Content of Toxic Elements after Introduction of Phosphogypsum and Litter into Slightly Eroded Agrochernozem
- Authors: Gabbasova I.M.1, Garipov T.T.1, Komissarov M.A.1, Melentyeva O.A.1
-
Affiliations:
- Ufa Institute of Biology UFRC RAS
- Issue: No 9 (2023)
- Pages: 50-55
- Section: Ecotoxicology
- URL: https://journals.rcsi.science/0002-1881/article/view/139659
- DOI: https://doi.org/10.31857/S0002188123070050
- EDN: https://elibrary.ru/OFUCYE
- ID: 139659
Cite item
Full Text
Abstract
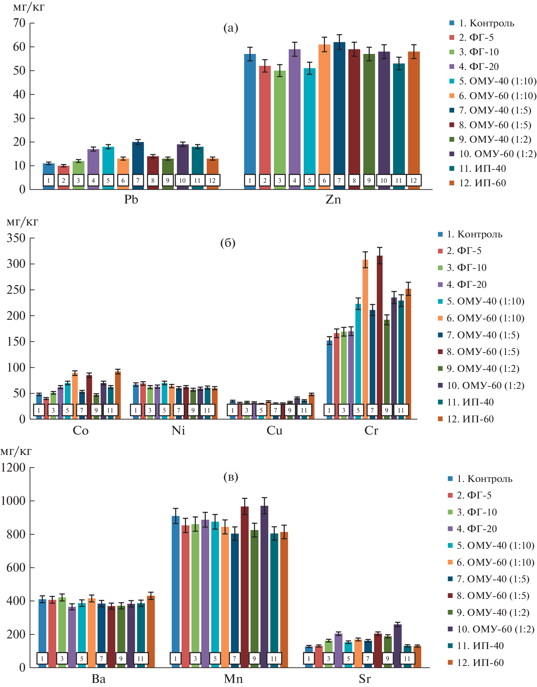
When using by-products and wastes of industrial and agricultural production (phosphogypsum (PG) and turkey litter (TL)) as a fertilizer, it is necessary to take into account not only the content of nutrients, but also environmental safety, including the presence of toxic elements. A small-plot field experiment was conducted on slightly eroded agrochernozem in the forest-steppe zone of the Bashkir Cis-Urals. PG was applied once at doses of 5, 10, and 20 t/ha; TL – in doses of 40 and 60 t/ha; organo-mineral fertilizer (OMF) – 40 and 60 t/ha at ratios of PG and TL 1 : 10, 1 : 5 and 1 : 2. After applying of PG, TL, or OMF into the soil, the content of As, Cd, Hg, Se, Mo, Sb, W, and V remained at the trace level. The content of Zn, Ni, Cu, Ba, and Mn remained practically unchanged compared to the control variant, but was significantly higher than in the initial PG. The content of Pb and Sr increased mainly with the addition of high doses of PG, while those of Co and Cr increased with high doses of TL. In general, the content of elements of three toxicity classes did not exceed the MPC, the total effect of pollution was assessed as permissible.
About the authors
I. M. Gabbasova
Ufa Institute of Biology UFRC RAS
Email: mkomissarov@mail.ru
Russia, 450054, Ufa, prosp. Oktyabrya 69
T. T. Garipov
Ufa Institute of Biology UFRC RAS
Email: mkomissarov@mail.ru
Russia, 450054, Ufa, prosp. Oktyabrya 69
M. A. Komissarov
Ufa Institute of Biology UFRC RAS
Author for correspondence.
Email: mkomissarov@mail.ru
Russia, 450054, Ufa, prosp. Oktyabrya 69
O. A. Melentyeva
Ufa Institute of Biology UFRC RAS
Email: mkomissarov@mail.ru
Russia, 450054, Ufa, prosp. Oktyabrya 69
References
- Калиниченко В.П. Эффективное использование фосфогипса в земледелии // Вестн. международ. ин-та питания раст. 2017. № 1. С. 1–33.
- Hassoune H., Lahhit M., Khalid A., Lachehab A. Application of leaching tests on phosphogypsum by infiltration-percolation // Water Sci. Technol. 2017. V. 76. № 7. P. 1844–1851. https://doi.org/10.2166/wst.2017.368
- Saadaoui E., Ghazel N., Ben Romdhane C., Massoudi N. Phosphogypsum: potential uses and problems – a review // Inter. J. Env. Stud. 2017. V. 74. № 4. P. 558–567. https://doi.org/10.1080/00207233.2017.1330582
- Мещеряков Ю.Г., Федоров С.В. Проблемы промышленной переработки фосфогипса в РФ, состояние и перспективы // Фундамент. исслед-я. 2015. № 6–2. С. 273–276.
- Воропаева З.И., Троценко И.А., Парфенов А.И. Изменение свойств коркового солонца содового засоления при проведении однократной и повторной мелиорации фосфогипсом // Почвоведение. 2011. № 3. С. 346–357.
- Габбасова И.М., Сулейманов Р.Р. Трансформация серых лесных почв при техногенном засолении и осолонцевании и в процессе их рекультивации в нефтедобывающих районах Южного Приуралья // Почвоведение. 2007. № 9. С. 1120–1128.
- Габбасова И.М., Сулейманов Р.Р., Гарипов Т.Т. Деградация и мелиорация почв при загрязнении нефтепромысловыми сточными водами // Почвоведение. 2013. № 2. С. 226–233. https://doi.org/10.7868/S0032180X13020056
- Семендяева Н.В., Елизаров Н.В. Динамика содержания натрия в профиле мелиорированных солонцов Барабы // Агрохимия. 2016. № 10. С. 12–19.
- Al-Enazy A-A., Al-Barakah F., Al-Oud S., Usman A. Effect of phosphogypsum application and bacteria co-inoculation on biochemical properties and nutrient availability to maize plants in a saline soil // Arch. Agron. Soil Sci. 2018. V. 64. № 10. P. 1394–1406. https://doi.org/10.1080/03650340.2018.1437909
- Prochnow L., Caires E., Rodrigues E.C. Phosphogypsum use to improve subsoil acidity: the Brazilian experience // Better Crops. 2016. V. 100. № 2. P. 13–15.
- Трофимов И.Т., Макарычев С.В., Иванов А.Н. Использование дефеката для известкования почв западной Сибири // Плодородие. 2006. № 4. С. 15–16.
- Belic M., Nesic L., Dimitrijevic M., Petrovic S., Ciric V., Pekec S., Vasin J. Impact of reclamation practices on the content and qualitative composition of exchangeable base cations of the solonetz soil // Aust. J. Crop Sci. 2012. V. 6. № 10. P. 1471–1480.
- Irshad M., Saleem A., Faridullah Hassan A., Pervez A., Eneji A.E. Phosphorus solubility and bioavailability from poultry litter supplemented with gypsum and lime // Canad. J. Soil Sci. 2012. V. 92. № 6. P. 893–900. https://doi.org/10.4141/cjss2012-004
- Samet M., Karray F., Mhiri N., Kamoun L., Sayadi S., Gargouri-Bouzid R. Effect of phosphogypsum addition in the composting process on the physico-chemical proprieties and the microbial diversity of the resulting compost tea // Environ. Sci. Pollut. Res. 2019. V. 26. № 21. P. 21404–21415. https://doi.org/10.1007/s11356-019-05327-3
- Габбасова И.М., Гарипов Т.Т., Сидорова Л.В., Сулейманов Р.Р., Назырова Ф.И., Баязитова Л.И., Комиссаров А.В., Яубасаров Р.Б. Использование куриного помета как удобрения на агрочерноземе Южного Предуралья // Агрохимия. 2016. № 8. С. 30–35.
- Suleymanov R., Saifullin I., Komissarov M., Gabbasova I., Suleymanov A., Garipov T. Effect of phosphogypsum and turkey litter on the erodibility of agrochernozems of the southern Cis-Ural (Russia) under artificial heavy rainfall // Soil Environ. 2019. V. 38. № 1. P. 81–89. https://doi.org/10.25252/SE/19/71730
- Peel M.C., Finlayson B.L., McMahon T.A. Updated world map of the Köppen-Geiger climate classification // Hydrol. Earth Syst. Sci. 2007. V. 11. P. 1633–1644. https://doi.org/10.5194/hess-11-1633-2007
- Протасова Н.А., Горбунова Н.С. Соединения цинка, никеля, свинца и кадмия в обыкновенных черноземах Каменной Степи при длительном применении удобрений и фосфогипса // Агрохимия. 2010. № 7. С. 52–61.
- Ендовицкий А.П., Калиниченко В.П., Иваненко А.А., Мищенко Н.А. Влияние мелиорации фосфогипсом на состояние свинца и кадмия в черноземах // Агрохимия. 2011. № 10. С. 58–69.
- Komissarov M., Gabbasova I., Garipov T., Suleymanov R., Sidorova L. The Effect of phosphogypsum and turkey litter application on the properties of eroded agrochernozem in the South Ural region (Russia) // Agronomy. 2022. V. 12. № 11. P. 2594. https://doi.org/10.3390/agronomy12112594
- Проблемы экологии: принципы их решения на примере Южного Урала / Под ред. Н.В. Старовой. М.: Наука, 2003. 288 с.
- Асылбаев И.Г., Хабиров И.К. Содержание щелочных и щелочноземельных металлов в почвах Южного Предуралья // Почвоведение. 2016. № 1. С. 29–38. https://doi.org/10.7868/S0032180X16010020
- Литвинович А.В., Лаврищев А.В. Стронций в системе удобрения (мелиоранты)–почва–природные воды–растения–животные (человек) // Агрохимия. 2008. № 5. С. 73–86.
- Любимова И.Н., Борисочкина Т.И. Влияние потенциально-опасных химических элементов, содержащихся в фосфогипсе, на окружающую среду // М.: Почв. ин-т им. им. В.В. Докучаева РАСХН, 2007. 46 с.
Supplementary files



