Изучение феромонов основных насекомых-вредителей отряда чешуекрылых (Lepidoptera)
- Авторы: Джумакулов Т.1, Турдибаев Ж.Э.1, Юлдашев Л.Т.1, Мосидиков М.Ш.1, Холбеков О.Х.2, Шакирзянова Г.С.2, Торениязов Э.Ш.3, Юсупов Р.Э.3
-
Учреждения:
- Алмалыкский филиал Ташкентского государственного технического университета им. Ислама Каримова
- Институт биоорганической химии им. А. С. Садыкова АН РУз
- Каракалпакский институт сельского хозяйства и агротехнологии
- Выпуск: № 1 (2024)
- Страницы: 82-93
- Раздел: Агроэкология
- URL: https://journals.rcsi.science/0002-1881/article/view/255468
- DOI: https://doi.org/10.31857/S0002188124010112
- ID: 255468
Цитировать
Полный текст
Аннотация
Интенсивное развитие сельскохозяйственного производства в настоящее время требует расширения масштабов применения химических средств защиты растений от насекомых-вредителей, что в свою очередь приводит к загрязнению окружающей среды и невосполнимым потерям в биоценозе. Поэтому все более актуальной становиться разработка принципиально новых средств защиты растений, отличающихся безопасностью по отношению к окружающей среде и высокой избирательностью действия. Использование половых феромонов в интегрированных системах защиты растений приводит к необходимости разработки удобных схем синтеза, позволяющих из одних и тех же исходных соединений-синтонов получать феромоны различных видов вредителей с хорошим выходом и высокой изомерной чистотой.
Ключевые слова
Полный текст
Введение
Феромоны – химические вещества, выделяемые насекомыми и вызывающие специфические поведенческие и физиологические реакции у воспринимающих насекомых. Все рассмотренные в работе феромоны принадлежат насекомым, относящимся к отряду чешуекрылых (Lepidoptera). Это соединения представляют собой ненасыщенные алифатические спирты, ацетаты, альдегиды, в последнее время выделены и идентифицированы кетоны. Различие структур – один из главных факторов в репродуктивной изоляции насекомых.
За последние десятилетия в нашей стране и за рубежом все большее распространение получает интегрированная система защиты растений, при этом использование синтетических феромонов для сигнализации сроков и определения необходимости инсектицидных обработок позволяет существенно сократить число химических опрыскиваний, что, с одной стороны, уменьшает загрязнение окружающей среды и, с другой, – дает значительной экономический эффект [1–3].
Знания о системе половых аттрактантов чешуекрылых развивались главным образом двумя параллельными путями: 1 – идентификацией природных половых феромонов, 2 – полевым скринингом синтетических аттрактивных веществ. Для многих видов был идентифицирован состав полового феромона самок, выявлены аттрактивные компоненты. Также для многих видов было установлено, что синтетические аттрактивные смеси имеют такую же привлекающую силу, как и природный половой феромон самок. Так как наиболее полезную информацию об аттрактивности феромонов получают в результате полевых испытаний в ловушках, то интенсивность привлечения остается главным критерием активности полового аттрактанта. В настоящее время успешно используются в сельском хозяйстве некоторые аттрактанты хлопковой, озимой, восклицательной, капустной и ряда других совок, некоторых плодожорок. Сведения о половых феромонах этих видов были немногочисленны и противоречивы.
В экспериментах с целью полевого скрининга использовали десятки соединений – компонентов феромонов различных видов насекомых-вредителей и многочисленные комбинации веществ, синтезированных в ТГУ, ПО «Флора» (Эстония), НИИХЗР (Россия), ИБОХ АН Республики Узбекистан, ИБОХ НАН Республики Белоруссии, а также ряд зарубежных препаратов. Были протестированы 16 типов феромонных ловушек, 5 марок клея для насекомых, 13 типов препаративных форм феромонов.
Прогрессивное развитие в области техники микроанализа позволило в последние 10 лет существенно сократить использование больших количеств необходимого биоматериала. Использование высокоразрешающей газовой хроматографии (ГЖХ), высокоэффективной газожидкостной хроматографии под давлением, хромато-масс-спектрометрии (ГЖХ–МС), масс- фрагментографии, особенно в сочетании с компьютерным обеспечением позволило свести идентификацию компонентов феромонов для некоторых видов насекомых к рассмотрению экстракта нескольких десятков особей и тем самым сократить до минимума путь от источника феромона до последней ступени его идентификации.
Выделяют и идентифицируют основные и минорные компоненты, представляющие собой геометрические, позиционные изомеры или родственные соединения, различающиеся функциональными группами, длиной углеродной цепи, степенью и положением ненасыщенности. При этом необходимо учитывать зависимость состава феромона от географического обитания популяции.
Активные вещества феромона могут быть выделены из насекомых различными методами экстракции, начиная от перегонки с паром, улавливанием летучих веществ из воздуха, экстракцией бумаги, на которой выращивают насекомых, а также вымачиванием в растворителе целого насекомого или отдельных его частей [4].
Большинство исследователей для вымачивания кончика брюшка или целого насекомого используют хлористый метилен или другие растворители. Возможность выделить экстракт феромона с минимальным количеством балластных веществ увеличивается, если вместо кончиков брюшка насекомых использовать препарированную железу, вырабатывающую феромон или яйцеклад насекомого. Непродолжительное выдерживание (1–2 с) железы или яйцеклада в подходящем растворителе позволяет получить экстракт феромона, практически не нуждающийся в дополнительной очистке перед анализом ГЖХ или ГЖХ–МС, такой способ выделения становится все более популярным в последнее время, т. к. дает возможность ограничиться небольшим количеством особей [5]. Этот метод стал возможен только в результате совершенствования техники инструментального микроанализа, позволяющий идентифицировать нанограммовое количество вещества и тем самым ограничиваться иногда одной – двумя особями [6].
Феромоны чешуекрылых и их компоненты по химической структуре представляют собой длинноцепочечные ацетаты, спирты, альдегиды, эпоксиды и другие углеводороды, могут содержать 1 или 2 ненасыщенных фрагмента или разветвления.
Идентификация предшественника при этом может оказаться значительно более простой, чем идентификация конечного продукта. В табл. 1 представлены предполагаемые предшественники, с теми или иными функциональными группами [7]. Если функциональная группа в активном соединении определена, не трудно догадаться о природе предшественника.
Таблица 1. Функциональные группы феромонов, определяемые в биотесте, и их ожидаемые предшественники
Функциональная группа | Возможные предшественники |
Эпоксид Сложный эфир Спирт Карбоновая кислота Альдегид Кетон Амин | Олефин Спирт, фенол, карбоновая кислота Сложный эфир, карбоновая кислота, альдегид, кетон Сложный эфир, спирт, соль Спирт, карбоновая кислота Спирт Амид, соль |
Идентификация феромонов чешуекрылых сочетанием газожидкостной хроматографии с электроантеннографией (ГЖХ–ЭАГ)
Предложенный Роэлофсом метод применяли для идентификации феромонов чешуекрылых. Поскольку феромоны чешуекрылых, как правило, – длинноцепочечные С10–С18 непредельные спирты, альдегиды, ацетаты и эпоксиды, то располагая эталонами таких соединений, можно сравнивать время удерживания компонентов феромона при ГЖХ-анализе со временем удерживания эталонов на полярных и неполярных колонках, одновременно биотестировать те и другие с помощью электроантеннографии (ЭАГ) [8].
Преимущество метода ГЖХ–ЭАГ состоит в том, что он нуждается в ограниченном количестве особей для экстракции (50–200 самок), а идентификация минорных количеств вещества бывает невидимой на хроматограмме, но при этом дает сигнал ЭАГ, поскольку чувствительность антенны насекомого на много порядков больше чувствительности хроматографа с ПИД. В этом случае по времени удерживания активного, но невидимого на хроматограмме компонента, можно судить о его структуре [9]. Метод ГЖХ–ЭАГ позволил установить структуру феромонов многих видов чешуекрылых. Геометрическая конфигурация компонентов в этом методе определяется сравнением с активностью и временем удержания синтетических Z- и E-изомеров.
Впервые масс-фрагментография была удачно использована при идентификации не разделившихся ГЖХ-пиков составных частей феромона листовертки A. semiferanus. Из предварительных исследований феромона самок микроаналитическими методами было сделано заключение о наличии в феромоне С14-ацетатов [10]. Испытание серии тетрадеценилацетатов указало на то, что одним из компонентов может быть Z-10-TDA. Однако некоторые другие тетрадеценилацетаты тоже были привлекательны для самок. Для проведения масс-фрагментографии активной фракции было запрограммировано сканирование только тех ионов, которые были характерны для насыщенных и мононенасыщенных ацетатов с С14 атомами углерода: m/e 196 (M-60), 194 (M-60), 166 (194–28), 61 (CH3COOH2)+. На рис. 1 Z-5-TDA является одним из компонентов сложной смеси тетрадеценил-ацетатов.
Рис. 1. Масс-фрагментография Z-10-TDA на колонке с 10%-ным DEGS при 160 °C
Поэтому был предпринят микроозонолиз ацетатной фракции, и продукты озонолиза исследованы масс-фрагментографией. Для этой цели было запрограммировано сканирование только тех фрагментов, которые характерны для низших альдегидов (табл. 2). Данные приведены для каждого идентифицированного альдегида.
Таблица 2. Альдегиды, идентифицированные масс-фрагментографией в продуктах озонолиза феромона совки гамма (Autographa gamma)
Сканирование | Альдегиды | Диагностические фрагменты |
I II III | CH3CHO CH3CH2CHO CH3(CH2)2CHO CH3(CH2)3CHO CH3(CH2)4CHO CH3(CH2)5CHO CH3(CH2)6CHO CH3(CH2)7CHO CH3(CH2)8CHO CH3(CH2)9CHO CH3(CH2)10CHO CH3(CH2)2CHO | 29 29 58 29 72 29 86 57 57 70 57 84 57 70 96 57 70 96 112 110 110 140 |
Несмотря на то, что чешуекрылые обходятся ограниченным числом непредельных спиртов, ацетатов, альдегидов или эпоксидов с 10–18-ю атомами углерода, основное предназначение феромонов – создание строгой специфичности в изоляции видов при их воспроизводстве осуществляется либо разным соотношением одних и тех же веществ, либо разными их концентрациями, либо присутствием разных основных компонентов, либо наличием минорных компонентов.
Для статистического анализа сходства и различия таксонов плодожорки и совок по химической структуре феромонов самок использовали данные 700 видов обоих семейств. Метод построения дендограмм сходства таксонов на основе показателя общности химической структуры феромонов показал закономерность, незначительно отличающуюся от существующих систем высших таксонов 2-х изученных семейств, созданных главным образом в зависимости от морфологических признаков имаго [11].
Большое число феромонов чешуекрылых относится к ацетатам прямо- цепочечных моноеновых спиртов, и они не встречаются в других отрядах насекомых. Практическая важность этих феромонов в борьбе с сельскохозяйственными вредителями (плодожорками, совками, листовертками) вызвала большой интерес химиков и обусловила глубокое исследование реакций синтеза этих соединений [12–15].
Синтез компонента совки гамма. Вредоносность совки гамма (Autographa gamma) на хлопчатнике проявляется в период развития первого поколения, 2-е и 3-е поколения развиваются на овощебахчевых и зернобобовых культурах. Разработка методов синтеза феромона совки гамма и определение биологической активности полового аттрактанта в зависимости от состава и доз, а также рекомендаций по созданию препаративных форм феромона для их практического применения в практике защиты растений представлены в работах [16–18].
Цис-7-додеценилацетат является компонентом феромона совки гамма (Autographa gamma). Синтез его синтетического аналога основывается на взаимодействии карбэтоксиметилентрифинилфосфарана (V) с монодиэтилацеталь-пимелиновым альдегидом (I) и проходит с образованием диенового эфироацеталя (VI) с хорошим выходом. Гидрирование (VI) над окисью платины дает продукт – эфироацеталь (IV). Кислый гидролиз этого ацеталя в мягких условиях приводит с высоким выходом к этиловому эфиру 7-оксогептановой кислоты. Затем проводят конденсацию альдегида (VII) с пентилидентрифенил фосфораном (VIII) в условиях “цис-олифинирования” (VIII). Последний продукт восстанавливают алюмогидридом лития в соответствующий 7-цис-додецен-1-ол (XVI), который окисляют с помощью хлорхроматомпиридина в цис-7-додеценаль и ацелируют до продукта (XIV):
Восклицательная совка Scotia exclamations. Восклицательная совка Scotia exclamations – один из многочисленных видов совок, наносящих вред хлопчатнику и другим сельскохозяйственным культурам. Восклицательная совка развивается в 2–3-х поколениях. Цикл развития каждого поколения требует 75°C эффективных температур (при пороге 11°C), что на 20°C больше, чем для озимой совки. Вредоносность восклицательной совки на хлопчатнике проявляется в период развития 1-го поколения, 2-е и 3-е поколения развиваются на овощебахчевых, зернобобовых культурах, люцерне, излюбленных сорняках. Гусеницы этого вредителя живут более продолжительное время, чем гусеницы озимой совки (Agrotis segetum) и имеют в последнем возрасте сравнительно большие размеры тела, достигая в длину 4 см при большем диаметре в сечении, размеры головных капсул составляют 3.25–4.16 мм. Установление сроков вылета бабочек, их массовости особенно необходимо для принятия своевременных мероприятий по предотвращению вредоносности одного или одновременно 2-х видов. Эти моменты следует учитывать при использовании синтетического полового феромона восклицательной совки для определения сроков развития вредителя после зимовки и последующего поколения, своевременного выявления очагов заряжения и принятия мер по предотвращению потерь урожая [4].
Половые феромоны насекомых отряда чешуекрылых (Lepidoptera) синтезируют во НИИХСЗР (г. Москва), НИИБМЗР Молдавии (г. Кишинев) и ИБОХ АН Республики Узбекистан (г. Ташкент). Безопасность для окружающей среды, простота в обращении, небольшие дополнительные расходы и высокая биологическая активность позволяют применять эти вещества для своевременного выявления и ранней диагностики очагов заряжения насекомыми-вредителями для последующего использования защитных мероприятий [1–4].
Первоначально феромон (1–2 мг) наносят на небольшие отрезки резиновых трубочек или пробок, на дно феромонной ловушки помещают фиксатор – энтомологический клей, нанесенный тонким слоем на мелованную бумагу, которые затем помещают в феромонные ловушки различного типа. Продолжительность “работы” феромона восклицательной совки – 30 сут, хлопковой и озимой совки – 10 сут.
Наиболее интенсивный лёт самцов наблюдали в течение 1 нед (с 5 по 12 июля) с максимальной численностью 29.3 экз./ловушку в посевах хлопчатника и люцерны в Ташкентской обл. и с 12 по 24 июля с максимальной численностью 33.0 экз./ловушку – в овощебахчевых агроценозах Наманганской обл.
Полевой скрининг феромонов насекомых проводили посредством учета сведений о наличии и распространении тех или иных компонентов феромонов в различных таксонах. Общий анализ системы половых аттрактантов моли и совок позволили выявить признаки, пригодные для хемотаксономической характеристики подсемейств: 1 – частота встречаемости отдельных групп и классов соединений (например, альдегидов, диолефинов 12,14-атомных транс-изомерных компонентов и т. п.) в феромонах; 2 – средняя частота встречаемости одного соединения, т. е. соотношение общей суммы частот и числа известных в данной группе соединений.
Предварительный анализ показал, что каждый из наиболее изученных высших таксонов чешуекрылых обладает одним или несколькими специфическими признаками химической структуры феромонов. Кроме этого, установленные эмпирическим путем правила уже теперь способны в большой мере ускорить полевой скрининг аттрактивных для бабочек веществ и повысить его результативность (табл. 3).
Таблица 3. Активность половых аттрактантов чешуекрылых Lepidoptera
Компонент аттрактанта | Соотношение компонентов, % | Доминирующий вид самцов/ловушки | Видоспецифичность, % | Прочие виды экз./ловушку |
Z11–16 : Ald | 95 | – | – | – |
Z9–16 : Ald | 5 | 14.3 | 67.1 | 7.0 |
Z11–16 : Ac | 49.5 | – | – | – |
Z11–16 : OH | 1 | 10.6 | 5.4 | 10.6 |
Z9–16 : Ac | 50 | – | – | – |
Z7–12 : Ac | 12.5 | – | – | – |
Z5–14 : Ac | 12.5 | 21.0 | 8.9 | 10.3 |
Z5–14 : Ac | 80 | – | – | – |
Z9–14 : Ac | 2 | 21.0 | 22.7 | 3.4 |
Z8–12 : Ac | 3 | 10.3 | 15.8 | 1.6 |
Z11–14 : Ac | 10 | 19 | – | 13.0 |
Разработка схем синтеза феромонов
Интенсивное использование половых феромонов в интегрированных системах защиты растений приводит к необходимости разработки удобных схем синтеза, позволяющих из одних и тех же исходных соединений-синтонов получать феромоны различных видов вредителей с хорошим выходом и высокой изомерной чистотой. Такой подход возможен и целесообразен вследствие близости химической структуры феромонов многих видов насекомых [4].
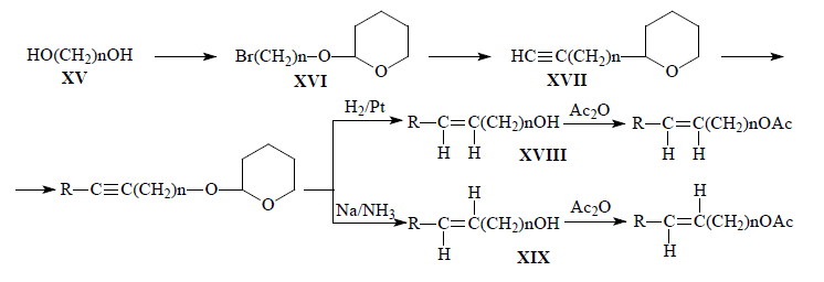
Один из наиболее распространенных методов синтеза феромонов включает использование в качестве ключевых соединений моно- или ди-замещенные ацетилены. Например, около 100 незамещенных неразветвленных С10–С16-соединений, содержащих концевую тройную связь и ацетатную группу, были синтезированы японскими исследователями. При скрининге обнаружены вещества, специфически привлекающие 93 вида насекомых, принадлежащих 15 семействам Lepidoptera. Все образцы синтезированы по следующей схеме:
Комплекс ацетиленида лития с этилендиамином конденсировали в ТГФ, ГМФТ, ГМФТ/ТГФ с соответствующим тетрагидропиранилоксиалкил бромидом (XV) для получения с почти количественным выходом ключевого соединения – дизамещенного ацетилена (XVII), которое далее гидрировали над катализатором Линдлара и получали продукт, содержащий более 95% цис-изомера (XVIII). Соответсвующие транс-изомеры (XIX) были получены при восстановлении литием в жидком аммиаке.
Для получения высших ацетиленовых спиртов из алкилацетиленов в качестве алкилирующего агента используют оксиалкилгалогениды с замещенной спиртовой группой. Для проведения таких реакций ГМФТ является наиболее подходящим растворителем, поскольку выход дизамещеных ацетиленов достигают 60–80% [11]. Замена хлора на бром в тетрагидропираниловых (ТГП) эфирах приводит к повышению выхода на 10–15%. Незамещенные ω-бромалканолы-1 (V) или терминальные ацетиленовые спирты (VI) можно также с успехом применять для синтеза оксиалкилацетиленов [12]:
В последнем случае образуется смесь дизамещенного ацетилена и простой эфир продуктов С- и О-алкилирования соответственно. Доля продукта С-алкилирования может быть резко увеличена при проведении реакции в диполярных апротонных растворителях, в которых резко возрастает нуклеофильная реакционная способность карбанионов.
Компонент феромона древоточца пахучего Cossus сossus. Цис-7-додецен-1-ол ацетат является основным компонентом полового феромона пахучего Cossus сossus. Он был синтезирован с помощью реакции Виттига. Высокая стереоселективность реакции получения цис-изомеров была достигнута конденсацией моноацеталя пимелинового альдегида с пентаметилентрифенилфосфораном, с последующем гидролизом полученного ацеталя до цис-7-додеценола. Последующим восстановлением вторичного спирта был синтезирован основной компонент полового феромона Cossus сossus:
C4H9 – CH = CH – (CH2)6OAc.
Изомерная чистота синтезированных соединений была определена газожидкостной хроматографией на капиллярной колонке с умеренно полярной фазой (карбовакс, 20 м) и на набивной колонке со стереоспецифической фазой UF-275, чистота цис-изомера составляла 96–98%.
Регистрацию масс-спектров образцов проводили методом TIC (Total Ion Current) в диапазоне 50– 110, условия МС: расход газа осушителя – 4 л/мин, температура газа – 320°C, давление газа в распылитель – 20 nsi, температура испарителя – 250°C, напряжение на капилляре – 4500 Вт [15].
Томатная минирующая моль Tuta absolutа. Родиной томатной моли (Tuta absoluta Meyr) являются регионы Центральной и Южной Америки, где она широко распространена. Томатная моль повреждает растения пасленовых в любой фазе – от начала всходов до полного созревания урожая. Кроме томата она повреждает баклажан, перец, физалис, картофель и многие дикорастущие и декоративные растения пасленовых. Объектом питания для томатной моли может быть большое количество растений [12].
В 2011 г. томатная минирующая моль была обнаружена на территории Узбекистана. Самки откладывают яйца на протяжении суток, но пик яйцекладки приходится на ночное время. Негативная особенность данного вредителя при проведении мер контроля заключается в том, что томатная моль имеет растянутый период яйцекладки. Более 70% всех яиц самки откладывают на протяжении 10 сут, при этом яйцекладка может находиться как с верхней, так и с нижней стороны листа растений. Исследование показало, что вредитель способен откладывать яйца на протяжении 20 сут. Гусеницы выходят из яиц утром и сразу проникают в ткань растения, где тут же начинают питаться, создавая повреждения в виде мин. Вышедшая из яйца гусеница первоначально зеленого цвета с черной головой. На спинной стороне первого грудного сегмента гусеницы видно характерное полукруглое черное пятно. Взрослая гусеница вырастает до ≈9 мм в длину. На молодых растениях гусеницы повреждают листья, стебли, побеги, цветы томатов, а повреждение плодов наблюдают на всех стадиях их созревания. Мины увеличиваются по мере роста самой гусеницы.
В тяжелых случаях повреждения гусеницы могут полностью съедать листья томатов, оставляя при этом только жилки. Перед окукливанием гусеница плетет шелковый кокон или делает его в виде свернутых листьев. Она не впадает в диапаузу до тех пор, пока доступен пищевой ресурс. Минимальная температура для развития томатной моли составляет 8.1°C. Для развития яиц температура не должна быть <6.9°C, для гусеницы этот показатель составляет 7.6°C, для куколок – 9.2°C. Также важно перед принятием решения детально изучить особенности морфологии и экологии вредителя, чтобы не перепутать томатную моль с другими вредителями, такими как картофельная моль (Phthorimaca operсulella).
Томатная моль быстро адаптируется к новым условиям обитания и обладает высокой скоростью размножения, поэтому требует приятия незамедлительных и решительных мер по уничтожению. Феромонные ловушки можно эффективно использовать для раннего обнаружения вредителя. Использование синтетических феромонов – один из экологически безопасных методов выявления насекомых и борьбы с вредителями растений. Такие вещества у насекомых являются продуктами сложных биокаталитических реакции, происходящих в ответственной за этот процесс железе. Женский половой феромон Tuta absoluta состоит из 2-х компонентов. Основным компонентом, который составляет ≈90% летучих веществ, содержащихся в половых железах самок, является (3E, 8Z, 11Z)-3, 8, 11-тетрадекатриен-1-илацетат (а). Минорная компонента, составлявшая 10%, была идентифицирована как (3E, 8Z)-3,8-тетрадикадиен-1- ил ацетат (b):
Стратегии защиты, основанные на половых феромонах (например, массовой отлов или нарушение спаривания), являются многообещающими методами борьбы с такими вторгающимися вредителями. Стратегии с применением половых феромонов иногда бывают дороже обычных химических методов борьбы с вредителями. Поэтому важно снижать себестоимость производства феромона T. absoluta для того, чтобы стимулировать их использование фермерами.
Среди феромонов насекомых известно большое число соединений, содержащих сопряженные двойные и тройные связи. Несопряженные триены идентифицированы у большого числа насекомых, например, 4-транс,7-цис, 10-цис-тридекатриенилацетат – феромон Phthorimaea operculella.
Такой ацетат был получен по схеме (см. на с. 89):
Феромон матки медоносной пчелы Apis mellifera. Пчелы играют важную роль в сохранении природных экосистем, поскольку опыляют 85% цветковых растений – около 300 тыс. видов во всем мире. От их деятельности зависит биоразнообразие природных экосистем.
Матка медоносной пчелы Apis mellifera экономно расходует медовые запасы: сокращает вывод расплода, когда поток нектара на исходе и летает на большие расстояния за нектаром. Биология и образ жизни пчелы полностью ориентированы на обитание в холодных климатических условиях: даже в холодную, пасмурную и жаркую погоду она способна летать за нектаром, а спаривание матки происходит при низких температурах.
В феромоне матки медоносной пчелы идентифицированы цис-, транс- моноолефиновые спирты и их ацетаты. Большое количество цис-моноолефиновых спиртов и их ацетатов может быть синтезировано с помощью реакции Виттига. Обычный вариант этого процесса – взаимодействие алкилидентрифенилфосфоранов с карбонильными соединениями, позволяющий получать олефины в виде смесей цис- и транс-изомеров. Высокая стереоспецифичность этой реакции с целью получения цис-изомера достигается при использовании алифатических фосфоранов и алифатических альдегидов в неполярных растворителях, в отсутствие литиевых солей [24]. Получение илидов фосфора из соответствующих фосфониевых солей действием бис(триметилсилил)амида щелочного металла с последующим взаимодействием с альдегидами приводит к цис-алкенам с 98%-ной стереохимической чистотой.
Наиболее удобным методом синтеза 9-оксо-транс-деценовой кислоты –феромона матки медоносной пчелы Apis mellifera, и ее эфиров считается взаимодействие 7-оксооктаналя (XII) с малоновой кислотой или конденсация с этоксикарбонилметилентрифенилфосфораном с последующим гидролизом в конечное соединение. В связи с этим имеется необходимость разработки простых синтезов 7-оксооктаналя (XII) или его производных.
Синтез этилового эфира 9-оксо-транс-2-деценовой кислоты осуществляли, исходя из доступности моноацеталей глутарового и глутаконового альдегидов [3]. Монодиэтилацеталь глутаконового альдегида (I) с ацетилметилентрифенил-фосфораном (II) в эфире, с выходами 45 и 28%, соответственно, образует диеновый кетоацеталь (V), который гидрированием над окисью платины превращали в предельный кетоацеталь (V). Этот же кетоацеталь получали из монодиэтилацеталя глутарового альдегида (IV). Последний с фосфораном (II) с выходом 65% давал мононепредельный кетоацеталь (VIII), который гидролизовали разбавленной соляной кислотой до кетоальдегида (XIV). Взаимодействие кетоальдегида (VIII) с этоксикарбонилметилентри-фенилфосфораном происходит избирательно по альдегидной группе и с выходом 61% преобразуется в этиловый эфир 9-оксо-транс-деценовой кислоты (IX) [2, 3] (см. схему на с.90):
Компонент феромона кистехвоста Orgyia pseudotsugata. Моноацеталь (XII) представляет удобный синтон для синтеза различных δ-, ε-непредельных кетонов и в частности, цис-6-генэейкозен-11-она (XXVI), основного компонента половых феромонов североамериканского кистехвоста Orgyia pseudotsugata и распространенной в СНГ волнянки Orgyia аntigua. Описаны пути синтеза кетона (XXVI) фрагментацией по Эшенмозеру п-толулсульфогидразидов циклических эпоксидов алкилированием алкиларилсульфоксидов и дитианового производного ундекаля, реакцией Виттига с 5-оксопентадеканалем [14] фрагментацией бициклокеталей, через нитрил 6-ундециновой кислоты.
Реакцией моноацеталя (IV) с фосфораном, генерированным из фосфонийной соли (ХХ) в условиях цис-олефинирования с выходом 84%, получен диэтилацеталь цис-5-ундецаналя (XXIII), кислотный гидролиз которого приводил с выходом 77% к цис-5-ундеценалю (XXV). Альдегид (XXIV) с магнийбромдецилом с умеренным выходом давал непредельный спирт (XVIII), окисленный хлорхроматомпиридином в конечный кетон (XXV). Общий выход кетона, исходя из моноацеталя, составлял 28.7%:
Дынная муха Myiopardalis pardalina. Дынная муха (Miopardalis pardalina) широко распространена в Азии и некоторых странах Европы, в частности, в Азербайджане, Армении, Грузии, Кипре, Турции, Украине, Афганистане, Израиле, Индии, Иордании, Ираке, Иране, Казахстане, Киргизии, Ливане, Пакистане, Саудовской Аравии, Сирии, Таджикистане, Туркменистане, Узбекистане. В основном повреждает дикорастущие и культурные растения из семейства Тыквенные (Cucurbitaceae): дыню, арбуз, реже – тыкву и огурец, предпочитает дыню Сucumis melo. В течение года дает 3–4 генерации. Мухи появляются в момент цветения дыни. Самки мухи откладывают яйца в кожицу завязей и молодых плодов, а также на листьях. Личинки проникают в мякоть плода, где питаются семенами, затем покидают плоды и уходят на окукливание в почву.
Весенний лёт совпадает с периодом образования плодов у кормовых растений. В это время температура почвы, где зимуют насекомые, достигает 20°C. Лёт вредителя наблюдают с начала июня до середины октября. Питаются насекомые соком плодов. Продолжительность жизни имаго – 2 мес. Места проколов мякоти могут служить средой для развития вирусных и грибковых заболеваний. Первыми признаками поражения дынной мухой являются появление мелких бугорчатых пятнышек, либо просто бугорков в местах прокуса плодов. Позднее, после развития личинок, начинается внутреннее загнивание плодов. Поврежденные плоды становятся не пригодными для дальнейшего использования.
Для ограничения дальнейшего распространения вредителя действуют строгие карантинные ограничения. Одним из элементов программы управления численностью насекомых-вредителей является уничтожение самцов, но отлов самок мух не менее важен для уменьшения повреждения плодов.
В ИБОХ АН РУз проводили исследования по идентификации аттрактивных веществ из биоматериала дынной мухи Myiopardalis pardalina Bigot. [15]. Для этого был собран энтомологический биоматериал дынной мухи. Биомассу насекомых содержали в стеклянных емкостях, покрытых увлажненной марлевой материей, с прикрепленными небольшими кусочками дыни для поддержания жизнедеятельности насекомых при комнатной температуре в течение 72 ч. При этом покрывающую материю поддерживали постоянно увлажненной сахарным раствором. Затем взрослые особи дынной мухи были перенесены в цилиндрическую конструкцию со съемными крышками, для проведения процесса морилки с использованием диэтилового эфира (рис. 2а, б).
Рис. 2. Последовательность действий при исследовании дынной мухи: (а) – цилиндрическая конструкция для проведения процесса морилки, (б) – препарирование насекомых, (в) – приготовленный экстракт
У оцепеневших самок Myiopardalis pardalina были препарированы брюшки и помещены в склянку с 5 мл хлористого метилена (рис. 2в). Экстракт выдерживали в холодильной камере в течение нескольких суток. Объединенные экстракты препарированных особей Myiopardalis pardalina анализировали с помощью GC MS (MassHanter). На основании результатов анализа была выявлена структура одного из компонентов феромона дынной мухи Myiopardalis pardalina, соответствующая RT = 23.147, что соответствует бис(2-этилгексил) эфира 1,4-бензендикарбоновой кислоты:
Исходя из структурных особенностей идентифицированного компонента, был разработан путь синтеза его синтетического аналога:
Заключение
Разработка путей практического использования различных феромонов имеет большое значение, т. к. для большинства сельскохозяйственных культур (хлопчатника, зерновых, овощебахчевых и др.) насекомые остаются первостепенными вредителями, с которыми из года в год на огромных площадях ведется борьба; при массовом внедрении в производство феромонов можно значительно сократить объемы химической защиты растений, что приведет как к экономии материальных затрат на выращивание урожая, так и к снижению давления пестицидного пресса на окружающую среду.
Об авторах
Т. Джумакулов
Алмалыкский филиал Ташкентского государственного технического университета им. Ислама Каримова
Автор, ответственный за переписку.
Email: jt82@bk.ru
Узбекистан, 110100 Алмалык, ул. М. Улугбека, 45, Ташкентская обл.
Ж. Э. Турдибаев
Алмалыкский филиал Ташкентского государственного технического университета им. Ислама Каримова
Email: jt82@bk.ru
Узбекистан, 110100 Алмалык, ул. М. Улугбека, 45, Ташкентская обл.
Л. Т. Юлдашев
Алмалыкский филиал Ташкентского государственного технического университета им. Ислама Каримова
Email: jt82@bk.ru
Узбекистан, 110100 Алмалык, ул. М. Улугбека, 45, Ташкентская обл.
М. Ш. Мосидиков
Алмалыкский филиал Ташкентского государственного технического университета им. Ислама Каримова
Email: jt82@bk.ru
Узбекистан, 110100 Алмалык, ул. М. Улугбека, 45, Ташкентская обл.
О. Х. Холбеков
Институт биоорганической химии им. А. С. Садыкова АН РУз
Email: jt82@bk.ru
Узбекистан, 100125 Ташкент,ул. М. Улугбека, 83
Г. С. Шакирзянова
Институт биоорганической химии им. А. С. Садыкова АН РУз
Email: jt82@bk.ru
Узбекистан, 100125 Ташкент,ул. М. Улугбека, 83
Э. Ш. Торениязов
Каракалпакский институт сельского хозяйства и агротехнологии
Email: jt82@bk.ru
Узбекистан, 230100 Нукус, ул. Абдамбетова
Р. Э. Юсупов
Каракалпакский институт сельского хозяйства и агротехнологии
Email: jt82@bk.ru
Узбекистан, 230100 Нукус, ул. Абдамбетова
Список литературы
- Ковалев Б.Г., Джумакулов Т., Недопекина С.Ф., Абдувахабов А.А. Половой феромон озимой совки (Scot. segetum Shiff) // Докл. АН СССР. 1985. Т. 204. № 6. С. 1373–1375.
- Ходжаев Ш.Т., Кучкaрова Н.Г., Джумакулов Т., Абдувахабов А.А. Феромон – против озимой совки // Защита растений. 1986. № 7. С. 34–35.
- Мосидиков М.Ш., Джумакулов Т., Турдибаев Ж.Э. Применение феромона в отряде Lepidoptera в целях усовершенствования борьбы с вредителями сельскохозяйственных культур // Сб. научн. ст. по итогам работы Межвуз. Научн. конгр. Высш. шк.: научн. исслед-я. Т. 2. М., 2020. С. 101–107.
- Sower L.L., Shorey H.H., Gaston L.K. Sex pheromones of Lepidoptera. XXVIII. Factors modifying the release rate and extractable quantity of pheromone from females of Trichoplusia ni (Noctuidae) // Annal. Entomol. Soc. Amer. 1972. V. 65. № 7. Iss. 4. P. 954–957.
- Minks A.K., Roelofs W.L., van Dijk E.S., Persoons C.J., Ritter F.J. Electroantennogram responses of two tortricid moths using two-component sex pheromones // J. Insect Physiol. 1974. V. 20. Iss. 8. Р. 1659–1665.
- Butler L.I., McDonough L.M. Insect sex pheromones: evaporation rates of acetates from natural rubber septa // J. Chem. Ecol. 1979. Т. 5. Р. 825–837.
- Schweitzer E.S., Sanes J.R., Hildebrand J.G. Ontogeny of electroantennogram responses in the moth, Manduca sexta // J. Insect Physiol. 1976. V. 22. Iss. 7. Р. 955–960.
- Wolf W.W., Toba H.H., Kishaba A.N., Green N. Antioxidants to prolong the effectiveness of cabbage looper sex pheromone in the field // J. Econom. Entomol. 1972. V. 65. Iss. 4. Р. 1039–1041.
- Бульгинская М.А., Гричанов И.Я., Шамшиев И.В. Полевой скрининг половых аттрактантов для чешуекрылых (Lepidoptera) в северо-западном регионе России // Зоол. журн. 1999. Т. 78. № 10. С. 1179–1183.
- Asma G.F., Verheggen F. Areview of Tuta absoluta (Lepidoptera) host plants and their impact on management strategies // Biotechnol. Agron. Soc. Environ. 2019. № 23(4). Р. 270–278.
- Джумакулов Т., Турдибаев Ж.Э., Кушбоев Э.Э. Синтез полового феромона рода Orgyia (Lepidoptera) // Universum: хим. и биол.: электр. научн. журн. 2021. № 3(81). С. 54–58.
- Джумакулов Т., Турдибаев Ж.Э., Жумаев М.Н. Феромонная ловушка томатной минирующей моли Tuta Absolute Meyr. // Centr. Asian J. Theor. Appl. Sci. 2021. V. 2 № 7. С. 15–18.
- Джумакулов Т., Турдибаев Ж.Э., Таджиева С.Х. Синтез полового феромона матки медоносной пчелы Apis mellifera // Universum: Хим. и биол.: электр. научн. журн. 2020. № 2(68). С. 34–36.
- Shakirzyanova G.,Kholbekov O.,Jumakulov T. The stady the behavioral functions of Miordalis pardalina under simulators pheromone influence // 21th ICS Inter. Chem. Congr., 26–28 July 2022, Tebriz, Iran, P. 1143.
- Джумакулов Т., Турдибаев Ж.Э., Мирзалиева Д.Б. Феромонная ловушка для карантинного вредителя Myiopardalis Pardalina Big. // Orient. renaissance: Innova. Educat. Natur. Social Sci. 2022. Т. 2. № . 5–2. С. 461–465.
- Джумакулов Т., Турдибаев Ж., Мардонова С. Компонент полового феромона древоточца пахучего Cossus cossus // Sci. Рrogress. 2022. № 5. С. 124–127.
- Джумакулов Т. Половые феромоны отряда чещуекрылых Lepidoptera: Gelechiidae // Gospodarka i Innowacje. 2022. Т. 22. С. 661–668.
- Джумакулов Т., Турдибаев Ж.Э., Жумаев М.Н. Синтез полового феромона совки Аutographa gamma (Lepidoptera) // Centr. Asian J. Theor. Appl. Sci. 2021. V. 2. № 5. Р. 72–76.
Дополнительные файлы














