Математическое моделирование переноса плазмы в винтовом магнитном поле
- Авторы: Лазарева Г.Г.1, Оксогоева И.П.1, Судников А.В.2
-
Учреждения:
- Российский университет дружбы народов
- Федеральное государственное бюджетное учреждение науки Институт ядерной физики им. Г.И. Будкера Сибирского отделения Российской академии наук
- Выпуск: Том 514, № 1 (2023)
- Страницы: 129-134
- Раздел: ИНФОРМАТИКА
- URL: https://journals.rcsi.science/2686-9543/article/view/247109
- DOI: https://doi.org/10.31857/S2686954323600945
- EDN: https://elibrary.ru/ZDEUXI
- ID: 247109
Цитировать
Полный текст
Аннотация
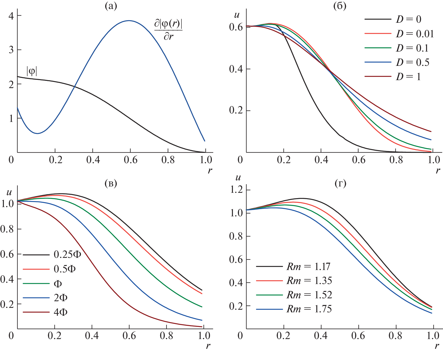
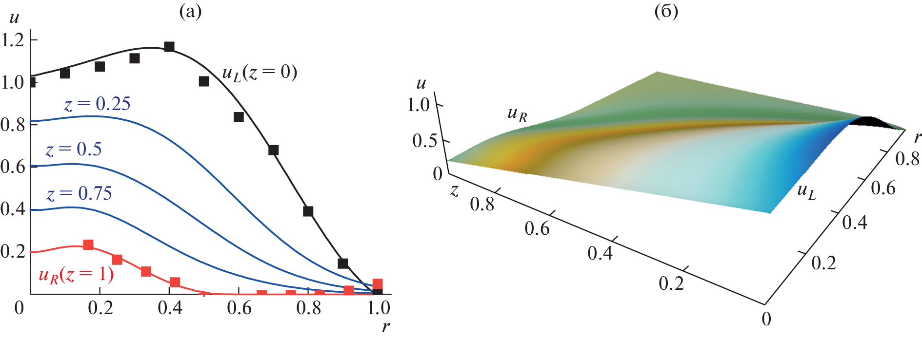
В работе представлена новая математическая модель переноса плазмы в спиральном магнитном поле. Удержание плазмы в установке осуществляется за счет передачи импульса от магнитного поля с винтовой симметрией вращающейся плазме. Математическая модель основана на стационарном уравнении переноса плазмы в аксиально-симметричной постановке. Модель использует экспериментальные данные, полученные на установке СМОЛА, созданной в ИЯФ им. Г.И. Будкера СО РАН. Полученное с помощью численного моделирования распределение концентрации вещества подтвердило эффект удержания, полученный в эксперименте. Получены зависимости интегральных характеристик вещества от глубины гофрировки магнитного поля, диффузии и потенциала плазмы. Математическая модель разработана для предсказания параметров удержания плазмы в проектируемых установках со спиральным магнитным полем.
Ключевые слова
Об авторах
Г. Г. Лазарева
Российский университет дружбы народов
Автор, ответственный за переписку.
Email: lazareva-gg@rudn.ru
Россия, Москва
И. П. Оксогоева
Российский университет дружбы народов
Автор, ответственный за переписку.
Email: oksogi@mail.ru
Россия, Москва
А. В. Судников
Федеральное государственное бюджетное учреждение науки Институт ядерной физики им. Г.И. Будкера Сибирского отделения Российской академии наук
Автор, ответственный за переписку.
Email: a.v.sudnikov@inp.nsk.su
Россия, Новосибирск
Список литературы
- Самарский А.А. Численные методы решения многомерных задач механики и физики // Ж. вычисл. матем. и матем. физ. 1980. Т. 20. № 6. С. 1416–1464.
- Брушлинский К.В., Савельев В.В. Магнитные ловушки для удержания плазмы // Матем. Моделирование. 1999. Т. 11. № 5. С. 3–36.
- Днестровский Ю.Н., Костомаров Д.П. Математическое моделирование плазмы // Серия “Компьютеры в физике”. М.: Физматлит, 1993.
- Бэдсел Ч., Ленгдон А. Физика плазмы и численное моделирование. М.: Энергоатомиздат, 1989.
- Сигов Ю.С. Вычислительный эксперимент: мост между прошлым и будущим физики плазмы. Избранные труды. М.: Физматлит, 2001.
- Березин Ю.А., Дудникова Г.И. Численные модели плазмы и процессы пересоединения. М.: Наука, 1985.
- Брушлинский К.В., Кондратьев И.А. Математические модели равновесия плазмы в тороидальных и цилиндрических магнитных ловушках // Препринты ИПМ им. М.В. Келдыша. 2018. 020. 20.
- Cohen B., Barnes D., Dawson J., Hammett G., Lee W., Kerbel G., Leboeuf J., Liewer P., Tajima T., Waltz R. The numerical tokamak project: simulation of turbulent transport // Comput. Phys. Commun. 1995. V. 87. I. 1–2. P. 1–15.
- Грубер Р., Дегтярев Л.М., Купер А., Мартынов А.А., Медведев С.Ю., Шафранов В.Д. Трехмерная модель равновесия плазмы с полоидальным представлением магнитного поля // Физика плазмы. 1996. Т. 22. № 3. С. 204.
- Бурдаков А.В., Поступаев В.В. Многопробочная ловушка: путь от пробкотрона Будкера к линейному термоядерному реактору // У.Ф.Н. 2018. Т. 188. № 6. С. 651–671.
- Bagryansky P.A., Beklemishev A.D., Postupaev V.V. Encouraging Results and New Ideas for Fusion in Linear Traps // J. Fusion Energy. 2019. V. 38. P. 162–181.
- Berendeev E.A., Dimov G.I., Dudnikova G.I., Ivanov A.V., Lazareva G.G., Vshivkov V.A. Mathematical and experimental simulation of a cylindrical plasma target trap with inverse magnetic mirrors // J. Plasma Phys. 2015. V. 81. I. 5.
- Перепёлкина А.Ю., Левченко В.Д., Горячев И.А. Трехмерный кинетический код CFHall для моделирования замагниченной плазмы // Матем. Моделирование. 2013. Т. 25. № 11. С. 98–110.
- Астерлин В.Т., Бурдаков А.В., Поступаев В.В. Моделирование динамики плотного излучающего плазменного сгустка для установки ГОЛ-3-II // Сиб. журн. индустр. матем. 1998. Т. 1. № 2. С. 45–50.
- Калиткин Н.Н., Костомаров Д.П. Математические модели физики плазмы (обзор) // Матем. моделирование. 2006. Т. 18. № 11. С. 67–94.
- Beklemishev A.D. Helicoidal System for Axial Plasma Pumping in Linear Traps // Fusion Sci. Technol. 2013. V. 63. № 1. P. 355–357.
- Postupaev V.V., Sudnikov A.V., Beklemishev A.D., Ivanov I.A. Helical mirrors for active plasma flow suppression in linear magnetic traps // Fusion Eng. Des. 2016. V. 106. P. 29–31.
- Sudnikov A.V., Ivanov I.A., Inzhevatkina A.A., Larichkin M.V., Lomov K.A., Postupaev V.V., Tolkachev M.S., Ustyuzhanin V.O. Plasma flow suppression by the linear helical mirror system // J. Plasma Phys. 2022. V. 88. № 1.
- Beklemishev A.D. Radial and axial transport in trap sections with helical corrugation// AIP Conference Proceedings. 2016. V. 1771.
- Lazareva G.G., Oksogoeva I.P., Sudnikov A.V. Mathematical Modeling of Plasma Transport in a Helical Magnetic Field // Lobachevskii J. Math. 2022. V. 43. № 10. P. 2685–2691.
- Брушлинский К.В., Жданова Н.С. Расчет осесимметричных МГД-течений в канале с внешним продольным магнитным полем // Ж. вычисл. матем. и матем. физ. 2006. Т. 46. № 3. С. 550–559.
- Sudnikov A.V., Beklemishev A.D., Postupaev V.V., Burdakov A.V., Ivanov I.A., Vasilyeva N.G., Kuklin K.N., Sidorov E.N. SMOLA device for helical mirror concept exploration // Fusion Eng. Des. 2017. V. 122. P. 86–93.
- Сковородин Д.И., Черноштанов И.С., Амиров В.Х. и др. Газодинамическая многопробочная ловушка ГДМЛ. Н.: Препринт ИЯФ им. Г.И. Будкера СО РАН, 2023.
- Самарский А.А., Николаев Е.С. Методы решения сеточных уравнений. М.: Наука, 1978.
- Самарский А.А., Мажукин В.И., Матус П.П., Шишкин Г.И. Монотонные разностные схемы для уравнений со смешанными производными// Матем. Моделирование. 2001. Т. 13. № 2. С. 17–26.
Дополнительные файлы






