Геохимия везувиана из контактово-метасоматических пород минеральных копей Южного Урала
- Авторы: Стативко В.С.1,2, Ратьковский Г.Е.3, Кузнецов А.Б.2,1
-
Учреждения:
- Санкт-Петербургский горный университет
- Институт геологии и геохронологии докембрия РАН
- ООО «Новомэк инжиниринг»
- Выпуск: № 11 (2024)
- Страницы: 30-41
- Раздел: Научные статьи
- URL: https://journals.rcsi.science/2712-7761/article/view/278285
- DOI: https://doi.org/10.19110/geov.2024.11.3
- ID: 278285
Цитировать
Полный текст
Аннотация
Проведено минералого-геохимическое исследование везувиана из минеральных агрегатов, отобранных в Зеленцовской, Николае-Максимилиановской, Ахматовской и Шишимской копях, расположенных на внешнем контакте кусинско-копанской интрузии Южного Урала. Везувиан из силикатно-карбонатной породы (Зеленцовская копь) значительно обогащен Fe, V, Cr, Y, Zr, Th, Sn и Cl, а спектр распределения REE для него близок к таковому для гранатов из этих же пород. Везувиан из кальцит-гранатовой жилы в хлоритовом сланце (Николае-Максимилиановская копь) обогащен U, а спектры распределения REE в нем значительно дифференцированы, что объясняется выносом несовместимых элементов. Везувиан из родингитов (Ахматовская копь) обогащен Mn, Ni, Zn, Sr, Nb и летучими компонентами (F и Cl), при этом спектры распределения REE для него конформны друг другу, что свидетельствует об установившемся геохимическом равновесии в породе. Везувиан из скарна (Шишимская копь) находится в парагенезисе с гранатом, поэтому он значительно обогащен Al, LREE и водой и обеднен элементами-примесями. Содержание редких и редкоземельных элементов во всех везувианах демонстрирует признаки контактового метасоматоза: особенности их состава зависят от минерального парагенезиса и влияния пород рамы — габброидов кусинско-копанского интрузивного комплекса.
Полный текст
Введение
Минералы группы везувиана широко распространены в породах контактово-метасоматического (скарны и родингиты) и метаморфического (мраморы и известковые сланцы) генезиса. Везувианы обладают сложной структурой, упрощенная кристаллохимическая формула имеет следующий вид: X19Y13Z18T0-5O68W10 (Groat et al., 1992). В позицию Х изоморфно входят Ca2+, Na+, K+, Fe2+, REE3+, Bi3+, Pb2+ и Sb3+; в Y — Al3+, Mg2+, Fe3+, Ti4+, Fe2+, Mn3+, Mn2+, Cr3+, Cu2+ и Zn2+; в позиции Z находится Si4+, который частично может быть замещен Al3+; в позицию T могут входить B3+ и Al3+, тогда как в W — (OH)-, F-, Cl- и O2- (Groat et al., 1992; Gnos, Armbruster, 2006; Panikorovskii et al., 2016). Кроме того, согласно Strunz, Nickel (2001) и рекомендациям IMA (https://mineralogy-ima.org), для везувианов следует выделять SiO4- и Si2O7-группы, в которых Si находится в тетраэдрической позиции и диортогруппе соответственно.
Значительная часть отечественных публикаций рассматривает особенности структуры везувианов по результатам спектроскопических методов исследования (Куражсковская и др., 2005; Русаков и др., 2006; Чуканов и др., 2018). Однако появление новых методов — локальных и изотопно-геохимических — при исследовании везувианов позволило получить новую петрогенетическую информацию (Ghosh, Upadhyay, 2022; Butek et al., 2022; Wei et al., 2024) и датировать контактово-метасоматические и метаморфические процессы (Wei et al., 2022; Xing et al., 2022; Stifeeva., 2024).
В связи с этим нами впервые рассмотрены особенности химического состава везувианов по редким и редкоземельным элементам (в том числе содержание воды и галогенов) из контактово-метасоматических пород массивов кусинско-копанского интрузивного комплекса Южного Урала в известных минеральных копях: Зеленцовской, Николае-Максимилиановской, Ахматовской и Шишимской. В этих копях везувианы находятся в ассоциации с гранатом, титанитом, эпидотом, перовскитом и другими минералами. Представляемые результаты исследования дополняют аналитический банк данных по составу везувианов и вносят вклад в решение вопросов минералообразования контактово-метасоматических пород.
Характеристика геологических объектов
В Зеленцовской, Николае-Максимилиановской, Ахматовской и Шишимской копях, расположенных на контакте кусинско-копанского интрузивного комплекса с рифейскими карбонатными породами (рис. 1), впервые были описаны десятки новых минеральных видов (Долгов и др., 2007). Широко известными примерами новых минералов являются: гидроксилклиногумит, брусит, магнезиолюдвигит, лейхтенбергит, ксантофиллит, перовскит и др.
Рис. 1. Географическая (a) и геологическая (b) схемы района работ (построены В. С. Стативко на основе Госгеолкарты-200/2 листа N-40-XII (Аулов и др., 2015) с упрощениями). Условные обозначения: 1 — доломиты, известняки (D1tr); 2 — сланцы слюдисто-хлоритовые, слюдисто-кварцевые, полевошпат-кварцевые, филлиты и др. (RF2kv); 3 — аргиллиты и алевролиты (RF1bk); 4 — доломиты и доломитовые известняки, доломиты песчанистые и глинистые и др. (RF1st); 5 — песчаники полевошпат-кварцевые (RF1as); 6 — граниты (yRF2kk2); 7 — габбро, габбро-нориты, горнблендиты, клинопироксениты (vRF2kk1); 8 — контакт пород; 9 — надвиги; 10 — разломы; 11 — водоемы; 12 — минеральные копи
Fig. 1. Geographical (a) and geological (b) schemes of the work area (constructed by V. S. Stativko on the basis of Gosgeolmap-200/2 sheet N-40-XII (Aulov et al., 2015) with simplifications). Notation: 1 — dolomites, limestones (D1tr); 2 — mica-chlorite, mica-quartz, feldspar-quartz shales, phyllites, etc. (RF2kv); 3 — argillites and siltstones (RF1bk); 4 — dolomites and dolomitic limestones, sandy and clayey dolomites, etc. (RF1st); 5 — feldspar-quartz sandstones (RF1as); 6 — granites (yRF2kk2); 7 — gabbro, gabbro-norites, hornblendites, clinopyroxenites (vRF2kk1); 8 — rock contact; 9 — thrusts; 10 — faults; 11 — water bodies; 12 — mineral mines
Зеленцовская копь (55°20'16'' с.ш., 59°42'27'' в.д.) заложена в 1902 году по указанию А. А. Зеленцова (горного начальника Златоустовского округа) и на сегодняшний день находится в одном из провалов в зоне обрушения подземных выработок Кусинского месторождения ильменитовых и магнетитовых (титаномагнетитовых) руд. В бортах провалов можно наблюдать выходы габброидов кусинско-копанского интрузивного комплекса с сингенетической титаномагнетитовой рудной минерализацией, а также тела пород силикатно-карбонатного состава округлой формы. В направлении от центра силикатно-карбонатных пород к их периферии выделено зональное строение: карбонатная, брусит-карбонатная, брусит-клиногумит-везувиан-карбонатная, карбонат-везувиан-гранат-оливиновая минерализация, роговик, амфибол-эпидотизированное габбро.
Николае-Максимилиановская копь (55°19'14'' с.ш., 59°40'58'' в.д.) заложена в 1867 году и названа в честь президента Санкт-Петербургского минералогического общества герцога Н. М. Лейхтенбергского. В настоящее время эта минеральная копь представляет собой целую серию обвалившихся шахт и ряд неглубоких канав и шурфов (всего насчитывается порядка 17 небольших выработок). В выработках наиболее широко развиты минеральные ассоциации скарнов и родингитов, образованные по карбонатным породам в зонах их контакта с габброидами и гранитогнейсами кусинско-копанского комплекса.
Ахматовская копь (55°18'15'' с.ш., 59°39'21'' в.д.) заложена в 1811 году Е. Ф. Ахматовым (горным инженером). В последнее время эта минеральная копь представляет из себя множество заваленных канав и траншей с редкими обнажениями пород различного состава. Среди выходящих на дневную поверхность пород отчётливо выделяются габброиды, зоны со скарновыми минеральными ассоциациями и отдельно обнажающийся массив пород силикатно-карбонатного состава. В отвалах копи можно наблюдать обильное количество фрагментов пород с друзами граната, везувиана и минералов группы хлорита.
Шишимская копь (55°10'39'' с.ш., 59°28'58'' в.д.) заложена в 1833 году горным инженером Н. П. Барботом де Марни. В современном виде минеральная копь представляет собой небольшой частично заваленный карьер протяженностью около 100 м. Карьером вскрыты средне-, крупнозернистые габброиды, в которых развиты интенсивно амфиболитизированные и эпидотизированные участки, силикатно-карбонатные породы и различные контактово-метасоматические образования — пироксен-хлоритовые, хлорит-серпентинитовые, хлоритовые, амфибол-хлоритовые, гранат-хлоритовые, гранат-везувиановые, гранатовые и другие породы.
Методы исследований
Для проведения исследования везувианов научно-вспомогательным фондом Горного музея Санкт-Петербургского горного университета имени Екатерины II (СПГУ) из учебной коллекции предоставлено два штуфа: 605/10 — гигантокристаллический агрегат везувиана и хлорита (Ахматовская копь); 605/29 — гигантокристаллический агрегат везувиана, граната андрадит-гроссулярового ряда и кальцита в хлоритовом сланце (Николае-Максимилиановская копь). Кроме того, исследовались везувианы из отобранных авторами образцов:
Описание взаимоотношения минералов проведено на кафедре минералогии, кристаллографии и петрографии СПГУ. Фотодокументация выполнена в Горном музее на стереомикроскопе OLYMPUS SZX16 со встроенной камерой DP74.
Из каждого образца выделено по 2 кристалла везувиана, различных по цвету (оттенку), размером от 1 до 2 мм (всего исследовано 8 зерен, по 2 кристалла с объекта). Зерна были помещены в прозрачно-полированную шайбу из эпоксидной смолы диаметром 2.5 см. Шайба шлифовалась до выхода на поверхность срединных частей всех кристаллов, а затем была отполирована.
Главные элементы для центральной и краевой зоны зерен везувиана определены в Институте геологии и геохронологии докембрия Российской академии наук (ИГГД РАН) на сканирующем электронном микроскопе JEOL JSM-6510 LA с энергодисперсионным спектрометром JED-2200. Расчет кристаллохимических формул производился катионным методом (X + Y + Z = 50). Формульные коэффициенты кремния разделены между тетраэдрической позицией и диортогруппой в пропорции, равной теоретической, — 10:8 (10 соответствует количеству кремния в тетраэдрической позиции; 8 — количеству кремния в диортогруппе).
Редкие и редкоземельные элементы, а также вода и летучие компоненты в тех же участках кристаллов везувиана, что и при анализе методом SEM-EDS, определены в Ярославском филиале Физико-технологического института имени К. А. Валиева РАН (ЯФ ФТИАН РАН) на ионном микрозонде Cameca IMS-4f методом масс-спектрометрии вторичных ионов (SIMS). Измерения проводились в несколько этапов с использованием различных протоколов для определения содержания летучих компонентов (Cl, F, H2O) и набора редких (Ti, V, Cr, Mn, Sr, Y, Zr, Nb, Sn, Th, U, Zn) и редкоземельных элементов (REE). Методика измерения содержания воды и летучих компонентов приведена в работе Скублова и др. (2022). В качестве монитора перед аналитической сессией использовалось стандартное стекло NIST-610. Относительная ошибка измерения составляет 10—15 % для элементов с концентрацией > 1 ppm и 10—20 % для элементов с концентрацией 0.1—1 ppm. Предел обнаружения — 0.005—0.010 ppm. При построении графиков со спектрами распределения REE их содержание нормировалось на состав хондрита СI (McDonough, Sun, 1995).
Результаты исследования
Характеристика минеральных агрегатов. Образец (ЗК-46), отобранный в пределах Зеленцовской копи (рис. 2, a), представляет собой крупнокристаллическую гранат-везувиан-кальцитовую породу, которая может быть определена как гранат-везувиановый мрамор (силикатно-карбонатная порода или кальцифир). Кальцит обладает голубоватым оттенком и слагает большую часть породы. Везувиан травяно-зеленого цвета часто находится в срастании с коричневато-черным гранатом андрадит-гроссулярового ряда, образуя как идиоморфные, так и гипидиоморфные кристаллы. Отдельные зерна везувиана достигают нескольких миллиметров.
Штуф 605/29 (Николае-Максимилиановская копь) представляет собой хлоритовый сланец, в котором в виде жилы присутствуют кристаллы граната андрадит-гроссулярового ряда, везувиана и кальцита (рис. 2, b). В зальбандах развита медово-коричневая гранатовая оторочка, которая сменяется к центру жилы зелеными с коричневатыми оттенками кристаллами везувиана. Гранат представлен зернами с комбинацией тетрагонтриоктаэдрического и ромбододекаэдрического габитусов, везувиан — зернами бочонковидного облика с отчетливо проявленными гранями пирамид и пинакоида. Центральная часть трещины заполнена голубоватым кальцитом с характерными плоскостями спайности.
Рис. 2. Минералы группы везувиана в различных минеральных ассоциациях (копи): a — с гранатом и кальцитом (Зеленцовская); b — с гранатом и кальцитом (Николае-Максимилиановская); c — с клинохлором (Ахматовская); d — с кальцитом и гранатом (Шишимская). Аббревиатуры минералов (здесь и далее): Cal — кальцит; Chl — хлорит (клинохлор); Grt — гранат- андрадит-гроссулярового ряда
Fig. 2. Minerals of the vesuvianite group in different mineral associations (mines): a — with garnet and calcite (Zelentsovskaya); b — with garnet and calcite (Nikolaje-Maximilianovskaya); c — with clinochlor (Akhmatovskaya); d — with calcite and garnet (Shishimskaya). Abbreviations of minerals: Cal — calcite; Chl — chlorite (clinochlor); Grt — garnet of andradite-grossular series
Образец 605/10 (Ахматовская копь) может быть определен как родингит (рис. 2, c), так как везувиан находится в срастании с кристаллами хлорита (клинохлора) — на гранях минералов развиты индукционные штриховки, указывающие на их совместный рост. Клинохлор болотно-зеленого цвета слагает гиганточешуйчатые агрегаты из индивидов гексагонально-пластинчатого или таблитчатого облика. Большая часть кристаллов везувиана обладает зеленым цветом с коричневатыми оттенками, при этом встречаются единичные зерна медово-коричневого цвета. Все кристаллы везувиана имеют призматический облик с проявленными гранями пирамид.
Мелко-, среднекристаллическая порода (ШК-43), отобранная в пределах Шишимской копи (рис. 2, d), преимущественно состоит из везувиана с гранатом и кальцитом. Данная порода диагностирована как гранат-везувиановый скарн. Везувианы обладают травяно-зеленым цветом и призматическим обликом, среди кристаллов спорадически развиты красновато-коричневые гранаты андрадит-гроссулярового ряда. Кальцит, как правило, встречается в виде сахаровидного агрегата голубоватого оттенка.
Характеристика состава везувианов по главным элементам.
В результате исследования в режиме композиционного контраста (BSE — обратнорассеянные электроны) для всех кристаллов установлено однородное строение. Рассчитанные формульные коэффициенты приведены в табл. 1, кристаллохимические формулы — в табл. 2.
Таблица 1. Состав везувианов из пород минеральных копей Южного Урала (SEM-EDS)
Table 1. Composition of vesuvianites from rocks of mineral mines of the Southern Urals (SEM-EDS)
Копь Mine | Зеленцовская Zelentsovskaya | Николае-Максимилиановская Nikolaje-Maximilianovskaya | Ахматовская Akhmatovskaya | Шишимская Shishimskaya | ||||||||||||
Порода Rocks | Grt-Ves-мрамор / marble | Grt-Ves-Cal-жила / vein | Ves-Chl-родингит / rodingite | Ves-Grt-скарн / skarn | ||||||||||||
№ п.п. | 1-ц | 1-к | 2-ц | 2-к | 3-ц | 3-к | 4-ц | 4-к | 5-ц | 5-к | 6-ц | 6-к | 7-ц | 7-к | 8-ц | 8-к |
Оксиды главных элементов (мас. %) / Oxides of basic elements (wt. %) | ||||||||||||||||
SiO2 | 38.05 | 37.63 | 38.31 | 38.10 | 37.89 | 38.35 | 37.63 | 37.79 | 37.54 | 38.59 | 37.91 | 37.70 | 38.13 | 37.18 | 37.44 | 38.04 |
TiO2 | 1.45 | 1.66 | 1.51 | 1.41 | 1.95 | 1.19 | 1.42 | 1.62 | 1.25 | 1.49 | 1.82 | 1.74 | 0.45 | 0.26 | 0.17 | 0.22 |
Al2O3 | 12.86 | 13.27 | 12.90 | 12.51 | 13.21 | 12.79 | 15.63 | 15.07 | 15.77 | 15.67 | 13.34 | 12.95 | 17.45 | 18.25 | 18.08 | 18.49 |
FeO | 7.25 | 6.87 | 6.58 | 7.16 | 6.16 | 6.50 | 5.21 | 5.62 | 4.81 | 4.38 | 5.73 | 6.01 | 3.70 | 5.31 | 4.88 | 5.24 |
MnO | н.п.о. | н.п.о. | н.п.о. | н.п.о. | н.п.о. | н.п.о. | 0.16 | н.п.о. | 0.11 | н.п.о. | н.п.о. | н.п.о. | н.п.о. | 0.10 | 0.13 | 0.17 |
MgO | 3.07 | 3.02 | 3.58 | 2.99 | 3.77 | 3.82 | 2.79 | 2.68 | 2.70 | 2.63 | 3.42 | 3.58 | 2.55 | 1.17 | 1.30 | 0.97 |
CaO | 37.31 | 37.56 | 37.12 | 37.82 | 36.88 | 37.36 | 37.16 | 37.22 | 37.82 | 37.24 | 37.78 | 38.03 | 37.71 | 37.73 | 38.01 | 36.87 |
∑общ | 99.99 | 100.01 | 100.00 | 99.99 | 99.86 | 100.01 | 100.00 | 100.00 | 100.00 | 100.00 | 100.00 | 100.01 | 99.99 | 100.00 | 100.01 | 100.00 |
Формульные коэффициенты / Formula coefficients | ||||||||||||||||
Si4+ | 18.13 | 17.92 | 18.20 | 18.17 | 18.01 | 18.18 | 17.82 | 17.94 | 17.75 | 18.26 | 17.99 | 17.89 | 17.93 | 17.61 | 17.71 | 18.03 |
Ti4+ | 0.52 | 0.59 | 0.54 | 0.51 | 0.70 | 0.42 | 0.51 | 0.58 | 0.44 | 0.53 | 0.65 | 0.62 | 0.16 | 0.09 | 0.06 | 0.08 |
Al3+ | 7.22 | 7.45 | 7.22 | 7.03 | 7.40 | 7.15 | 8.72 | 8.43 | 8.79 | 8.74 | 7.46 | 7.24 | 9.67 | 10.19 | 10.08 | 10.33 |
Fe2+ | 0.42 | 0.21 | 0.31 | 0.23 | 0.25 | - | 0.44 | 0.69 | 0.09 | 1.06 | 0.01 | - | 0.30 | 0.69 | 0.54 | 1.63 |
Fe3+ | 2.47 | 2.53 | 2.30 | 2.63 | 2.19 | 2.58 | 1.63 | 1.54 | 1.82 | 0.68 | 2.26 | 2.38 | 1.15 | 1.41 | 1.39 | 0.45 |
Mn2+ | - | - | - | - | - | - | 0.06 | 0.04 | - | - | - | - | 0.04 | 0.05 | 0.07 | |
Mg2+ | 2.18 | 2.14 | 2.54 | 2.13 | 2.67 | 2.70 | 1.97 | 1.90 | 1.90 | 1.86 | 2.42 | 2.53 | 1.79 | 0.83 | 0.92 | 0.69 |
Ca2+ | 19.05 | 19.16 | 18.89 | 19.32 | 18.78 | 18.97 | 18.85 | 18.93 | 19.16 | 18.88 | 19.21 | 19.33 | 19.00 | 19.14 | 19.26 | 18.73 |
Примечание. Здесь и далее: ц — центр зерна, к — край зерна, н.п.о. — ниже порога обнаружения
Note. Here and below ц — center of the grain, к — edge of the grain, н.п.о. — below the detection threshold
Таблица 2. Кристаллохимические формулы везувианов из пород минеральных копей Южного Урала
Table 2. Crystallochemical formulas of vesuvianites from rocks of mineral mines of the Southern Urals
№ п.п. | Рассчитанные кристаллохимические формулы везувианов Calculated crystal chemical formulas of vesuvianites |
1-ц | Ca19.05(Al7.22Fe2.47Mg2.18Ti0.52Fe0.42)12.81[Si1.01O4]10[Si2.01O7]4(OH,F)10 |
1-к | Ca19.16(Al7.45Fe2.53Mg2.14Ti0.59Fe0.21)12.92[Si1.00O4]10[Si1.99O7]4(OH,F)10 |
2-ц | Ca18.89(Al7.22Fe2.30Mg2.54Ti0.54Fe0.31)12.91[Si1.01O4]10[Si2.02O7]4(OH,F)10 |
2-к | Ca19.32(Al7.03Fe2.63Mg2.13Ti0.51Fe0.23)12.52[Si1.01O4]10[Si2.02O7]4(OH,F)10 |
3-ц | Ca18.97(Al7.40Fe2.19Mg2.67Ti0.70Fe0.25)13.21[Si1.00O4]10[Si2.00O7]4(OH,F)10 |
3-к | Ca18.97(Al7.15Fe2.58Mg2.70Ti0.42)12.85[Si1.01O4]10[Si2.02O7]4(OH,F)10 |
4-ц | Ca18.85(Al8.72Mg1.97Fe1.63Ti0.51Fe0.44Mn0.06)13.33[Si0.99O4]10[Si1.98O7]4(OH,F)10 |
4-к | Ca18.93(Al8.43Mg1.90Fe1.54Ti0.58Fe0.69)13.14[Si1.00O4]10[Si1.99O7]4(OH,F)10 |
5-ц | Ca19.16(Al8.79Mg1.90Fe1.82Ti0.53Fe0.09)13.08[Si0.99O4]10[Si1.97O7]4(OH,F)10 |
5-к | Ca18.88(Al8.74Mg1.86Fe1.06Fe0.68Ti0.53)12.86[Si1.01O4]10[Si2.03O7]4(OH,F)10 |
6-ц | Ca19.21(Al7.46Mg2.42Fe2.26Ti0.65Fe0.01)12.80[Si1.00O4]10[Si2.00O7]4(OH,F)10 |
6-к | Ca19.33(Al7.24Mg2.53Fe2.38Ti0.62)13.07[Si0.99O4]10[Si1.99O7]4(OH,F)10 |
7-ц | Ca19.00(Al9.67Mg1.79Fe1.15Fe0.30Ti0.16)13.07[Si1.00O4]10[Si1.99O7]4(OH,F)10 |
7-к | Ca19.14(Al10.19Fe1.41Mg0.83Fe0.69Ti0.09Mn0.04)13.25[Si0.98O4]10[Si1.96O7]4(OH,F)10 |
8-ц | Ca19.26(Al10.08Fe1.39Mg0.92Fe0.54Ti0.06Mn0.05)13.04[Si0.98O4]10[Si1.97O7]4(OH,F)10 |
8-к | Ca18.73(Al10.33Fe1.63Mg0.69Fe0.45Ti0.08Mn0.07)13.24[Si1.00O4]10[Si2.00O7]4(OH,F)10 |
Минеральный вид изученных кристаллов соответствует везувиану. При этом индивиды из пород Зеленцовской, Николае-Максимилиановской и Ахматовской копей являются Ti-содержащими разновидностями. Стоит отметить некоторые принципиальные отличия состава везувианов из контактово-метасоматических пород, вскрытых минеральными копями Южного Урала:
Характеристика состава везувианов по редким элементам.
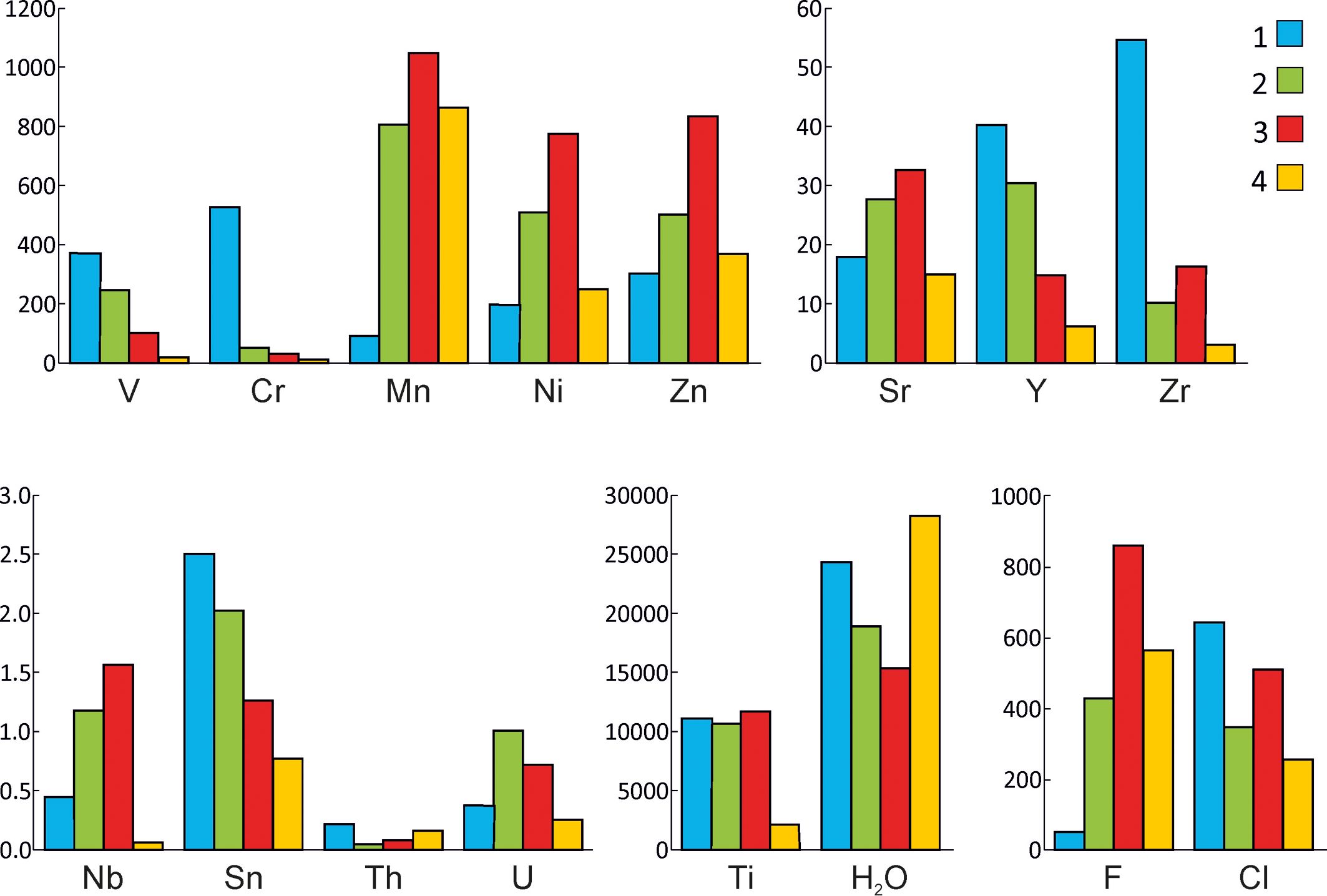
Везувиан из гранат-везувиан-кальцитовой породы (Зеленцовская копь) относительно везувиана из других пород отличается наибольшей концентрацией V, Cr, Y, Zr, Th, Sn и Cl, при наименьшей концентрации Mn, Ni, Zn и F (рис. 3, табл. 3).
Таблица 3. Содержание редких и редкоземельных элементов и летучих компонентов в везувианах из пород минеральных копей Южного Урала (SIMS), ppm
Table 3. Content of trace and rare-earth elements and volatile components for vesuvianites from rocks of mineral mines of the Southern Urals (SIMS), ppm
Копь Mine | Зеленцовская Zelentsovskaya | Николае-Максимилиановская Nikolaje-Maximilianovskaya | Ахматовская Akhmatovskaya | Шишимская Shishimskaya | ||||||||||||
Порода Rocks | Grt-Ves-мрамор / marble | Grt-Ves-Cal-жила / vein | Ves-Chl-родингит / rodingite | Ves-Grt-скарн / skarn | ||||||||||||
№ п.п. | 1-ц | 1-к | 2-ц | 2-к | 3-ц | 3-к | 4-ц | 4-к | 5-ц | 5-к | 6-ц | 6-к | 7-ц | 7-к | 8-ц | 8-к |
Редкие элементы / Rare elements | ||||||||||||||||
Ti | 11220 | 10884 | 10297 | 11530 | 16873 | 9880 | 10829 | 10364 | 10026 | 9454 | 15192 | 13226 | 1891 | 1155 | 2270 | 2829 |
V | 374 | 381 | 364 | 372 | 92.3 | 291 | 225 | 273 | 82.9 | 89.6 | 117 | 127 | 16.3 | 19.4 | 25.4 | 27.2 |
Cr | 489 | 514 | 546 | 603 | 66.2 | 103 | 42.4 | 30.4 | 29.2 | 25.0 | 52.4 | 40.6 | 13.3 | 8.20 | 15.6 | 17.6 |
Mn | 86.3 | 86.4 | 119 | 108 | 581 | 637 | 1022 | 984 | 1298 | 1259 | 772 | 840 | 695 | 934 | 911 | 828 |
Ni | 205 | 260 | 30.7 | 206 | 604 | 399 | 493 | 531 | 749 | 464 | 886 | 803 | 329 | 101 | 245 | 264 |
Zn | 280 | 329 | 76.6 | 336 | 549 | 503 | 505 | 493 | 754 | 556 | 918 | 927 | 197 | 366 | 441 | 381 |
Sr | 16.8 | 16.6 | 18.9 | 20.8 | 30.4 | 37.6 | 24.8 | 23.3 | 31.4 | 28.6 | 34.7 | 33.8 | 7.83 | 10.2 | 20.0 | 19.5 |
Y | 44.7 | 37.6 | 43.1 | 27.4 | 13.9 | 56.2 | 36.8 | 24.0 | 12.1 | 9.95 | 21.6 | 17.2 | 3.00 | 6.16 | 6.66 | 6.01 |
Zr | 54.8 | 53.9 | 55.0 | 57.3 | 2.51 | 5.22 | 14.0 | 19.3 | 16.0 | 10.9 | 16.9 | 30.0 | 25.3 | 1.76 | 3.12 | 2.28 |
Nb | 0.35 | 0.43 | 0.65 | 0.45 | 0.41 | 2.79 | 1.01 | 1.34 | 1.13 | 0.99 | 2.00 | 3.00 | 1.48 | 0.04 | 0.04 | 0.07 |
Sn | 2.33 | 2.37 | 2.82 | 2.61 | 2.96 | 2.78 | 1.26 | 1.23 | 0.56 | 0.91 | 1.61 | 1.72 | 0.37 | 1.24 | 1.11 | 0.42 |
Th | 0.21 | 0.21 | 0.20 | 0.41 | 0.09 | 0.04 | н.п.о | н.п.о | 0.02 | 0.07 | н.п.о | 0.04 | 0.15 | 0.22 | 0.07 | 0.15 |
U | 0.71 | 0.37 | 0.15 | 0.40 | 0.95 | 0.72 | 1.04 | 1.82 | 0.44 | 0.22 | 1.12 | 0.98 | 4.76 | 0.26 | 0.26 | 0.19 |
Редкоземельные элементы / Rare earth elements | ||||||||||||||||
La | 2.62 | 0.84 | 0.92 | 0.78 | 42.7 | 10.4 | 12.6 | 14.9 | 13.0 | 10.2 | 22.7 | 16.8 | 296 | 11.8 | 11.5 | 9.66 |
Ce | 9.63 | 5.36 | 6.73 | 3.37 | 94.4 | 17.9 | 16.6 | 11.9 | 28.3 | 23.7 | 45.8 | 35.0 | 171 | 16.9 | 16.4 | 15.8 |
Pr | 2.03 | 1.33 | 1.92 | 0.77 | 13.0 | 2.20 | 2.08 | 1.19 | 3.38 | 3.27 | 6.64 | 4.06 | 11.9 | 1.82 | 1.97 | 1.89 |
Nd | 13.6 | 11.2 | 15.2 | 5.77 | 58.9 | 10.9 | 9.13 | 3.52 | 13.3 | 12.3 | 23.0 | 15.4 | 21.3 | 6.42 | 7.32 | 7.26 |
Sm | 5.38 | 3.50 | 4.82 | 1.90 | 10.8 | 5.97 | 1.63 | 0.48 | 2.41 | 2.19 | 3.15 | 2.72 | 1.50 | 1.26 | 1.49 | 1.33 |
Eu | 2.57 | 2.07 | 1.49 | 1.45 | 7.72 | 7.55 | 1.31 | 1.19 | 2.62 | 1.98 | 3.51 | 3.17 | 5.90 | 1.39 | 0.83 | 0.65 |
Gd | 5.50 | 4.05 | 7.16 | 2.56 | 8.25 | 8.04 | 1.45 | 0.34 | 2.12 | 1.90 | 2.88 | 2.69 | 1.88 | 2.56 | 1.48 | 0.69 |
Dy | 6.40 | 6.41 | 8.62 | 3.69 | 4.50 | 8.34 | 3.32 | 1.24 | 1.84 | 1.79 | 2.62 | 2.05 | 0.82 | 1.67 | 1.05 | 0.92 |
Er | 5.17 | 3.99 | 5.01 | 2.30 | 1.66 | 6.13 | 2.58 | 1.82 | 0.91 | 1.01 | 1.72 | 1.50 | 0.04 | 0.44 | 0.75 | 0.46 |
Yb | 4.52 | 4.36 | 4.86 | 3.69 | 2.02 | 5.48 | 3.40 | 3.68 | 1.44 | 0.99 | 2.44 | 2.08 | 0.17 | 0.15 | 0.19 | 0.52 |
Lu | 0.71 | 0.63 | 0.58 | 0.56 | 0.26 | 0.77 | 0.44 | 0.52 | 0.24 | 0.21 | 0.34 | 0.32 | 0.03 | 0.06 | 0.06 | 0.06 |
Летучие компоненты / Volatile components | ||||||||||||||||
H2O | 24959 | 23499 | 31369 | 22185 | 23482 | 19775 | 17816 | 17348 | 15645 | 17789 | 14900 | 13843 | 42521 | 38830 | 16222 | 17320 |
F | 163 | 46.7 | 58.1 | 48.6 | 780 | 725 | 112 | 133 | 916 | 1115 | 728 | 806 | 1753 | 586 | 479 | 548 |
Cl | 1248 | 554 | 732 | 561 | 2174 | 510 | 160 | 188 | 416 | 409 | 745 | 605 | 2116 | 277 | 212 | 235 |
Геохимические показатели / Geochemical indices | ||||||||||||||||
ÓREE | 58.1 | 43.7 | 57.3 | 26.8 | 244.2 | 83.7 | 54.6 | 40.8 | 69.6 | 59.6 | 115 | 85.8 | 510 | 44.5 | 43.1 | 39.2 |
ÓLa-Nd | 27.9 | 18.7 | 24.7 | 10.7 | 209.0 | 41.4 | 40.5 | 31.5 | 58.1 | 49.5 | 98.1 | 71.3 | 500 | 37.0 | 37.2 | 34.6 |
ÓGd-Lu | 22.3 | 19.4 | 26.2 | 12.8 | 16.7 | 28.8 | 11.2 | 7.61 | 6.54 | 5.90 | 9.99 | 8.63 | 2.95 | 4.87 | 3.54 | 2.64 |
LREE HREE | 1.25 | 0.96 | 0.94 | 0.84 | 12.53 | 1.44 | 3.62 | 4.14 | 8.87 | 8.38 | 9.82 | 8.26 | 169 | 7.60 | 10.5 | 13.1 |
Се / Се* | 1.01 | 1.23 | 1.22 | 1.05 | 0.97 | 0.91 | 0.78 | 0.69 | 1.03 | 0.99 | 0.90 | 1.03 | 0.70 | 0.88 | 0.83 | 0.90 |
Eu / Eu* | 1.44 | 1.67 | 0.77 | 2.01 | 2.49 | 3.32 | 2.60 | 8.85 | 3.53 | 2.96 | 3.55 | 3.58 | 10.69 | 2.36 | 1.70 | 2.08 |
Th / U | 0.30 | 0.57 | 1.35 | 1.02 | 0.10 | 0.06 | 0.00 | 0.00 | 0.05 | 0.34 | 0.00 | 0.04 | 0.03 | 0.84 | 0.26 | 0.79 |
Рис. 3. Медианное содержание (ppm) редких элементов и летучих компонентов в везувиане различных минеральных ассоциаций (порода, копь): 1 — с гранатом и кальцитом (гранат-везувиановый мрамор, Зеленцовская); 2 — с гранатом и кальцитом (гранат-везувиан-кальцитовая жила на хлоритовом сланце, Николае-Максимилиановская); 3 — с клинохлором (родингит, Ахматовская); 4 — с кальцитом и гранатом (гранат-везувиановый скарн, Шишимская)
Fig. 3. Median content (ppm) of rare elements and volatile components in vesuvianite of different mineral associations (rock, mine): 1 — with garnet and calcite (garnet-vezuvianite marble, Zelentsovskaya); 2 — with garnet and calcite (garnet-vezuvianite-calcite vein on chlorite schist, Nikolaje-Maximilianovskaya); 3 — with clinochlore (rodingite, Akhmatovskaya); 4 — with calcite and garnet (garnet-vezuvianite skarn, Shishimskaya)
Примечательно, что от центра к периферии этих кристаллов содержание Y, H2O, F и Cl уменьшается, а V, Cr, Ni и Zn увеличивается. Везувиан из жилы (ассоциация с гранатом и кальцитом) в хлоритовом сланце (Николае-Максимилиановская копь) среди всех рассматриваемых везувианов обладает максимальной концентрацией U и минимальной Th. При этом в направлении от центра к краю зерен содержание Ti, Sn и H2O уменьшается, а V, Zr, Nb и Zn увеличивается. Везувиан из родингита (парагенезис с клинохлором, Ахматовская копь) характеризуется наибольшими содержаниями Mn, Ni, Zn, Sr, Nb и F, содержание Ti, Cr, Ni, Sr, Y, U и Cl от центра зерен понижается с увеличением концентрации V и F к их периферии. Везувиан из гранат-везувианового скарна (Шишимская копь) обладает максимальным содержанием H2O при минимальных содержаниях Cr, V, Sr, Sn, Y, Zr, Nb, Ti и Cl, от центра к краю кристаллов содержание Zr и U уменьшается, а V и Th увеличивается.
Установлены положительные тренды состава везувианов в координатах соотношения таких редких элементов, как Ni и Zn, Cr и V, Y и Sn, Nb (рис. 4). Везувианы из жилы в хлоритовом сланце (Николае-Максимилиановская копь) и родингита (Ахматовская копь) характеризуются повышенными концентрациями Ni и Zn, а везувианы из силикатно-карбонатной поры (Зеленцовская копь) и скарна (Шишимская копь) — пониженными. Схожая закономерность установлена для Nb. При этом для содержания Nb точки состава везувианов из силикатно-карбонатной породы демонстрируют отрицательную корреляцию.
Рис. 4. Бинарные диаграммы содержания (ppm) элементов-примесей и летучих компонентов везувиана различных минеральных ассоциаций (порода, копь): 1 — с гранатом и кальцитом (гранат-везувиановый мрамор, Зеленцовская); 2 — с гранатом и кальцитом (гранат-везувиан кальцитовая жила на хлоритовом сланце, Николае-Максимилиановская); 3 — с клинохлором (родингит, Ахматовская); 4 — с кальцитом и гранатом (гранат-везувиановый скарн, Шишимская)
Fig. 4. Binary diagrams (ppm) of the impurity elements and volatile components contents of vesuvianite of different mineral associations (rock, mine): 1 — with garnet and calcite (garnet-vezuvianite marble, Zelentsovskaya); 2 — with garnet and calcite (garnet-vezuvianite-calcite vein on chlorite schist, Nikolaje-Maximilianovskaya); 3 — with clinochlore (roddingite, Akhmatovskaya); 4 — with calcite and garnet (garnet-vezuvianite skarn, Shishimskaya)
Везувианы из жилы в хлоритовом сланце и из родингита обладают промежуточными и сопоставимыми между собой значениями по содержанию Cr и V, при наибольших у везувианов из силикатно-карбонатных пород и наименьших — из скарнов. Близкий по характеру тренд установлен для Y и Sn, однако содержания этих элементов в везувианах из таковых отличны между собой: содержание Y и Sn выше в везувианах из хлоритового сланца, чем из родингита.
Фигуративные точки рассматриваемых везувианов демонстрируют слабые положительные корреляции в координатах содержания Cl и суммы REE и отрицательные — в координатах содержания Sr и H2O. Стоит отметить, что содержание REE и Cl в везувианах из силикатно-карбонатной породы и родингита сопоставимо. При этом первые характеризуются большим содержанием воды и меньшей концентрацией Sr, а последние, напротив, — меньшим содержанием воды и большей концентрацией Sr.
Характеристика состава везувианов по редкоземельным элементам.
Медианное содержание REE в везувиане из гранат-везувиан-кальцитовой породы (Зеленцовская копь) составляет 50.5 ppm (минимальное — 26.8 ppm, максимальное — 58.11 ppm). Центральные части кристаллов в сравнении с краевыми более обогащены REE. Отношение LREE/HREE — 0.95. Спектры распределения REE обладают выположенным характером с незначительно выпуклой формой в области LREE (рис. 5, a). На спектрах проявлены редуцированная положительная Ce-аномалия (Се/Се* = 1.14; здесь и далее приведены медианные значения) и хорошо проявленная положительная Eu-аномалия (Eu/Eu* = = 1.67 — для большинства точек; Eu/Eu* = 0.77 — для единичного анализа).
Рис. 5. Спектры распределения редкоземельных элементов везувиана в различных минеральных ассоциациях (порода, копь): a — с гранатом и кальцитом (гранат-везувиановый мрамор, Зеленцовская); b — с гранатом и кальцитом (гранат-везувиан кальцитовая жила на хлоритовом сланце, Николае-Максимилиановская); c — с клинохлором (родингит, Ахматовская); d — с кальцитом и гранатом (гранат-везувиановый скарн, Шишимская)
Fig. 5. Distribution spectra of rare-earth elements of vesuvianite in different mineral associations (rock, mine): a — with garnet and calcite (garnet-vezuvianite marble, Zelentsovskaya); b — with garnet and calcite (garnet-vezuvianite-calcite vein on chlorite schist, Nikolaje-Maximilianovskaya); c — with clinochlore (roddingite, Akhmatovskaya); d — with calcite and garnet (garnet-vezuvianite skarn, Shishimskaya)
Для везувиана из жилы (ассоциация с гранатом и кальцитом) в хлоритовом сланце (Николае-Максимилиановская копь) медианное содержание REE составляет 69.1 ppm при минимальном и максимальном значениях 40.9 и 244 ppm соответственно. Суммарное содержание REE преобладает в центральных частях кристаллов везувиана. Положительное значение отношения LREE/HREE (3.88) свидетельствует о преобладании содержания LREE над содержанием HREE. Большинство спектров распределения REE значительно дифференцированы и характеризуются встречным наклоном спектров HREE к LREE, образуя профиль «крылья птицы», со слабым общим отрицательным наклоном (рис. 5, b). Ce-аномалия (Се/Се* = = 0.84) на спектрах проявлена слабо с отрицательным знаком, тогда как Eu-аномалия (Eu/Eu* = 2.96) значима и имеет положительный знак.
Везувиан из родингитов (парагенезис с клинохлором, Ахматовская копь) отличается максимальным медианным содержанием REE — 77.7 ppm (минимальное — 59.5 ppm, максимальное — 114.8 ppm). Отношение LREE/HREE (8.63) свидетельствует о фракционировании REE с преобладанием LREE над HREE. При этом спектры распределения REE конформны друг другу, обладают отрицательным наклоном с прогибом в области HREE (рис. 5, c). На всех спектрах отмечается положительная Eu-аномалия (Eu/Eu* = 3.54), Ce-аномалия отсутствует (Се/Се* = 1.01).
Для везувиана из гранат-везувианового скарна (Шишимская копь) медианное содержание REE составляет 43.8 ppm при минимальном и максимальном значении 39.3 и 510 ppm соответственно. Содержание REE отличается наибольшим фракционированием LREE над HREE (рис. 5, d), отношение LREE/HREE — 11.8. Спектры распределения REE обладают отрицательным наклоном и характеризуются положительной Eu-аномалией (Eu/Eu* = 2.22) и слабой отрицательной Ce-аномалией (Се/Се* = 0.86).
Обсуждение результатов
Зеленцовская, Николае-Максимилиановская, Ахматовская и Шишимская копи расположены вдоль границы среднерифейского кусинско-копанского клинопироксенит-габбро-гранитного интрузивного комплекса с нижнерифейскими осадочными породами саткинской свиты. Копями вскрыты породы со схожими минеральными ассоциациями и парагенезисами, которые могли быть образованы в результате близких региональных геологических процессов (Стативко и др., 2023; Степанов и др., 2020; Мясников 1954). Однако рассматриваемые в работе везувиансодержащие минеральные агрегаты, хотя и обладают схожим набором породообразующих минералов, по всей видимости, являются результатом различных этапов одного геологического процесса — контактового метасоматоза.
Рис. 6. Спектры распределения редкоземельных элементов: 1—4 — для рассматриваемых везувианов из копей: 1 — гранат-везувианового мрамора (Зеленцовская); 2 — гранат-везувиан-кальцитовой жилы на хлоритовом сланце (Николае-Максимилиановская); 3 –родингита (Ахматовская); 4 — гранат-везувианового скарна (Шишимская); 5—6 — для везувиана из родингитов: 5 — Западных Карпат, Словакия (Butek et al., 2022); 6 — баженовского офиолитового комплекса Среднего Урала, Россия (Ерохин, 2012); 7—8 — для образцов граната (Стативко и др., 2023): 7 — из гранат-везувианового мрамора Зеленцовской копи; 8 — пироксен-гранатового скарна Николае-Максимилиановской копи; 9 — для габбро Копанского массива кусинско-копанского интрузивного комплекса (Kholodnov et al., 2018)
Fig. 6. Distribution spectra of rare-earth elements: 1—4 — for the considered vesuvianite from (mine): 1 — garnet-vezuvianite marble (Zelentsovskaya); 2 — garnet-vezuvianite-calcite vein on chlorite schist (Nikolaje-Maximilianovskaya); 3 — rodingite (Akhmatovskaya); 4 — garnet-vezuvian skarn (Shishimskaya); 5—6 — for vesuvianite from rodingites: 5 — Western Carpathians, Slovakia (Butek et al., 2022); 6 — Bazhenov ophiolite complex of the Middle Urals, Russia (Erokhin, 2012); 7—8 — for garnet from (Stativko et al., 2023): 7 — garnet-vezuvianite marble of the Zelentsovskaya mine; 8 — pyroxene-garnet skarn of the Nikolaje-Maximilianovskaya mine; 9 — for gabbro of the Kopan massif (Kholodnov et al., 2018)
Везувианы из гранат-везувиан-кальцитовой породы (Зеленцовская копь), расположенной в массиве кусинско-копанских габброидов, наиболее контрастно отличаются от везувианов из других объектов уровнем содержания редких и редкоземельных элементов. Они наиболее железистые, значительно обогащены V, Cr, Y, Zr, Th, Sn и Cl. Сопоставимое содержание V ранее было получено для гранатов из этих же пород, однако концентрация Cr в гранатах на порядок ниже, а Y и Zr — в несколько раз выше (Стативко и др., 2023). При этом спектры распределения REE везувиана и граната имеют схожую конфигурацию (рис. 6), что свидетельствует об одинаковых условиях их образования (Скублов, 2005). Содержание Cr, Y, Zr и Th в везувианах сравнимо с концентрацией этих элементов в габбро Копанского массива кусинско-копанского комплекса (Kholodnov et al., 2018). Стоит также отметить, что содержание V в габбро в несколько раз выше, чем в везувиане из гранат-везувиан-кальцитовой породы. Кроме того, в габброидах Копанского массива были описаны амфиболы и слюды с высоким содержанием Cl (до 4.8 и до 2.3 мас. % соответственно), развитие которых связывают с мобилизацией летучих компонентов из нижнерифейских карбонатных толщ саткинской свиты при содержании Cl в исходном расплаве около 400 ppm (Shagalov et al., 2021). Это соизмеримо со значениями для везувиана из пород Зеленцовской копи. Вероятнее всего, на образование этих везувианов повлияли как парагенетический минерал (гранат), так и вмещающие породы (габброиды) в результате контактового метасоматоза.
Несмотря на различия состава везувианов из гранат-везувиан-кальцитовой жилы (Николае-Максимилиановская копь), везувиан-хлоритового родингита (Ахматовская копь) и гранат-везувианового скарна (Шишимская копь), характер спектров распределения REE также указывает на их образование при схожих условиях (Скублов, 2005). Спектры распределения REE рассматриваемых везувианов близки к таковым для везувианов из родингитов и для габбро Копанского массива кусинско-копанского интрузивного комплекса (рис. 6). Однако спектры распределения REE для везувианов из родингитов обладают, как правило, либо выположенным характером спектров, либо незначительным положительным наклоном (Ерохин, 2012; Butek et al., 2022), а спектры распределения REE для габбро обладают слабой положительной Eu-аномалией. Характер наклона спектров распределения REE может нести информацию о кислотно-щелочной среде при образовании минералов (Inguaggiato et al., 2015; Huang et al., 2021). Отрицательный наклон спектров распределения REE, установленный для изученных везувианов, может быть либо индикатором щелочной среды при их образовании, либо результатом наследования REE от интрузии.
Известно, что состав породообразующих и акцессорных минералов и характер спектров распределения REE в них отражают информацию об условиях образования и минеральном парагенезисе (Horie et al., 2008; Ismail et al., 2014). Везувиан, образованный в гидротермальной жиле после кристаллизации граната, содержит минимальное количество кремнезема и кальция, обладает максимальной концентрацией U, спектры распределения REE в нем значительно дифференцированы и характеризуются встречным наклоном. Везувиан из родингита парагенен с хлоритом, который практически не накапливает в себе редкие и редкоземельные элементы (Tan et al., 2021), поэтому везувиан, напротив, обогащен Mn, Ni, Zn, Sr, Nb и летучими компонентами (F и Cl). Везувиан из скарна находится в парагенезисе с гранатом, поэтому он обогащен глиноземом и обеднен магнием и транзитными элементами, обладает максимальной концентрацией H2O.
Примечательно, что на всех спектрах распределения REE для рассматриваемых везувианов в разной степени проявлена положительная Eu-аномалия, тогда как Ce-аномалия отсутствует. Положительная Eu-аномалия при контактовом метасоматозе или гидротермальном процессе может быть обусловлена наследованием Eu из минералов вмещающей породы (Horie et al., 2008; Ismail et al., 2014). Таким образом, выраженная положительная Eu-аномалия, установленная для всех кристаллов везувиана, обусловлена унаследованием Eu из пород рамы — габброидов кусинско-копанского комплекса, а ее амплитуда — вероятно, отражение интенсивности влияния вмещающих пород и/или индикатор «удаленности» от магматического источника.
Заключение
Минералого-геохимическое исследование везувиана из минеральных агрегатов, отобранных в Зеленцовской, Николае-Максимилиановской, Ахматовской и Шишимской копях Южного Урала, позволяет сделать следующие выводы:
- Везувиан из силикатно-карбонатных пород (Зеленцовская копь) образовался одновременно с гранатом, поэтому и тот и другой значительно обогащены Fe, V, Cr, Y, Zr, Th, Sn и Cl, а спектры распределения REE для них схожи;
- Везувиан, который кристаллизовался в гидротермальной жиле в хлоритовом сланце (Николае-Максимилиановская копь) после граната обогащен U, спектры распределения REE в этих везувианах значительно дифференцированы, что объясняется выносом несовместимых элементов в ходе контактового метасоматоза;
- Везувиан из родингитов (Ахматовская копь) образовался в парагенезисе с хлоритом, поэтому обогащен Ni, Zn, Sr, Nb и летучими компонентами F и Cl, а спектры распределения REE для него конформны друг другу, что говорит об установившемся геохимическом равновесии в породе;
- Везувиан из скарна (Шишимская копь), находящийся в парагенезисе с гранатом, значительно обогащен Al, LREE и водой, обеднен V, Cr, Ni, Zn, Sr, Y, Zr, Nb, Sn, Ti и Cl, что отражает процессы гидротермальной переработки.
Содержание редких и редкоземельных элементов в рассмотренных везувианах демонстрирует взаимосвязь с содержанием этих элементов в парагенных минералах и вмещающих габброидах. Это предполагает, что изученные везувианы образованы в результате процессов контактового метасоматоза, а особенности их состава зависят от минерального парагенезиса и влияния пород рамы — габброидов кусинско-копанского интрузивного комплекса.
Работа выполнена в рамках темы государственного задания ИГГД РАН FMUW-2021-0003.
Авторы признательны рецензентам за рекомендации, которые позволили улучшить рукопись, а также О. Л. Галанкиной (ИГГД РАН), С. Г. Симакину и Е. В. Потапову (ЯФ ФТИАН) за проведение аналитических исследований.
Об авторах
В. С. Стативко
Санкт-Петербургский горный университет; Институт геологии и геохронологии докембрия РАН
Автор, ответственный за переписку.
Email: vlad.stativko@mail.ru
Россия, Санкт-Петербург; Санкт-Петербург
Г. Е. Ратьковский
ООО «Новомэк инжиниринг»
Email: vlad.stativko@mail.ru
Россия, Санкт-Петербург
А. Б. Кузнецов
Институт геологии и геохронологии докембрия РАН; Санкт-Петербургский горный университет
Email: vlad.stativko@mail.ru
Россия, Санкт-Петербург; Санкт-Петербург
Список литературы
- Аулов Б. Н., Владимирцева Ю. А., Гвоздик Н. И., Королькова З. Г., Левин Ф. Д., Липаева А. В., Поташова М. Н., Самозванцев В. А. Государственная геологическая карта Российской Федерации. М-б 1:200 000. Изд-е 2-е. Сер. Южно-Уральская. Л. N-40-XII — Златоуст. Объяснит. записка. 2015. М.: МФ ВСЕГЕИ, 365 с.
- Aulov B. N., Vladimirtseva Yu. A., Gvozdik N. I., Korol’kova Z. G., Levin F. D., Lipaeva A. V., Potashova M. N., Samozvantsev V. A. State Geological Map of the Russian Federation. Scale 1:200,000. Second ed. Series South Ural. Sheet N-40-XII — Chrysostom. Explanatory note. 2015, Moscow: MF VSEGEI, 365 p. (in Russian)
- Долгов В. С., Середа М. С., Козлов А. В. Минералы Златоустовского Урала // Златоуст: Фото-Мир, 2007.
- Dolgov V. S., Sereda M. S., Kozlov A. V. Minerals of Zlatoust Ural. Zlatoust: Photo-Mir, 2007. (in Russian)
- Ерохин Ю. В. Везувиан баженовского офиолитового комплекса // Вестник Уральского отделения Российского минералогического общества. 2012. № 9. С. 55— 62.
- Erokhin Yu. V. Vesuvianite of the Bazhenov ophiolite complex. Bulletin of the Ural Branch of the Russian Mineralogical Society, 2012, No. 9, pp. 55—62. (in Russian)
- Куражсковская В. С., Боровикова Е. Ю., Алферова М. С. Инфракрасные спектры, параметры элементарной ячейки и оптический знак борсодержащих везувианов и вилюитов // Записки Российского минералогического общества. 2005. Т. 134. № 6. С. 82—91.
- Kurazhkovskaya V. S, Borovikova E. Yu., Alferova M. S. Infrared spectra, unit cell parameters and optical character of boron-bearing vesuvianites and wiluites. Proceedings of the Russian Mineralogical Society, 2005, V. 134, No. 6, pp. 82—91. (in Russian)
- Мясников В. С. Минеральные копи Шишимских и Назямских гор // Минералогия Урала. 1954. Т. 1. С. 250—268.
- Myasnikov V. S. Mineral mines of the Shishimskiy and Nazyamskiy mountains. Mineralogy of the Urals, 1954, V. 1, pp. 250—268. (in Russian)
- Русаков В. С, Ковальчук Р. В., Боровикова Е. Ю., Куражковская В. С. Состояние атомов железа в высоких везувианах по данным мёссбауэровской спектроскопии // Записки Российского минералогического общества. 2006. Т. 135. № 4. С. 91—101.
- Rusakov V. S., Kovalchuk R. V., Borovikova E. Yu., Kurazhkovskaya V. S. State of iron atoms in high vesuvianites according to Mössbauer spectroscopy. Proceedings of the Russian Mineralogical Society, 2006, V. 135, No. 4, pp. 91—101. (in Russian)
- Скублов С. Г. Геохимия редкоземельных элементов в породообразующих метаморфических минералах. СПб.: Наука, 2005. 147 с.
- Skublov S. G. Geochemistry of rare-earth elements in rock-forming metamorphic minerals. St. Petersburg.: Nauka, 2005, 147 p. (in Russian)
- Скублов С. Г., Гаврильчик А. К., Березин А. В. Геохимия разновидностей берилла: сравнительный анализ и визуализация аналитических данных методами главных компонент (PCA) и стохастического вложения соседей с t-распределением (t-SNE) // Записки Горного института. 2022. Т. 255. С. 455—469. doi: 10.31897/PMI.2022.40
- Skublov S. G., Gavrilchik A. K., Berezin A. V. Geochemistry of beryl varieties: comparative analysis and visualization of analytical data by principal component analysis (PCA) and t-distributed stochastic neighbor embedding (t-SNE). Journal of Mining Institute, 2022, V. 255, pp. 455—469. doi: 10.31897/PMI.2022.40 V (in Russian)
- Стативко В. С., Скублов С. Г., Смоленский В. В., Кузнецов А. Б. Редкие и редкоземельные элементы в грана-тах из силикатно-карбонатных образований кусинско-копанского комплекса (Южный Урал) // Литосфера. 2023. Т. 23. № 2. С. 225—246. doi: 10.24930/1681-9004-2023-23-2-225-246
- Stativko V. S., Skublov S. G., Smolenskiy V. V., Kuznetsov A. B. Trace and rare-earth elements in garnets from silicate-carbonate formations of the Kusa-Kopan complex (Southern Urals). Lithosphere, 2023, V. 23, No. 2, pp. 225—246. doi: 10.24930/1681-9004-2023-23-2-225-246 (in Russian)
- Чуканов Н. В., Паникоровский Т. Л., Червонный А. Д. О связи кристаллохимических характеристик минералов группы везувиана с их ИК-спектрами // Записки Российского минералогического общества. 2018. Т. 147. № 1. С. 112—128.
- Chukanov N. V., Panikorovskii T. L., Chervonnyi A. D. About relationship between crystal-chemical characteristics of vesuvianite-group minerals with their ir spectra. Proceedings of the Russian Mineralogical Society, 2018, V. 147, No. 1, pp. 112—128. (in Russian)
- Butek J., Grégoire M., Spišiak J., Duchene S., Kopáčik R. On the origin of vesuvianite-rich rodingites from the Western Carpathians, Slovakia // Lithos. 2022. Vol. 432. P. 106—902. doi: 10.1016/j.lithos.2022.106902
- Ghosh U., Upadhyay D. The retrograde evolution of F-rich skarns: Clues from major and trace element chemistry of garnet, scheelite, and vesuvianite from the Belka Pahar wollastonite deposit, India. // Lithos, 2022, V. 422, pp. 106—750. DOI: 10.1016/j. lithos.2022.106750
- Gnos E., Armbruster T. Relationship among metamorphic grade, vesuvianite “rod polytypism” and vesuvianite composition // American Mineralogist. 2006. Vol. 91. No. 5—6. P. 862—870. doi: 10.2138/am.2006.1973
- Groat L. A., Hawthorne F. C., Ercit T. S. The chemistry of vesuvianite // Canadian Mineralogist. 1992. Vol. 30. No. 1. P. 19—48.
- Horie K., Hidaka H., Gauthier-Lafaye F. Elemental distribution in apatite, titanite and zircon during hydrothermal alteration: Durability of immobilization mineral phases for actinides // Physics and Chemistry of the Earth. Parts A/B/C. 2008. Vol. 33. No. 14—16. P. 962—968. DOI:10. 1016/j.pce.2008.05.008
- Huang J., Tan W., Liang X., He H., Ma L., Bao Z., Zhu J. REE fractionation controlled by REE speciation during formation of the Renju regolith-hosted REE deposits in Guangdong Province, South China // Ore Geology Reviews. 2021. Vol. 134. P. 104—172.
- Inguaggiato C., Censi P., Zuddas P., Londoño J. M., Chacón Z., Alzate D., Brusca L., D’alessandro W. Geochemistry of REE, Zr and Hf in a wide range of pH and water composition: The Nevado del Ruiz volcano-hydrothermal system (Colombia) // Chemical geology. 2015. Vol. 417. P. 125—133.
- Ismail R., Ciobanu C. L., Cook N. J., Teale G. S., Giles D., Mumm A. S., Wade B. Rare earths and other trace elements in minerals from skarn assemblages, Hillside iron oxide-copper-gold deposit, Yorke Peninsula, South Australia // Lithos. 2014. Vol. 184. P. 456—477. DOI:10.1016/j. lithos.2013.07.023
- Kholodnov V. V., Shardakova G. Yu., Fershtater G. B., Shagalov E. S. The Riphean magmatism preceding the opening of Uralian paleoocean: geochemistry, isotopes, age, and geodynamic implications // Geodynamics & Tectonophysics. 2018. Vol. 9. No. 2. P. 365—389. doi: 10.5800/GT-2018-9-2-0351
- McDonough W.F., Sun S.S. The composition of the Earth // Chemical geology. 1995. Vol. 120. No. 3—4. P. 223—253. doi: 10.1016/0009-2541(94)00140-4
- Panikorovskii T. L., Krivovichev S. V., Galuskin E. V., Shilovskikh V. V., Mazur A. S., Bazai A. V. Si-deficient, OH-substituted, boron-bearing vesuvianite from Sakha-Yakutia, Russia: a combined single-crystal, 1H MAS-NMR and IR spectroscopic study // European Journal of Mineralogy. 2016. Vol. 28. No. 5. P. 931—941. doi: 10.1127/ejm/2016/0028-2570
- Shagalov E. S., Holodnov V. V., Sustavov S. G., Kiseleva D. V. Cl-rich amphiboles and micas in rocks of the Middle Riphean Kusa-Kopan complex of mafic layered intrusions (southern Urals, Russia) // Mineralogy and Petrology. 2021. Vol. 115. P. 391—409. doi: 10.1007/s00710-021-00742-2
- Stepanov S., Palamarchuk R., Kutyrev A., Lepekhina E., Sharpenok L., Shagalov E., Minervina E. Nature of Perovskite Mineralization of Silicate-Carbonate Veins in the Margins of Kusinsko-Kopanskaya Layered Intrusion (South Urals, Russia) // Minerals. 2024. Vol. 14. No. 5. P. 478. DOI:10. 3390/min14050478
- Stifeeva M. V., Panikorovskii T. L., Larin A. M., Salnikova E. B., Kotov A. B., Bortnikov V. V. Vesuvianite, a New U–Pb Geochronometer Mineral for Dating Ore Deposits // Doklady Earth Sciences. Pleiades Publishing. 2024. P. 1—6. doi: 10.1134/S1028334X2460292X
- Strunz H., Nickel E. H. Strunz mineralogical tables // Chemical-Structural Mineral Classification System. 2001. Schweizerbart. Vol. 9.
- Tan W., Mao Q., Yu M. et al. Mineralization of the Tuwu Porphyry Cu deposit in east-ern Tianshan, NW China: insights from in situ trace elements of chlorite and pyrite // Frontiers in Earth Science. 2021. Vol. 9. P. 648177. doi: 10.3389/feart.2021.648177
- Wei Q. D., Yang Y. H., Wang H., Wu S. T., Yang M., Huang C., Xu L., Xie L. W., Yang J. H., Wu F. Y. In situ Sr–Nd isotope analysis of vesuvianite by LA-MC-ICP-MS: methodology and application // Journal of Analytical Atomic Spectrometry. 2024. Vol. 39. No. 5. P. 1284—1301. doi: 10.1039/d3ja00440f
- Wei Q. D., Yang M., Romer R. L., Wang H., Yang Y. H., Zhao Z. F., Wu S. T., Xie L. W., Huang C., Xu L., Yang J. H., Wu F. Y. In situ U-Pb geochronology of vesuvianite by LA-SF-ICP-MS // Journal of Analytical Atomic Spectrometry. 2022. Vol. 37. No. 1. P. 69—81. doi: 10.1039/d1ja00303h
- Xing L., Peng J., Lv Y., Tang Y., Gao J. Vesuvianite: A potential U-Pb geochronometer for skarn mineralization — a case study of tungsten and tin deposits in South China // Chemical Geology. 2022. Vol. 607. P. 121017.
Дополнительные файлы







