 5.20 | 157 ± 12 | 2.46 ± 2.00 | 1570 ± 0.3 | 70.3 ± 5.9 | 120 ± 0.8 | |
Zn50Cd45 | 31.3 ± 6.0 | 40.0 ± 1.3 | 456 ± 52 | 4.83 ± 6.72 | 179 ± 15 | 28.4 ± 5.8 | 1830 ± 0.8 | 72.8 ± 5.7 | 88.4 ± 0.7 | |
Zn100Cd45 | 23.3 ± 5.5 | 1.19 ± 1.40 | 357 ± 39 | 3.75 ± 5.06 | 154 ± 12 | 38.7 ± 6.3 | 1730 ± 0.8 | 144 ± 10 | 102 ± 1 | |
Zn150Cd45 | 30.7 ± 6.0 | 3.83 ± 2.48 | 514 ± 60 | 5.59 ± 7.68 | 218 ± 21 | 70.5 ± 5.9 | 2020 ± 0.8 | 83.1 ± 4.8 | 93.1 ± 0.6 | |
Cu50Cd25 | 18.7 ± 5.0 | 38.3 ± 6.3 | 464 ± 53 | 5.56 ± 6.84 | 202 ± 19 | 3.91 ± 2.50 | 1360 ± 0.3 | 221 ± 21 | 50.0 ±2.7 | |
Cu100Cd25 | 20.6 ± 5.2 | 83.1 ± 4.8 | 510 ± 59 | 4.66 ± 7.62 | 208 ± 19 | 5.94 ± 3.05 | 1720 ± 0.4 | 90.3 ± 3.8 | 101 ± 0.5 | |
Cu200Cd25 | 18.8 ± 5.0 | 117 ± 5.7 | 382 ± 42 | 4.53 ± 5.47 | 172 ± 14 | 6.02 ± 3.07 | 1730 ± 0.4 | 53.1 ± 6.4 | 67.2 ± 0.8 | |
Cu50Cd45 | 41.5 ± 6.4 | 49.0 ± 6.5 | 619 ± 73 | 6.75 ± 9.44 | 286 ± 30 | 4.04 ± 2.54 | 1670 ± 0.3 | 70.0 ± 5.9 | 66.3 ± 0.8 | |
Cu100Cd45 | 33.6 ± 6.1 | 78.5 ± 5.3 | 545 ± 64 | 6.00 ± 8.20 | 261 ± 26 | 4.18 ± 2.58 | 1390 ± 0.3 | 129 ± 8 | 37.2 ± 1.0 | |
Cu200Cd45 | 36.9 ± 6.2 | 144 ± 10 | 503 ± 58 | 6.16 ± 7.50 | 245 ± 24 | 7.86 ± 3.47 | 1660 ± 0.5 | 53.1 ± 6.4 | 55.3 ± 0.8 | |
Ацетатно-аммонийный буфер с ЭДТА | ||||||||||
Вариант | Cd | Cu | Fe | Mn | Sr | Zn | Ca | K | Mg | Na |
1М HCl | ||||||||||
Контроль | 1.23 ± 0.84 | 1.87 ± 1.75 | 1590 ± 199 | 295 ± 31 | 60.1 ± 6.3 | 6.31 ± 3.14 | 2270 ± 290 | 540 ± 63 | 342 ± 37 | 3270 ± 420 |
Zn0Cd45 | 35.9 ± 6.2 | 3.00 ± 2.20 | 1490 ± 190 | 256 ± 26 | 40.3 ± 6.3 | 5.86 ± 3.03 | 2490 ± 310 | 578 ± 68 | 325 ± 35 | 3340 ± 420 |
Zn50Cd45 | 35.4 ± 6.2 | 2.51 ± 2.02 | 1480 ± 180 | 228 ± 22 | 53.3 ± 6.4 | 37.3 ± 6.2 | 2490 ± 320 | 543 ± 63 | 312 ± 33 | 3220 ± 410 |
Zn100Cd45 | 33.7 ± 6.1 | 1.72 ± 1.68 | 1400 ± 170 | 229 ± 22 | 56.0 ± 6.4 | 64.9 ± 6.2 | 2800 ± 360 | 541 ± 63 | 342 ± 37 | 3240 ± 410 |
Zn150Cd45 | 38.5 ± 6.3 | 1.93 ± 1.77 | 1440 ± 180 | 241 ± 24 | 64.4 ± 6.2 | 121 ± 6.6 | 2720 ± 340 | 488 ± 56 | 326 ± 35 | 3240 ± 410 |
Cu50Cd25 | 25.6 ± 5.6 | 33.9 ±6.1 | 1210 ± 150 | 203 ± 19 | 71.5 ± 5.8 | 5.89 ± 3.04 | 2240 ± 280 | 465 ± 53 | 292 ± 31 | 3110 ± 390 |
Cu100Cd25 | 23.6 ± 5.5 | 91.6 ± 3.6 | 1610 ± 200 | 288 ± 30 | 43.9 ± 6.4 | 7.31 ± 3.36 | 2450 ± 310 | 542 ± 63 | 327 ± 35 | 3150 ± 400 |
Cu200Cd25 | 25.0 ± 5.6 | 155 ± 12 | 1330 ± 170 | 242 ± 24 | 43.5 ± 6.4 | 6.07 ± 3.08 | 2800±360 | 503 ± 58 | 314 ± 33 | 2890 ± 370 |
Cu50Cd45 | 41.9 ±6.4 | 47.2 ± 6.5 | 1580 ± 200 | 321 ± 34 | 42.3 ± 6.4 | 10.1 ± 3.9 | 2700 ± 340 | 469 ± 54 | 356 ± 39 | 2990 ± 380 |
Cu100Cd45 | 42.7 ± 6.4 | 86.6 ± 4.4 | 1700 ± 210 | 345 ± 37 | 75.8 ± 5.5 | 6.98 ± 3.29 | 2680 ± 340 | 494 ± 57 | 339 ± 37 | 3090 ± 390 |
Cu200Cd45 | 41.6 ± 6.4 | 164 ± 13 | 1470 ± 180 | 296 ± 31 | 50.5 ±6.5 | 10.9 ± 4.0 | 2780 ± 350 | 494 ± 57 | 326 ± 35 | 3040 ± 390 |
HNO3 1: 1 | ||||||||||
Контроль | 0.70 ± 1.07 | 3.62 ± 2.41 | 4930 ± 630 | 365 ± 40 | 59.0 ± 6.4 | 17.0 ± 4.9 | 2380 ± 300 | 761 ± 92 | 1040 ± 130 | 2910 ± 370 |
Zn0Cd45 | 33.0 ± 6.1 | 4.14 ± 2.57 | 6060 ± 780 | 409 ± 463 | 82.6 ± 4.9 | 20.4 ± 5.2 | 2600 ± 330 | 866 ± 105 | 1240 ± 150 | 2710 ± 340 |
Zn50Cd45 | 31.7 ± 6.0 | 4.00 ± 2.53 | 5390 ± 690 | 317 ± 34 | 91.8 ± 3.5 | 51.5 ± 6.5 | 2540 ± 320 | 796 ± 96 | 1110 ± 140 | 2650 ± 340 |
Zn100Cd45 | 27.1 ± 5.7 | 3.66 ± 2.42 | 4750 ± 610 | 289 ± 30 | 70.0 ± 5.9 | 72.0 ± 5.8 | 2490 ± 310 | 769 ± 93 | 1000 ± 120 | 2680 ± 340 |
Zn150Cd45 | 28.4 ± 5.8 | 4.47 ± 2.67 | 5370 ± 690 | 399 ± 45 | 75.6 ± 5.5 | 80.1 ± 5.2 | 2470 ± 310 | 685 ± 82 | 991 ± 121 | 2570 ± 330 |
Cu50Cd25 | 18.8 ± 5.0 | 45.2 ± 6.4 | 5490 ± 700 | 347 ± 38 | 36.0 ± 6.2 | 20.4 ± 5.2 | 2520 ± 320 | 699 ± 84 | 1040 ± 130 | 2720 ± 340 |
Cu100Cd25 | 23.0 ± 5.4 | 101 ± 1 | 6270 ± 800 | 424 ± 48 | 62.2 ± 6.3 | 21.4 ± 5.3 | 2540 ± 320 | 770 ± 93 | 1160 ± 140 | 2800 ± 360 |
Cu200Cd25 | 23.5 ± 5.5 | 173 ± 15 | 5640 ± 720 | 426 ± 48 | 80.3 ± 5.1 | 19.3 ± 5.1 | 2830 ± 360 | 798 ± 96 | 1050 ± 130 | 2840 ± 360 |
Cu50Cd45 | 39.4 ± 6.3 | 53.5 ± 6.4 | 6130 ± 780 | 553 ± 65 | 70.6 ± 5.9 | 20.9 ± 5.2 | 2660 ± 340 | 809 ± 98 | 1160 ± 140 | 2860 ± 360 |
Cu100Cd45 | 36.7 ± 6.2 | 96.0 ± 2.5 | 6390 ± 820 | 441 ± 50 | 75.8 ± 5.5 | 25.7 ± 5.6 | 2780 ± 350 | 841 ± 102 | 1220 ± 150 | 2880 ± 360 |
Cu200Cd45 | 25.5 ± 5.6 | 110 ± 4 | 4110 ± 520 | 284 ± 30 | 97.1 ± 2.2 | 14.0 ± 4.5 | 2350 ± 300 | 659 ± 78 | 869 ± 105 | 2810 ± 360 |
Данные табл. 2 и 3 показали, что концентрации внесенных в почву ТМ, которые находились в несвязанном состоянии, в целом не превышали те, которые были внесены в почву или даже оказались несколько меньше. Концентрация ТМ в почвенном растворе в большинстве вариантов находилась на достаточно низком уровне, потому, вероятно, стрессовая нагрузка оказалась не слишком высокой (рис. 1, 2). Только в варианте Cu200Cd45 концентрация кадмия и меди в почвенном растворе была достаточно высокая, что и вызывало глубокое угнетение растений.
По мере роста доз ТМ отмечено возрастание в почвенном растворе концентраций таких элементов, как калий, кальций, марганец, а в некоторых случаях – стронций. Это могло свидетельствовать об угнетении функций ризодермы корней при выбранных концентрациях ТМ. Поглощение указанных ионов (K+, Ca2+, Mn, Sr2+) нарушалось, и они накапливались в почвенном растворе. Наиболее отчетливо это проявлялось при внесении максимальной дозы меди (200 мг/кг), в меньшей степени – одного кадмия, и довольно слабо – цинка.
Содержание в почве всех элементов находилось на фоновых уровнях для дерново-подзолистой почвы Нечерноземной зоны средней полосы [7]. В целом содержание в почве ионов металлов (не внесенных дополнительно) оставалось стабильным при всех дозах загрязнения ТМ.
Биохимические параметры. Действие повреждающих агентов вызывает включение у живых организмов механизмов защиты. Так, ТМ способствуют нарушению функционирования ферментативных систем, индуцируют образование перекисных и свободнорадикальных соединений. Когда эти соединения реагируют со структурными и ферментативными системами клеток, то возникают обширные повреждения в клеточных структурах, нарушается работа ферментативных циклов метаболизма. Все эти процессы вместе понимаются под общим термином оксидативный стресс [4, 5, 18].
Одним из маркеров интенсивности окислительного стресса является малоновый диальдегид, образующийся при окислении липидов плазмалеммы свободными радикалами, образование которых может индуцироваться катионами ТМ. Это обстоятельство делает данный метаболит важным индикатором состояния растительного организма. Чем больше его содержание, тем о более остром стрессе можно говорить, который потом проявляется в визуально различимом угнетении процесса роста и развития растений.
Результаты количественной оценки содержания МДА в тканях растений ячменя представлены на рис. 3.
Рис. 3. Содержание МДА в тканях 30-суточных растений ячменя сорта Зазерский 85.
Можно отметить, что при внесении в почву одного кадмия в дозе 45 мг/кг содержание МДА практически не отличалось от контроля, и даже было несколько меньше такового. Это свидетельствовало о том, что растения еще не испытывали серьезного окислительного стресса. Вероятно, механизмы селективной адсорбции и транспорта ионов при такой дозе поллютанта достаточно эффективно справлялись с задачей ограничения проникновения нежелательных ионов в клетки.
Иное явление наблюдали при добавлении в почву различных доз микроэлементов. Внесение цинка изменяло окислительный статус растений ячменя несущественно. При минимальной дозе цинка уровень МДА несколько возрастал, но в пределах ошибки, и в целом он не отличался от контроля. При дозе цинка 100 мг/кг содержание МДА еще более возрастало, достигая уровня 116% от контрольного, но при 150 мг/кг снова снижалось. Таким образом, цинк не оказывал заметного воздействия на уровень перекисного окисления липидов.
По мере добавления в почву, уже содержавшую кадмий в дозе 25 мг/кг, все возрастающих доз меди содержание МДА становилось больше, чем в контроле и при внесении цинка, но не существенно. В целом наблюдали случайные изменения этого показателя, не связанные с дозой меди.
Наиболее показательными были результаты, полученные в вариантах с внесением кадмия 45 мг/кг. При дозах меди 100 и 150 мг/кг наблюдаемая закономерность практически не отличалась от таковой для половинной дозы кадмия (25 мг/кг). Однако при дозе меди 200 мг/кг отмечали резкий рост содержания МДА (225% от контроля). Вероятно, при совместном воздействии кадмия и меди в такой концентрации барьеры, препятствующие поступлению ТМ в клетки, уже не справлялись со своей задачей, и происходил окислительный взрыв. Это, вместе с другими аспектами развития токсического стресса, и приводило к подавлению роста и развития растительного организма.
На основе анализа данных содержания МДА можно сделать выводы, что внесение ТМ в большинстве выбранных доз не оказывало существенного воздействия на уровень перекисного окисления липидов плазмалемм вне зависимости от состава внесенной в почву смеси металлов. Вероятно, барьерные механизмы, контролирующие поступление и транспорт ионов в растительном организме, достаточно эффективно препятствовали поступлению ионов ТМ в клетки, и потому окислительный стресс не развивался. Или, как вариант, окислительный стресс удавалось ослабить благодаря синтезу антиоксидантов. Лишь при наибольших дозах меди и кадмия антиокислительные системы растительного организма не справлялись со стрессовой нагрузкой, что и приводило к резкому возрастанию содержания МДА, и как итог, к глубокому угнетению растений.
Учитывая полученные результаты, было логично проанализировать общее содержание низкомолекулярных антиоксидантов (таких как аскорбиновая кислота, полифенолы, флавоноиды и др.) в тканях растений ячменя (рис. 4).
Рис. 4. Общее содержание низкомолекулярных антиоксидантов в тканях растений ячменя сорта Зазерский 85.
Полученные результаты отличались в зависимости от состава и концентрации внесенных в почву металлов. При внесении одного кадмия в дозе 45 мг/кг содержание антиоксидантов возрастало в среднем до 120% от контроля. Это говорит о том, что в тканях растений все же наблюдался повышенный выход свободных радикалов (хотя это и не приводило к значимому росту содержания МДА (рис. 3)), на что организм отвечал повышенным синтезом антиоксидантов. Добавление в почву цинка практически не меняло величины этого показателя, только при дозе цинка 150 мг/кг он снижался до 65% от контроля. Такие результаты свидетельствовали о том, что цинк, обладая низкой токсичностью, не вызывал развития окислительного стресса в диапазоне доз 50–150 мг/кг. Поэтому при внесении цинка не наблюдали ни угнетения роста и развития растений, ни повышенного образования МДА. Снижение количества антиоксидантов при максимальной дозе цинка можно увязать с развитием стимулирующего эффекта при действии данного ТМ в изученной концентрации (рис. 1, 2). Вероятно, окислительный стресс купировался какими-то иными механизмами, активно работающими в условиях возросшей интенсивности метаболизма.
Добавление в почву меди влияло на выработку антиоксидантов иначе. В случае внесения кадмия в дозе 25 мг/кг при дозах меди 50 и 100 мг/кг наблюдали закономерность, аналогичную воздействию цинка: содержание антиоксидантов возрастало до 124% от контроля. При внесении дозы меди 200 мг/кг содержание антиоксидантов возрастало относительно контроля в среднем на 148%. Судя по всему, это было связано с постепенным развитием окислительного стресса, хотя и в не слишком большой степени, поскольку морфометрические показатели растений при этой дозе уменьшались несущественно (рис. 2) и содержание МДА практически не менялось (рис. 3).
При внесении кадмия в дозе 45 мг/кг описанные тенденции становились более отчетливыми. При дозе меди 50 мг/кг содержание антиоксидантов практически не отличалось от контроля (93%). Однако эта величина была заметно меньше, чем при той же дозе меди, но половинной – кадмия (25 мг/кг). Такую ситуацию можно увязать с наличием стимуляции роста и развития растений в этом варианте (рис. 1), в то же время при половинной дозе кадмия стимуляция не развивалась. Как и в случае с максимальной дозой цинка, вероятно, стимуляция была связана с активизацией метаболических процессов. В подобной ситуации окислительный стресс или не развивался, или ослаблялся благодаря иным механизмам (например, работе антиокислительных ферментов). При дозе меди 100 мг/кг содержание антиоксидантов несколько возрастало (106% от контроля), но не существенно, снова оставаясь меньше варианта с половинной дозой кадмия и такой же – меди (127%). В этом варианте стимулирующий эффект исчезал, но и угнетения еще не развивалось (рис. 1, 2). Активность метаболических процессов уже не способствовала устранению воздействия стресса, потому бóльшую роль начинали играть антиоксиданты. Наконец, при максимальной дозе меди (200 мг/кг), когда развивалось глубокое угнетение растений, наблюдали максимальное накопление антиоксидантов (171% от контроля). Высокие уровни МДА в таком варианте (рис. 3) свидетельствовали о развитии состояния окислительного взрыва, для преодоления которого защитные системы организма стремились к усилению синтеза антиоксидантов.
Вместе с показателями, прямо связанными с ответом растительного организма на средового стресс, было интересно оценить и другие параметры, которые отражают общее состояние организма, его обмена и накопления различных биологически значимых веществ, например, белков. Известно, что ТМ способны нарушать азотистый обмен растений [3], поэтому оценка содержания белков может приоткрыть эту сторону ответа организма на стресс. Можно предположить, что в тех случаях, где наблюдали стимуляцию роста и развития растений, будет отмечаться повышенный синтез белков, а в пробах с угнетенными растениями, наоборот – пониженный. Добавление микроэлементов способно также в разной степени изменить полученную картину.
Диаграмма, отражающая содержание общего сырого протеина в исследованных вариантах, представлена на рис. 5.
Рис. 5. Общее содержание сырого протеина в тканях растений ячменя сорта Зазерский 85.
Показано, что внесение в почву как одного кадмия, так и его смеси с цинком или медью не оказывало существенного влияния на синтез белков в растительном организме. При добавлении одного кадмия содержание сырого протеина несколько возрастало по сравнению с контролем, но не существенно (108% от контроля). Добавление цинка практически не оказывало влияния на этот процесс, а при максимальной его дозе (150 мг/кг) содержание белка несколько снижалось, но было не меньше контроля (101%). Как уже говорилось ранее, цинк в такой дозе вызывал развитие стимуляции жизненных процессов растений ячменя, что и привело к увеличению синтеза белков.
В вариантах, где вносили вместе с кадмием медь, содержание белков практически не отличалось от такового в вариантах, где в почву был добавлен цинк. При дозе кадмия 25 мг/кг наблюдали некоторые изменения содержания протеина, но в пределах контроля (99–107% от контроля). При дозе кадмия 45 мг/кг общее содержание протеина оказалось даже больше, чем при использовании половинной дозы кадмия (до 119% от контроля при дозе меди 200 мг/ кг), однако во всех вариантах отличалось несущественно (109–119%).
Таким образом, можно утверждать, что содержание белков нельзя рассматривать как надежный показатель оценки уровней средового стресса, развивающегося в растительном организме при воздействии ТМ. Даже у растений, демонстрирующих глубокое угнетение, содержание протеина было больше контроля. Полученные данные значимо не различались в зависимости от состава внесенных в почву смесей солей ТМ и их концентрации. В то же время отмечено, что внесение в почву ТМ способствовало некоторому увеличению синтеза протеина во всех рассмотренных вариантах.
Структура урожая. Особый интерес представляют результаты, полученные в конце вегетации растений ячменя. На их основе можно сделать вывод о том, сохраняется ли устойчивость или чувствительность каждого сорта на протяжении всей жизни растений, и как эти особенности сказываются на хозяйственно ценных качествах ячменя.
В целом анализ структуры урожая позволил получить достаточно интересные данные, отражающие особенности совместного действия ТМ на растения ячменя. Отмечено, что внесение в почву кадмия в дозе 45 мг/кг приводило к снижению продуктивности растений. Например, масса соломы сокращалась примерно до 68% от контроля, а масса зерна уменьшалась весьма значительно – до 20%. Такой важный показатель, характеризующий хозяйственную ценность полученного зерна – масса 1000 зерен – сокращался не столь существенно, до 81% от контроля. Влияние одного ТМ – кадмия – вело к существенному уменьшению продуктивности (рис. 6).
Рис. 6. Оценка структуры урожая ячменя при совместном воздействии ТМ.
Внесение совместно с кадмием других ТМ заметно изменяло наблюдавшуюся картину, причем в зависимости от того, какой именно ТМ и в какой дозе использовали (цинк или медь). Внесение цинка в минимальной дозе (50 мг/кг) приводило к увеличению массы соломы (до 79% от контроля), но масса зерна сокращалась еще больше, чем в случае с одним кадмием (до 7%), масса 1000 зерен уменьшалась, но не существенно (73%). При дальнейшем увеличении дозы цинка до 100 мг/кг удавалось до определенной степени ослабить токсическое воздействие кадмия. Масса соломы возвращалась к близким к контролю величинам (96%), возрастала и масса 1000 зерен (85%), но масса зерна хотя и увеличивалась, но не столь существенно (до 36%). Наблюдаемый эффект продолжал развиваться и при максимальной дозе цинка (150 мг/кг). При такой концентрации цинка масса соломы, однако, до некоторой степени сокращалась (до 77%), но оставалась на уровне несколько более высоком, чем при внесении одного кадмия. Масса 1000 зерен изменялась несущественно (88%), а масса зерна возрастала, достигая 49% от контроля. Таким образом, можно утверждать, что цинк, как ценный микроэлемент, позволяет растительному организму преодолеть последствия стресса, вызванные внесением в почву токсического катиона Cd2+, при этом использованные дозы цинка не столь велики, чтобы сами по себе спровоцировать стресс. Главным образом воздействие цинка касается развития вегетативной биомассы, в то время как возможности растения к формированию семенного потомства оставались ограниченными. Наблюдали формирование большого количества пустых колосьев, чего не отмечали в контроле.
Иную тенденцию наблюдали при внесении в почву меди совместно с кадмием. В случае, если использовали дозу кадмия 25 мг/кг, то при минимальной концентрации меди (50 мг/кг) масса соломы оказалась близкой к той, что была получена в варианте с внесением только одного кадмия в дозе 45 мг/кг (65% от контроля). Похожая величина была отмечена для массы зерна (66%), а масса 1000 зерен находилась на близком к контролю уровню (93%). Увеличение дозы меди до 100 мг/кг практически не отражалось на массе соломы (66%), но позволяло в большей степени сократить токсическое воздействие кадмия на массу зерна (78% от контроля), при этом масса 1000 зерен демонстрировала явную стимуляцию развития растений – до 108% от контроля. При дальнейшем увеличении дозы меди (200 мг/кг) стимулирующий эффект на растения исчезал, и медь начинала оказывать токсическое воздействие. Масса соломы уменьшалась до 52% от контроля, масса зерна – до 57%, масса 1000 зерен – до 82%. Таким образом, величины изученных показателей оказывались меньше, чем при минимальной дозе меди, но в пределах ошибки. Следует отметить, что при максимальной дозе меди удалось получить большее количество зерна, чем при максимальной дозе цинка, хотя вегетативная масса была меньше. При действии меди на растения почти не развивалось пустых колосьев, хотя качество семян и ухудшалось (они становились мельче, приобретали деформации, медленнее созревали) по мере роста концентрации меди.
При рассмотрении варианта с внесением в почву дозы кадмия 45 мг/кг сначала стимулирующее, а потом и токсическое воздействие меди проявилось более ярко. При минимальной дозе меди (50 мг/кг) масса соломы мало отличалась от таковой, полученной при внесении одного кадмия (64% от контроля). В то же время отмечено явно положительное воздействие меди на формирование зерна: масса его возрастала по сравнению с вариантом без внесения меди до 76% от контроля (т. е. почти в 4 раза). Масса 1000 зерен оказывалась близкой к контрольной величине (95%). При увеличении дозы меди до 100 мг/кг стимулирующий эффект данного ТМ исчезал, сменяясь токсическим. Масса соломы уменьшалась до 41% от контроля, масса зерна – до 27%, масса 1000 зерен – до 81%. При максимальной дозе меди 200 мг/кг отмечено полное угнетение процессов роста и развития растений ячменя. Урожая в этом варианте получить практически не удалось, в целом растения были малорослыми и слабыми, некоторые из них погибли.
Таким образом, проанализировав совместное с кадмием воздействие меди и цинка на структуру урожая растений ячменя, можно сделать следующие выводы. И медь, и цинк, будучи необходимыми для растительного организма микроэлементами, способны уменьшать вызываемые кадмием эффекты токсического стресса. Однако их воздействие неодинаково. Цинк способствовал развитию вегетативной биомассы, но на формирование урожая семян оказывал меньшее влияние. Масса зерна по мере роста концентрации цинка увеличивалась, но все равно оставалась значительно меньше контроля. Наблюдалось появление большого количества пустых колосьев, ухудшалось созревание семян.
Внесение меди оказывало стимулирующее действие и на развитие вегетативной биомассы, и урожая семян, но при этом сама медь оказывалась более опасным ТМ, чем цинк. Потому наиболее отчетливо ее стимулирующее действие проявлялось при меньшей (25 мг/кг) дозе кадмия, а при большей (45 мг/ кг) быстро развивалось глубокое угнетение растений. Хотя можно отметить, что при внесении меди удавалось в целом получить больший урожай, чем в случае с цинком, и пустых колосьев встречалось немного. Тем не менее, учитывая наблюдаемые закономерности, логично предположить, что в настоящем исследовании еще не был полностью раскрыт стимулирующий потенциал цинка, при дальнейшем увеличении его дозы удалось бы в большей степени сократить воздействие вызванного кадмием стресса, еще не достигнув того предела, за которым оба ТМ проявляли себя исключительно как токсиканты.
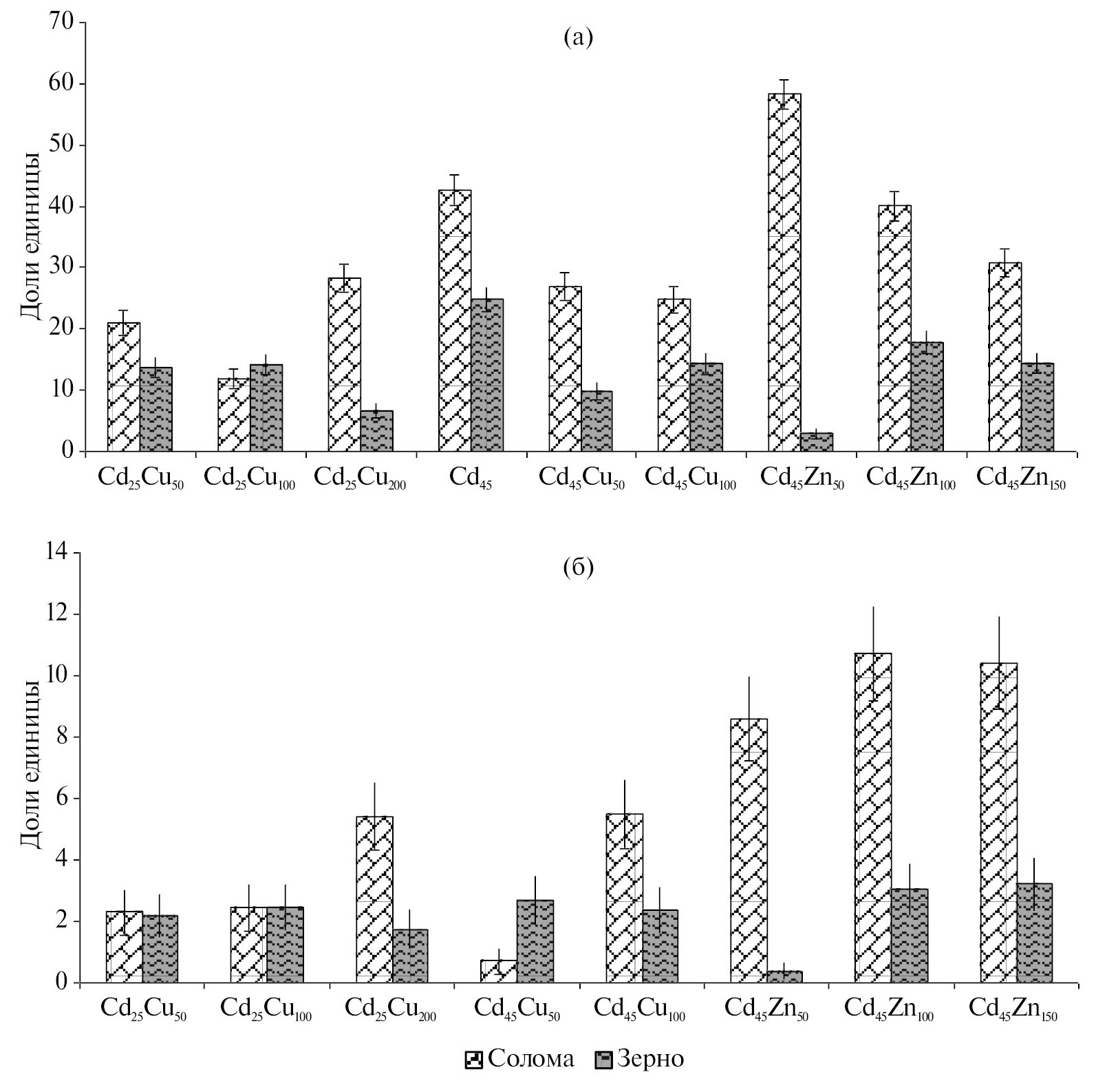
Содержание ТМ в тканях растений. Поскольку ячмень является одной из основных сельскохозяйственных культур, то крайне важно исследовать не только воздействие токсикантов на морфофизиологические особенности растительного организма, но и оценить их накопление в товарных частях растения. Конечная цель такого рода исследований – обеспечение продовольственной безопасности в условиях земледелия в регионах с техногенно-загрязненными почвами. Хотя изучение самого по себе феномена устойчивости к ТМ имеет важное фундаментальное значение, также не стоит упускать из виду практические задачи получения качественной и безопасной сельскохозяйственной продукции. Данные содержания ТМ в надземной биомассе растений ячменя приведены на рис. 7.
Рис. 7. Содержание ТМ в надземной биомассе растений ячменя: (а) – кадмий, (б) – медь (для вариантов с внесением меди) и цинк (для вариантов с цинком).
Для того чтобы более наглядно показать различия в содержании ТМ по сравнению с контрольным вариантом, измеренные показатели даны в виде соотношения показателя в каждом из вариантов к контрольной величине (в долях единицы). То есть, если на диаграмме высота столбца равна 2, то это означает, что в этом случае ткани растения накопили ТМ в 2 раза больше, чем в контроле.
На рис. 7а отражены уровни накопления кадмия во всех вариантах опыта. Хорошо видно, что при внесении одного кадмия отмечено высокое накопление данного ТМ в тканях растений ячменя и в первую очередь – в соломе. Например, в соломе кадмия содержалось в 45 раз, в зерне – в 25 раз больше, чем в контроле. Внесение ТМ-микроэлементов позволило уменьшить накопление кадмия. В случае, если кадмий вносили в почву в дозе 45 мг/кг, то уже минимальная доза меди (50 мг/ кг) позволяла заметно ограничить поступление кадмия (в 27 раз больше, чем в контроле для соломы, в 10 раз – для зерна). Увеличение концентрации меди до 100 мг/кг мало изменяло наблюдаемую в случае с соломой картину (в 25 раз больше, чем в контроле), но приводило к некоторому росту накопления кадмия в зерне (в 14 раз больше, чем в контроле). Таким образом, можно утверждать, что по мере роста дозы меди постепенно развивалось совместное токсическое действие 2-х ТМ. Оно было еще не слишком заметно при дозе меди 100 мг/кг, но вероятно, отчетливо проявилось бы при дозе 200 мг/кг. Однако накопление кадмия (и других ТМ) при этой дозе оценить не удалось, т. к. растения погибли на раннем этапе развития.
В данном эксперименте не оценивали накопление кадмия при дозе этого ТМ 25 мг/кг (по результатам наших предшествующих исследований эта доза была признана недостаточной для развития отчетливо обнаруживаемого стресса [16, 17]). Впрочем, было важно оценить, как по сравнению с контролем изменяется накопление кадмия в случае, если его в дозе 25 мг/кг вносили в почву совместно с медью. Отмечено, что в соломе кадмий накапливался в меньшем количестве, чем в варианте с Cd45, при этом по мере роста дозы меди этот показатель поначалу снижался (в 21 раз больше, чем в контроле при дозе меди 50 мг/кг и в 12 раз больше при дозе меди 100 мг/кг). Впрочем, при дозе меди 200 мг/кг содержание кадмия в соломе возрастало до примерно такого же уровня, каковой отмечен в варианте Cd45Cu50, но был все же меньше, чем в варианте Cd45 (в 28 раз больше контроля). Содержание кадмия в зерне было в вариантах Cd25Cu50 и Cd25Cu100 примерно таким же, как в варианте Cd45 (в 14 раз больше контроля в обоих случаях), однако при максимальной дозе меди происходило неожиданное снижение накопления кадмия в зерне (в 7 раз больше контроля).
Внесение совместно с кадмием цинка изменило накопление Cd2+ следующим образом. В варианте с минимальной дозой цинка Cd45Zn50 содержание кадмия в соломе резко возрастало, становясь гораздо больше, чем при внесении одного кадмия (в 58 раз больше контроля), при этом накопление в зерне, напротив, значительно уменьшалось (в 3 раза больше, чем в контроле). По мере роста дозы цинка содержание кадмия в соломе неуклонно снижалось, становясь в итоге меньше, чем при внесении одного кадмия (в 40 раз больше контроля в варианте Cd45Zn100 и в 31 раз больше контроля в варианте Cd45Zn150). Накопление кадмия в зерне увеличивалось, но было меньше, чем при внесении одного кадмия (18 и 14 раз соответственно). Таким образом, медь способствовала снижению накопления кадмия и в соломе, и в зерне, а цинк, снижая накопление Cd2+ в зерне, стимулировал его переход в солому.
Кроме накопления кадмия, было оценено содержание меди и цинка в тех вариантах, где их вносили. В тех вариантах, где указанные металлы не вносили, их содержание оставалось на уровне контроля.
В целом медь накапливалась в надземной биомассе в количествах существенно меньших, чем кадмий (рис. 7а). В вариантах Cd25Cu50 и Cd25Cu100 содержание меди по сравнению с контролем возрастало незначительно как в соломе, так и в зерне (≈ в 2 раза). В варианте Cd25Cu200 накопление меди в соломе заметно увеличивалось (более чем в 5 раз от контроля), но в зерне даже уменьшалось (в 1.7 раза от контроля). Иной результат был получен в случаях, когда в почву вносили кадмий в дозе 45 мг/кг. В варианте Cd45Cu50 в соломе меди накапливалось даже меньше, чем при внесении дозы кадмия 25 мг/кг (в 0.7 раза больше контроля), а в зерне она содержалась примерно в таком же количестве, как и в варианте Cd25 (в 3 раза больше контроля). В варианте Cd45Cu100 накопление меди в соломе усиливалось (в 5 раз больше контроля), но в зерне значимо не менялось (более чем в 2 раза больше контроля).
Иная тенденция отмечена для накопления цинка. В соломе цинк накапливался в значимо большем количестве, чем медь во всех вариантах с ней. Например, в варианте Cd45Zn50 в соломе содержание цинка было более чем в 8 раз больше контроля. По мере увеличения концентрации цинка его накопление в соломе тоже росло, но не существенно (в 10 раз больше по сравнению с контролем в обоих вариантах Cd45Zn100 и Cd45Zn150). В зерне при минимальной дозе цинк накапливался в очень низкой концентрации (в 0.38 раза больше контроля), по мере роста дозы цинка его накапливалось больше (примерно в 3 раза больше контроля как в варианте Cd45Zn100, так и в варианте Cd45Zn150). Следовательно, цинк демонстрировал тенденцию к накоплению в соломе, но не в зерне. Аналогично его внесение сказывалось и на накоплении кадмия.
ЗАКЛЮЧЕНИЕ
Таким образом, удалось выяснить, что внесение в почву токсического тяжелого металла (ТМ) без четко выявленной физиологической функции (кадмия) приводило к развитию стресса и заметному угнетению процессов роста и развития растений ярового ячменя. При совместном внесении с кадмием другого ТМ, обладающего также свойствами питательного микроэлемента (медь или цинк), наблюдаемые эффекты в существенной мере изменялись. Конкретные особенности влияния смеси ионов металлов на растительный организм зависели также от дозы поллютанта (кадмий) и микроэлемента (медь или цинк).
Установлено, что в целом добавление микроэлемента способствовало ослаблению токсических эффектов. При малых дозах микроэлемента стимулирующий эффект был выражен незначительно, а при высоких постепенно исчезал, тогда на первый план выходило совместное токсическое действие обоих ТМ. При этом цинк, обладая относительно невысокой токсичностью, проявлял себя в основном как стимулятор, почти не обнаруживая токсического воздействия, в то время как медь при высокой дозе действовала как поллютант, и растения оказывались подавленными в большей степени, чем при внесении одного кадмия. При этом наиболее ярко такие изменения воздействия меди проявлялись при более высокой (45 мг/кг) дозе кадмия, чем при относительно низкой (25 мг/кг).
На основе всех рассмотренных данных можно утверждать, что высказанное в начале исследования предположение, что внесение в почву совместно с ТМ, обладающим главным образом токсическим действием, еще одного ТМ – микроэлемента, существенно модифицировало наблюдаемый ответ растительного организма. Цинк, как менее токсичный элемент, в целом оказывал стимулирующее действие и позволял ослабить воздействие стресса. Медь, будучи более токсичной, проявляла стимулирующее действие лишь при небольших дозах (или когда поллютант (в данном случае кадмий) был внесен в умеренной концентрации), а при более высоких дозах меди она становится синергистом кадмия, приводя к стойкому угнетению растений.
Основным итогом работы явилось подтверждение гипотезы о том, что внесение вместе с ТМ, обладающим токсическим действием еще и ТМ, которые в низких дозах обладают функциями микроэлементов, способствовало ослаблению токсического стресса и восстановлению жизненных показателей и продуктивности растений ячменя.
Достигнутые результаты имеют важное практическое значение для задач восстановления плодородия почв, подвергшихся загрязнению ТМ в результате хозяйственной деятельности человека. Несомненно, фундаментальное значение работы, как углубляющей понимание механизмов действия ТМ на растительные организмы, а также механизмов взаимодействия различных ТМ, обладающих и не обладающих физиологической ролью. В соответствии с этим, полученные данные могут сыграть существенную роль в повышении продовольственной безопасности страны, способствуя преодолению последствий техногенного загрязнения агросферы и обеспечения населения качественной и безопасной сельскохозяйственной продукцией. Собранные данные имеют определенный потенциал в рамках задач по импортозамещению семенных материалов, обладающих повышенной устойчивостью к действию содержащихся в почве токсикантов.
About the authors
А. V. Dikarev
Russian Institute of Radiology and Agroecology of National Research Centre “Kurchatov Institute”
Author for correspondence.
Email: ar.djuna@yandex.ru
Russian Federation, Kiev highway 1, corp. 1, Kaluga region, Obninsk 249035
D. V. Dikarev
Russian Institute of Radiology and Agroecology of National Research Centre “Kurchatov Institute”
Email: ar.djuna@yandex.ru
Russian Federation, Kiev highway 1, corp. 1, Kaluga region, Obninsk 249035
D. V. Krylenkin
Russian Institute of Radiology and Agroecology of National Research Centre “Kurchatov Institute”
Email: ar.djuna@yandex.ru
Russian Federation, Kiev highway 1, corp. 1, Kaluga region, Obninsk 249035
References
- Алексахин Р.М., Фесенко С.В., Гераськин С.А. Методика оценки экологических последствий техногенного загрязнения агроэкосистем. М.: Изд-во МГУ, 2004. 206 с.
- Dandan L., Dongmei Z., Peng W., Nanyan W., Xiangdong Z. Subcellular Cd distribution and its correlation with antioxidant enzymatic activities in wheat (Triticum aestivum) roots // Ecotoxicol. Environ. Saf. 2011. V. 74. P. 874–881.
- Clemens S. Molecular mechanisms of plants metal tolerance and homeostasis // Planta. 2001. V. 212. P. 475–486.
- Физиология растений / Под ред. Ермакова И.П. М.: Academia, 2005. 640 c.
- Якушкина Н.И., Бахтенко Е.Ю. Физиология растений. М.: Владос, 2004. 464 с.
- Qin R., Wang C., Chen D., Bjorn L.O., Li S. Copper-induced root growth inhibition of Allium cepa var. Agrogarum L. involves disturbances in cell division and DNA damage // Environ. Toxicol. Сhem. 2015. V. 34. № 5. P. 1045–1055.
- Позняк С.С. Содержание тяжелых металлов Pb, Ni, Zn, Cu, Mn, Zr, Cr, Co и Sn в почвах центральной зоны республики Беларусь // Эконом. и экол. менеджмент. 2011. № 1. С. 23–35.
- Журбицкий З.И. Теория и практика вегетационного метода. М.: Наука, 1968. 260 с.
- Агрохимические методы исследования почв. М.: Наука, 1975. 656 с.
- Тяжелые металлы в агроценозах: миграция, действие, нормирование / Под ред. Санжаровой Н.И., Цыгвинцева П.Н. Обнинск: ВНИИРАЭ, 2019. 398 с.
- Heath R.L., Packer L. Photoperoxidation in isolated chloroplasts. I. Kinetics and stoichiometry of fatty acid peroxidation // Arch. Biochem. Biophys. 1968. V. 125. № 1. P. 189–198.
- Vijayalakshmi M., Ruckmani K. Ferric reducing anti-oxidant power assay in plant extract // Bangladesh J. Pharmacol. 2016. V. 11. P. 570–572.
- Lowry D.H., Rosebrough H.J., Farr A.L., Randall R.J. Protein measurement with the Folinphenol reagent // J. Biol. Chem. 1951. V. 193. № 1. P. 265–275.
- Плешков Б.П. Практикум по биохимии растений. М.: Колос, 1976. 256 с.
- Методические указания по определению тяжелых металлов в почвах сельхозугодий и продукции растениеводства / Под ред. Артюшина А.М. М.: ЦИНАО, 1992. 56 с.
- Гераськин С.А., Дикарев А.В., Лыченкова М.А. Дифференциация сортов ячменя по устойчивости к кадмию сохраняется на протяжении всего жизненного цикла растений // Агрохимия. 2021. № 2. С. 78–85.
- Гераськин С.А., Дикарев А.В., Дикарев В.Г., Дикарева Н.С. Анализ внутривидового полиморфизма ячменя по устойчивости к действию кадмия // Агрохимия. 2021. № 8. С. 57–64.
- Полесская О.Г. Растительная клетка и активные формы кислорода. М.: Университет, 2007. 139 с.
Supplementary files









