Experimental modeling of behavioral disorders accompanying hashimoto’s thyroiditis by means of specific immunoglobulins
- Authors: Sobolevskaia P.A.1, Gvozdeckii A.N.2, Utekhin V.J.1,3, Efimova E.V.1, Kuvarzin S.R.1, Fedotkina T.V.1,3, Churilov L.P.1,4
-
Affiliations:
- Saint Petersburg State University
- I.I. Mechnikov North-Western State Medical University, Ministry of Healthcare of the Russian Federation
- Saint Petersburg State Pediatric Medical University, Ministry of Healthcare of the Russian Federation
- Saint Petersburg Scientific Research Institute of Phthisiopulmonology
- Issue: Vol 12, No 3 (2021)
- Pages: 31-41
- Section: Original studies
- URL: https://journals.rcsi.science/pediatr/article/view/83053
- DOI: https://doi.org/10.17816/PED12331-41
- ID: 83053
Cite item
Abstract
Among the manifestations of Hashimoto’s autoimmune thyroiditis, there are various psychoneurological disorders. For more than a century, it has been known about psycho-neurological disorders associated with hypothyroidism, but along with that, there are also mental disorders in patients with thyropathies in euthyroid state. In 1966, Hashimoto’s encephalopathy was described, the pathogenesis and clear differential diagnostic criteria of which have not yet been determined. This article describes an experimental study in laboratory mice with intracisternal stereotaxic injection of IgG isolated from patients with autoimmune thyroiditis and comorbid depression or schizophrenia. A control group included animals receiving polyclonal IgG from healthy donors. Then behavioral tests were carried out, which revealed the characteristics and changes in behavior in the operated animals. Thus, animals that received immunoglobulins from patients with autoimmune thyroiditis and depression were less active in relation to the development of risk behavior. Porsolt’s tests on the 4th and 15th days after surgery showed that, regardless of the kind of the injected solutions, there was a change in the temporal relationships between the behavior patterns. In mice received IgG from patients with autoimmune thyroiditis and schizophrenia during the delayed Porsolt test, the ratio of the forms of motor activity shifted towards passive swimming. The mice received IgG from healthy donors did not demonstrate this change.
Full Text
INTRODUCTION
Autoimmune thyroiditis (AIT) is the most common form of thyroid disease, with clinical manifestations that include psycho-neurological disorders, thus their recognition and correction are becoming more and more relevant. Publications on mental disorders in thyroid aplasia and myxedema have appeared since the 1870s, and in 1937 the Scottish physician-writer, A.J. Cronin, gave a vivid artistic description of myxedema psychosis in a Welsh miner from personal experience [2]. In 1949, Richard Escher described “myxedema madness” and associated it with hypothyroidism [3]. One of the AIT outcomes is hypothyroidism, as manifested by a decreased thyroid hormone (FT3, FT4) concentration and an increased level of thyroid-stimulating hormone (TSH). Cases of psychiatric disorder at the euthyroid stage of AIT without thyroid hormone deficiency, which could explain neuropsychiatric disorders, seem interesting in psychiatric practices. However, not all disorders are caused by hypothyroidism alone. They can also involve other immunoendocrine mechanisms associated with serum bioregulators, such as antibodies (ABs), hormones, and autacoids, which serves as a basis for a thorough study of neuropsychiatric symptoms, thyroid hormone levels, thyroid peroxidase (TPO) ABs, and to thyroglobulin (TG) in the blood of patients with AIT in a state of mild hypothyroidism and/or euthyroidism to clarify the pathogenesis of its neuropsychiatric disorders. In the 1960s, Lord Walter Russell Brain and his co-authors comprehensively described, for the first time, a possible new nosological unit, which they called Hashimoto’s encephalopathy (HE) [5]. HE (still unrecognized as an independent nosological form and excluded in the International Classification of Diseases) is a relatively rare psychoneuroendocrine syndrome and is believed to be an autoimmune inflammatory disease of the brain with possible vasculitic and limbic-encephalitis components. The world literature reported HE as “steroid-responsive encephalopathy associated with AIT (SREAT).” Corticosteroid treatment for HE, in most cases (but not always), revealed a significant positive effect [6, 12]. Several hypotheses coexist in the HE pathophysiology; the most commonly interpreted it either as autoimmune cerebral vasculitis or an autoimmune cross-reaction of antithyroid ABs (according to some authors, antithyroid peroxidase ABs) against brain cells. Cases of the pathogenetic or witnessing role of ABs to thyroglobulin have been reported, as well as several types of autoantibodies of extrathyroid brain specificity (to neuronal α-enolase and other cerebral autoantigens, such as aldose reductase 1, dimethyl arginase 1, and gangliosides) and pathogenetic demyelinating process contribution. HE-like disorders have been recorded in autoimmune paraneoplastic encephalitis. General cerebral hypoperfusion, cerebral edema, direct TSH toxic effect, and thyroliberin hypersecretion can be involved in the HE pathogenesis [7, 13]. These data make clinical and pathophysiological studies in patients with psychoses combined with AIT relevant, especially without deep hypothyroidism, as well as raise the question of modeling HE in animals using the immunoglobulins of such patients. This study presents the results of an experimental study in laboratory mice using immunoglobulin G (IgG) obtained from patients with AIT and comorbid mental disorders.
The study aimed to analyze the behavioral effects of administration of polyclonal IgG taken from individuals with HE AIT (with pronounced autoimmunity to TPO) with comorbid mental disorders, using an experimental mouse model.
MATERIALS AND METHODS
For the experimental study, total IgG was preliminarily isolated from the sera of patients with AIT having comorbid schizophrenia and depression (with a titer of ABs to TPO above 100 IU/ml) by affinity chromatography on columns with protein G.
We studied 4 groups of female Balb/c mice, aged 8–10 weeks, which are obtained from the Research and Production Enterprise “Nursery for laboratory animals” of the Academicians M.M. Shemyakin and Yu.A. Ovchinnikov Institute of Bioorganic Chemistry, Russian Academy of Sciences (Pushchino, Moscow Region, Russia), which belonged to specific pathogen-free animals. The mice were kept under standard conditions in a pathogen-free zone at 23±1°C and a 12-h synchronized light cycle (7–00 to 19–00), on a diet of a special food “DeltaFix” (Novosibirsk, Russia) with free access to food and water in individual cages of the Saint Petersburg State University vivarium that meets the requirements of the Standard of Good Laboratory Practice:
- group 1 (Depr) with the administration of an IgG solution for patients with AIT and depression (n=15);
- group 2 (Schiz) with the administration of an IgG solution to patients with AIT and schizophrenia (n=15);
- group 3 (Com) with the administration of a solution of commercial polyclonal human IgG from healthy donors (Jackson, ImmunoResearch Laboratories, West Grove, PA, USA) (n=15);
- group 4 (PBS) with the administration of sodium phosphate buffer (phosphate-buffered saline [PBS]) (n=15).
All experiments were performed following the regulations in force in the European Union (86/609/EEC) governing animal research. The experiment protocol was approved by the Bioethical Committee of Saint Petersburg State University (protocol No. 131-03-3 dated March 25, 2019).
Experiment steps
- Intraventricular injection of experimental solutions. The injection was performed using a stereotaxic device (Model 68018, RWD Life Science, USA), all surgical stages were conducted under a continuous supply of isoflurane; with coordinates of the craniotomy and the area of solution administration (ML: 1, AP: 0.4, DV: 2.2) (Fig. 1) [16]. The injection volume was 2 μl, the IgG concentration in the experimental solutions was 8 mg/ml.
- Recovery after surgery (48 h).
- Conducting behavioral tests:
- open-field test (intended to study the motor and exploratory activity) [14]. The mouse is placed in the “Open Field” installation, after which the video camera records the behavior of the animals. Two parameters were assessed, namely, distance covered and time spent in the central zone;
- test with a cross-shaped elevated maze (intended to study anxiety and “risk behavior”) [11]. The mouse is placed in the “cross-shaped elevated maze” installation, after which the video camera records the behavior of the animals. Two parameters were assessed, including the time spent in the open branches of the maze and the “risk behavior,” which is manifested by the fact that the mouse enters the open branches of the maze and hangs from the edges;
- test of social interaction (designed to study the social behavior of animals) [10]. The mouse is placed in a two-chamber box with transparent partitions for 10 min; it can move freely in both areas of the box. After 24 h, an intact mouse is placed in one zone of the box under a wire cap, and an experimental animal is placed in the opposite zone of the box. The time spent in the zone with an intact animal was assessed;
- open-field test with a new subject (designed to study memory and research activity) [9]. The mouse is placed in the “Open Field” installation that comprises 2 objects equal in shape, color, and size, for 10 min. Then one of the objects is changed to another, different in shape, color, and size, and after 45 min, the experimental animal is placed again in the installation. The video camera records the animal’s behavior. Moreover, 4 parameters were assessed, including distance traveled, number of sniffs of a new object, time spent near a new object, and time spent near a familiar object;
- Porsolt’s test on days 4 and 15 after surgery (designed to analyze depressive-like behavior in animals) [4]. The mouse is placed in a cylinder with water at room temperature for 10 min, the camera records the behavior of the animal, and after which parameters, such as active swimming, passive swimming, and “freezing,” are assessed. Porsolt’s test on day 15 after the surgery was performed to assess the development of delayed changes in behavior in animals since ABs can not only have a short-term effect associated with blockade and/or stimulation of certain target molecule functions but also cumulative action based on provocation and subsequent inflammation development [1].
Statistical analysis of the obtained data
Quantitative data are presented as mean±standard error of the mean. Statistical significance was assessed using the Mann–Whitney nonparametric U test. p <0.05 was considered statistically significant. A statistical assessment of all data and a cross-sectional study of all experimental groups of animals, as well as a procedure for standardizing statistical data by logarithmic processing, were also performed. The Rv3.4.3 program was used. The mean and standard deviation (M±SD), median, 1st–3rd quartiles (Mе [Q1; Q3]), and minimum and maximum values (min; max) were used to describe the parameters. The dynamics of changes were assessed using the Wilcoxon test (V-statistic). Beta regression with mixed effects (GLMMadaptive library) was used for a comprehensive description of the dynamics and intergroup analysis [15].
Fig. 1. Intraventricular injection of the experimental solutions: a – the animal is placed in the inhalation chamber filled with isoflurane vapors; b – exposure of the scalp under continuous supply of isoflurane; c – fixation of the animal in a stereotaxic setup with continuous supply of isoflurane, followed by craniotomy along the coordinates of the mouse stereotaxic atlas; d – fixation of the cannula in the trepanned animal brain followed by the introduction of experimental solutions; e – extraction from the stereotaxic device and reconstruction of the skin
Рис. 1. Проведение внутрижелудочковой инъекции экспериментальных растворов: а — животное помещают в ингаляционную камеру, заполненную парами изофлюрана; b — обнажение кожи черепа под непрерывной подачей изофлюрана; с — фиксация животного в стереотаксической установке с непрерывной подачей изофлюрана и последующей краниотомией по координатам стереотаксического атласа мыши; d — фиксация канюли в трепанированном мозге животного с последующим введением экспериментальных растворов; е — извлечение из стереотаксической установки и реконструкция кожного покрова
Beta regression was chosen since an initially strong assumption of a normal distribution of residuals is unnecessary. Beta regression is designed to model data distributed in the interval (0; 1) [8]. Unitization with a zero minimum was used to transform the initial data. The time of the test and the group membership was the fixed effects in the repeated Porsolt’s test (see below). Unique numbers of mice were taken as a random effect. The test result was presented as the regression coefficient and its standard error or as their difference in the case of pairwise comparison [b (se)]. The characterization of the random effect and the additional parameter included the corresponding value with a 95% confidence interval. The Benjamini–Hochberg correction was used to correct the p-values in cases of multiple hypotheses testing. Results were considered statistically significant at p <0.05. All calculations were performed in the R v3.6.1 programming language.
RESULTS
Fig. 2. Open field test: a – distance moved; b – time spent in the central zone; b – time spent in the central zone. Here and in Fig. 3–8 groups of animals are marked: PBS – injection of phosphate-buffered saline; Com – injection of polyclonal IgG from healthy donors; Depr – injection of IgG from patients with autoimmune thyroiditis and depression; Schiz – injection of IgG from autoimmune thyroiditis patients with schizophrenia
Рис. 2. Тест открытого поля: а — пройденная дистанция; b — время, проведенное в центральной зоне. Здесь и на рис. 3–8 группы животных обозначены: PBS — введение фосфат-забуференного физраствора; Com — введение поликлональных IgG здоровых доноров; Depr — введение IgG больных аутоиммунным тироидитом с депрессией; Schiz — введение IgG больных аутоиммунным тироидитом с шизофренией
Fig. 3 . Social interaction test
Рис. 3. Тест социального взаимодействия
Statistically significant differences were not determined in the behavior between the studied groups of animals in the open-field test (Fig. 2), the social interaction test (Fig. 3), and the open-field test with a new object (Fig. 4).
Fig. 4. Open field with novel object test: a – distance moved; b – time of sniffing novel object; c – time, spent near known object; d – time, spent near novel object
Рис. 4. Тест открытого поля c новым предметом: а — пройденная дистанция; b — время, потраченное на обнюхивание нового предмета; c — время, проведенное у знакомого предмета; d — время, проведенное у нового предмета
In the cross-shaped elevated maze test, animals that receive IgG from patients with AIT and depression were less active in developing risk behavior than animals receiving IgG from healthy individuals (p=0.04) and animals that receiving solutions of immunoglobulins from patients with AIT and schizophrenia (p=0.006), which can be interpreted as increased anxiety in the group of mice that received IgG from patients with AIT and depression compared with those that received Ig from patients with schizophrenia [11]. Concurrently, the group of animals that received IgG from patients with AIT and schizophrenia did not statistically significantly differ from the control groups in behavioral parameters during this test (Fig. 5).
Fig. 5. Elevated plus-maze test: a – time spent in the open arms of the maze; b – the number of manifestations of risk behavior (hanging by the animal from the open arms of the labyrinth). * р ≥ 0.04; ** р ≤ 0.006
Рис. 5. Тест с крестообразным приподнятым лабиринтом: а — время, проведенное в открытых рукавах лабиринта; b — количество проявлений поведения риска (свешивания животного с открытых рукавов лабиринта). * р≥0,04; ** р≤0,006
Porsolt’s test on days 4 and 15 after the surgery did not reveal statistically significant differences between the groups of experimental animals (Fig. 6, 7).
Fig. 6. Porsolt forsed swimming test, day 4: a – time of active swimming; b – time of passive swimming; c – time of freezing
Рис. 6. Тест Порсолта на 4-й день после введения экспериментальных растворов: a — время активного плавания; b — время пассивного плавания; c — время замирания
However, to exclude the effect of postoperative maladaptation on the behavior of animals and trace the dynamics associated with the possible course and phase of neuroinflammation, Porsolt’s test was repeated twice and compared within days 4 and 15 after the surgery. Comparisons of indicators of animal behavior in this test were performed not only at each time point between groups, but also in pairs at different times after surgery in each group.
The comparison of the behavior of each group in Porsolt’s tests on days 4 and 15 after the surgery obtained data on the dynamics of the behavior of the groups (Fig. 8).
Fig. 7. Porsolt forsed swimming test, day 15: a – time of active swimming; b – time of passive swimming; c – time of freezing
Рис. 7. Тест Порсолта на 15-й день после введения экспериментальных растворов: a — время активного плавания; b — время пассивного плавания; c — время замирания
Complex beta-regression analysis was performed taking into account the group membership to test the hypothesis on the presence of significant changes in the behavior of mice with the delayed Porsolt’s test compared with the initial test (Table 1). The Com group on day 4 after injection was taken as a constant in this model. The resulting model on day 15, in general, revealed a statistically significant change over time in the behavior of groups in Porsolt’s test. The Depr and PBS mice groups significantly differed from the constants (Table 1).
Table 1 / Таблица 1
Regression analysis of the dynamics of mice behavior in the Porsolt test — a model that takes the indicators of the Com group on the 4th day as a constant
Регрессионный анализ динамики поведения мышей в тесте Порсолта — модель, принимающая за константу показатели группы Com на 4-й день
Behavior / Поведение | Model’s parameter / Параметр модели | Fixed effect [b (se)] / Фиксированный эффект [b (se)] | Random effect (sd [95% CI]) / Случайный эффект (sd [95 % ДИ]) | Distribution parameter (phi [95% CI]) / Параметр распределения (phi [95 % ДИ]) |
Active swimming / Активное плавание | Constant / Константа | 0.25 (0.22), p=0.264 | 0.00 [0.00; 4.13] | 1.43 [1.14; 1.71] |
Day 15 / 15-й день | –0.50 (0.20), p=0.012* | – | – | |
Depr | –0.66 (0.28), p=0.019* | – | – | |
PBS | –0.73 (0.28), p=0.010** | – | – | |
Schiz | –0.47 (0.28), p=0.091 | – | – | |
Passive swimming / Пассивное плавание | Constant / Константа | –1.05 (0.21), p <0.001*** | 0.07 [0.01; –0.49] | 1.98 [1.66; 2.29] |
Day 15 / 15-й день | 0.94 (0.16), p <0.001*** | – | – | |
Depr | 0.25 (0.23), p=0.273 | – | – | |
PBS | 0.58 (0.23), p=0.013* | – | – | |
Schiz | 0.42 (0.23), p=0.065 | – | – | |
Freezing / Замирание | Constant / Константа | 0.06 (0.24), p=0.801 | 0.04 [0.00; –0.01] | 1.34 [1.04; 1.65] |
Day 15 / 15-й день | –0.73 (0.21), p <0.001*** | – | – | |
Depr | 0.28 (0.29), p=0.328 | – | – | |
PBS | –0.18 (0.29), p=0.539 | – | – | |
Schiz | –0.06 (0.29), p=0.832 | – | – |
* р≥0.012; ** р≤0.010; *** р≤0.001.
An additional analysis of the dynamics of individual indicators of Porsolt’s test in groups was also performed (Table 2).
Table 2 / Таблица 2
Dynamics of indicators of the Porsolt test from 4th to 15th day by groups
Динамика показателей теста Порсолта от 4-го к 15-му дню по группам
Behavior / Поведение | Group / Группа | Day 4 [M (SD)] / 4-й день [M (SD)] | Day 15 [M (SD)] / 15-й день [M (SD)] | Comparison statistic [b (se)] / Статистика сравнения [b (se)] |
Active swimming / Активное плавание | Com | 210.3 (90.0) | 178.5 (97.0) | 0.50 (0.20), p=0.032* |
Depr | 173.0 (87.6) | 122.5 (90.5) | 0.50 (0.20), p=0.032* | |
PBS | 156.0 (59.0) | 119.7 (64.2) | 0.50 (0.20), p=0.032* | |
Schiz | 185.5 (50.2) | 130.0 (69.9) | 0.50 (0.20), p=0.032* | |
Passive swimming / Пассивное плавание | Com | 238.0 (60.1) | 306.4 (64.4) | –0.94 (0.16), p <0.001*** |
Depr | 256.1 (65.9) | 345.3 (89.2) | –0.94 (0.16), p <0.001*** | |
PBS | 285.1 (63.2) | 372.8 (61.4) | –0.94 (0.16), p <0.001*** | |
Schiz | 251.9 (55.1) | 347.7 (85.4) | –0.94 (0.16), p <0.001*** | |
Freezing / Замирание | Com | 165.5 (56.2) | 115.6 (60.0) | 0.73 (0.21), p=0.001** |
Depr | 177.3 (55.1) | 133.3 (83.0) | 0.73 (0.21), p=0.001** | |
PBS | 164.1 (52.1) | 108.2 (65.3) | 0.73 (0.21), p=0.001** | |
Schiz | 164.7 (52.4) | 123.2 (74.3) | 0.73 (0.21), p=0.001** |
* р≥0.032; ** р≥0.001; *** р <0.001.
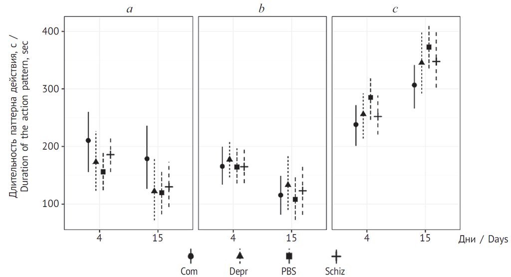
Therefore, a statistically significant difference was found in the indicators of Porsolt’s test overtime during the experiment, which was expected, since the animals in the delayed test find themselves in a familiar situation. Pairwise comparison of the groups revealed that both, on days 4 and 15, animals that received IgG from healthy donors (Com group) swam more actively than mice of the Depr and PBS groups, but not more active than the Schiz group. The rest of the groups did not differ from each other. Porsolt’s test data is appropriate to consider as a composite value. The sum of the time of active swimming, passive swimming, and freezing in the limit is equal to the test duration (10 min). Then, for each mouse, the time of each activity can be expressed, when the other two are known.
Fig. 8. Time dynamics of the results of the Porsolt test by groups, from the 4th to the 15th day after the injection: a – active swimming time; b – fading time; c – time of passive swimming. Vertical lines – 95% confidence interval
Рис. 8. Временная динамика результатов теста Порсолта по группам, с 4-го по 15-й день после инъекции: a — время активного плавания; b — время замирания; c — время пассивного плавания. Вертикальные линии — 95 % доверительный интервал
A separate comparison (Fig. 8, Tables 1, 2) does not fully characterize the dynamics since it does not take into account the composite nature of the test. An additional analysis of Porsolt’s test dynamics was performed taking this fact into account. A logarithmic transformation was performed, where the denominator was the share of time spent on passive movement and the numerator was the proportion of active swimming time or the proportion of freezing time, to take the ratios of the time proportions. Values in the negative range indicate a greater share of passive swimming, whereas those in the positive range indicate a smaller one. A hypothetical value of zero indicates timing equality. If the mouse during the test had the full time of active swimming and passive swimming, and the same number of freezing, then the relationship would be equal to zero in all cases. Table 3 presents an analysis of the dynamics of the proportions of various forms of motor activity when performing Porsolt’s test twice in the early and delayed period after injections (Table 3).
Table 3 / Таблица 3
Dynamics of the proportions of various forms of motor activity with two-fold performance of the Porsolt test – in the early and delayed period after injections
Динамика долей различных форм двигательной активности при двукратном выполнении теста Порсолта — в ранний и отсроченный период после инъекций
Behavior / Поведение | Group / Группа | Day 4 (Me [Q1; Q3]) / 4-й день (Mе [Q1; Q3]) | Day 15 (Me [Q1; Q3]) / 15-й день (Mе [Q1; Q3]) | Criterion statistics (V) / Статистика критерия (V) |
log10 (active / passive swimming) / log10 (активное/пассивное) плавание | PBS | –0.36 [–0.44; –0.15] | –0.52 [–0.74; –0.41] | 49.0, p=0.055 |
Com | 0.03 [–0.40; 0.13] | –0.27 [–0.47; –0.12] | 39.0, p=0.275 | |
Depr | –0.19 [–0.30; –0.13] | –0.58 [–0.82; –0.19] | 45.0, p=0.112 | |
Schiz | –0.10 [–0.28; –0.05] | –0.44 [–0.70; –0.21] | 49.0, p=0.055 | |
log10 (freezing / passive swimming) / log10 (замирание/пассивное) плавание | PBS | –0.31 [–0.40; –0.07] | –0.56 [–0.83; –0.32] | 48.0, p=0.064 |
Com | –0.13 [–0.29; –0.05] | –0.46 [–0.70; –0.27] | 55.0, p=0.008* | |
Depr | –0.17 [–0.28; –0.02] | –0.48 [–0.60; –0.26] | 46.0, p=0.064 | |
Schiz | –0.20 [–0.33; –0.05] | –0.54 [–0.62; –0.22] | 47.0, p=0.064 |
* р≥0.008.
Therefore, when the test is repeated in the Schiz group, the balance changes toward passive swimming (p=0.055). This is consistent with borderline significant changes in the ratio of freezing and passive swimming in this group of mice toward an increased proportion of the latter (p <0.064), which may be associated with delayed pathological changes in the brain of animals that are provoked by the administration of experimental solutions with IgG from patients with AIT and schizophrenia. As characterized in mice that received IgG from healthy donors, the shift in the ratio of forms of motor activity was of the opposite direction; as if the disorders associated with the administration of IgG did not progress, but, contrarily, resolved with time.
CONCLUSIONS
- Animals receiving IgG from patients with AIT and depression were less active in developing risk behavior than animals with IgG from healthy individuals in the cross-shaped elevated maze test. A model of depressive manifestations of HE was obtained by passive immunization with Ig of patients. This indicates the participation of ABs in the pathogenesis of HE manifestations.
- The behavior of the animals in Porsolt’s test changed in the dynamics after the surgery from days 4 and 15. Regardless of the nature of the reagent administered, a change in the temporal relationships between the patterns of behavior was registered, which manifested itself in an increased proportion of passive swimming time due to other behavioral manifestations. Concurrently, in the group receiving IgG from patients with AIT and schizophrenic symptoms, borderline significant changes were observed in the ratio of freezing and passive swimming toward an increased proportion of the latter, and contrarily, in the group receiving IgG from healthy donors, these were more toward active swimming.
- The rest of the behavioral tests did not reveal any statistically significant differences between the groups of experimental animals. This probably implies the interest not of ABs to TPO, which high content served as the basis for the selection of sera from patients with AIT, but of some minor Ig fractions of a different specificity that are not sufficiently represented in the used IgG pool, and it can alternatively be explained by the pathogenetic significance of polyhormonal and not immune disorders to induce these HE manifestations.
The study was conducted following the Decree of the Government of the Russian Federation No. 220 and agreement No. 14.W03.31.0009 on the allocation of a grant from the Government of the Russian Federation for state support of scientific research conducted under the guidance of leading scientists and contains the results of scientific research of the laboratory of autoimmunity mosaic at Saint Petersburg State University when using the Resource Center for Molecular and Cellular Technologies of the Science Park of Saint Petersburg State University.
About the authors
Polina A. Sobolevskaia
Saint Petersburg State University
Author for correspondence.
Email: dr.polinasobolevskaia@bk.ru
Researcher
Russian Federation, Saint PetersburgAnton N. Gvozdeckii
I.I. Mechnikov North-Western State Medical University, Ministry of Healthcare of the Russian Federation
Email: comisora@yandex.ru
Assistant Professor, Department of Psychiatry and Narcology
Russian Federation, Saint PetersburgVladimir J. Utekhin
Saint Petersburg State University; Saint Petersburg State Pediatric Medical University, Ministry of Healthcare of the Russian Federation
Email: utekhin44@mail.ru
MD, PhD, Associate Professor, Department of Pathologic Hpysiology Pcourses Immunopathology and Medical Informatics
Russian Federation, Saint Petersburg; Saint PetersburgEvgenia V. Efimova
Saint Petersburg State University
Email: e.v.efimova@mail.ru
PhD, Senior Researcher
Russian Federation, Saint PetersburgSavelii R. Kuvarzin
Saint Petersburg State University
Email: saveliy51@yandex.ru
младший научный сотрудник
Russian Federation, Saint PetersburgTamara V. Fedotkina
Saint Petersburg State University; Saint Petersburg State Pediatric Medical University, Ministry of Healthcare of the Russian Federation
Email: t.v.fedotkina@gmail.com
PhD, Associate Professor, Department of Histology and Embryology
Russian Federation, Saint Petersburg; Saint PetersburgLeonid P. Churilov
Saint Petersburg State University; Saint Petersburg Scientific Research Institute of Phthisiopulmonology
Email: elpach@mail.ru
MD, PhD
Russian Federation, Saint Petersburg; Saint PetersburgReferences
- Чурилов Л.П., Васильев А.Г. Патофизиология иммунной системы. – СПб.: Фолиант, 2014. – 664 c. [Churilov LP, Vasil’ev AG. Patophysiology of the Immune System. Saint Petersburg: Foliant, 2014. 664 p. (In Russ.)]
- Чурилов Л.П., Строев Ю.И., Ахманов М.С., Утехин В.И. Очерки истории медицины. – СПб.: Умный доктор, 2018. – C. 71–168. [Churilov LP, Stroev YuI, Axmanov MS, Utechin VJ. Essays on the History of Medicine. Saint Petersburg: Umnyj Doktor; 2018. P. 71-168. (In Russ.)]
- Asher R. Myxoedematous Madness. British Medical Journal. [Online] 1949;2(4627):555-562. Available from: https://DOI: 10.1136/bmj.2.4627.555 Accessed: 02.09.2021.
- Bogdanova OV, Kanekar S, D’Anci KE, Renshaw PF. Factors influencing behavior in the forced swim test. Physiol Behav. 2013;118:227-239. doi: 10.1016/j.physbeh.2013.05.012
- Brain WR, Jellinek EH, Ball K. Hashimoto’s disease and encephalopathy. Lancet. 1966;2(7462):512-514. doi: 10.1016/S0140-6736(66)92876-5
- Cantón A, de Fàbregas O, Tintoré M, et al. Encephalopathy associated to autoimmune thyroid disease: A more appropriate term for an underestimated condition? J Neurol Sci. 2000;176(1): 65-69. doi: 10.1016/s0022-510x(00)00302-6
- Castillo P, Woodruff B, Caselli R, et al. Steroid-responsive encephalopathy associated with autoimmune thyroiditis. Arch Neurol. 2006;63(2):197-202. doi: 10.1001/archneur.63.2.197
- Cribari-Neto F, Zeileis A. Beta Regression in R. Journal of Statistical Software. 2010;34:1-24. doi: 10.18637/jss.v034.i02
- Denninger JK, Smith BM, Kirby ED. Novel Object Recognition and Object Location Behavioral Testing in Mice on a Budget. Vis Exp. 2018;(141):10.3791/58593. doi: 10.3791/58593
- Kaidanovich-Beilin O, Lipina T, Vukobradovic I, et al. Assessment of Social Interaction Behaviors. J Vis Exp. 2011;(48):2473. doi: 10.3791/2473
- Kraeuter AK, Guest PC, Sarnyai Z. The Elevated Plus Maze Test for Measuring Anxiety-Like Behavior in Rodents. Methods Mol Biol. 2019;1916:69-74. doi: 10.1007/978-1-4939-8994-2_4
- Marshall GA, Doyle JJ. Long-term treatment of Hashimoto’s encephalopathy. J Neuropsychiatry Clin Neurosci. 2006;18(1):14-20. doi: 10.1176/jnp.18.1.14
- Matsunaga A, Yoneda M. Anti-NAE autoantibodies and clinical spectrum in Hashimoto’s encephalopathy. Rinsho Byori. 2009;57(3):271-278.
- Prut L, Belzung C. The open field as a paradigm to measure the effects of drugs on anxiety-like behaviors: A review. Eur J Pharmacol. 2003;463(1-3):3-33. doi: 10.1016/s0014-2999(03)01272-x
- Rizopoulos D. GLMMadaptive: Generalized Linear Mixed Models using Adaptive Gaussian Quadrature. GLMMadaptive. 2019. Available from: https://drizopoulos.github.io/GLMMadaptive/reference/GLMMadaptive.html
- Mouse Brain Atlas. [Online] Available from: http://labs.gaidi.ca/mouse-brain-atlas/?ml=-1&ap=-0.4&dv =-2.2. Accessed: 02.09.2021.
Supplementary files









