Люминесценция комплексов лантанидов в наноанионитах
- Авторы: Королева М.В.1, Ягов В.В.1, Оленин А.Ю.1, Долгоносов А.М.1, Хамизов Р.Х.1
-
Учреждения:
- Институт геохимии и аналитической химии им. В.И. Вернадского Российской академии наук
- Выпуск: Том 518, № 1 (2024)
- Страницы: 41-44
- Раздел: ФИЗИЧЕСКАЯ ХИМИЯ
- URL: https://journals.rcsi.science/2686-9535/article/view/281533
- DOI: https://doi.org/10.31857/S2686953524050048
- EDN: https://elibrary.ru/JGSHHV
- ID: 281533
Цитировать
Полный текст
Аннотация
Впервые показана возможность применения наноанионитов в качестве организованной среды для усиления люминесценции комплексов редкоземельных элементов (РЗЭ). При введении золя, образованного наночастицами анионита, в раствор, содержащий теноилтрифторацетон (ТТА) и следовые количества солей европия(III) или самария(III), анионы ТТА концентрируются в фазе ионита и связывают катионы РЗЭ с образованием отрицательно заряженных комплексов, что сопровождается повышением интенсивности люминесценции на три порядка величины.
Полный текст
Некоторые комплексы лантанидов характеризуются высокой интенсивностью люминесценции, характерными структурными спектрами и длительными временами жизни возбужденного состояния, что находит широкое применение в химическом анализе и сенсорах. Указанные свойства обусловлены внутримолекулярным переносом энергии с ароматического лиганда на ион лантанида («эффект антенны»), при этом триплетный уровень лиганда должен быть немного выше резонансного уровня иона лантанида. Условием высокого квантового выхода люминесценции комплексов редкоземельных элементов (РЗЭ) также является удаление молекул воды из координационной сферы катиона. Кроме того, повышению интенсивности свечения способствует использование организованных сред (мицелл, модифицированных сорбентов), обеспечивающих жесткость окружения люминесцирующих комплексов, что снижает вероятность безызлучательной дезактивации возбужденного состояния [1, 2]. Перспективным видом организованных сред могли бы стать гелевые иониты, представляющие собой жесткие трехмерные сетки с иммобилизованными ионами и полостями, доступными для противоионов. Однако промышленные иониты, образованные макроскопическими зернами, характеризуются слишком медленной кинетикой обмена, что особенно существенно для громоздких комплексов РЗЭ с ароматическими лигандами. Интересной альтернативой могут стать наноиониты – тонкие фракции продукта механического диспергирования промышленных ионобменных смол [3]. Например, золи наночастиц анионита (НИА) характеризуются высокой стабильностью в водных растворах и низкой интенсивностью собственной люминесценции, что создает предпосылки для их применения в качестве организованной среды для усиления люминесценции [3–5].
Цель настоящей работы состояла в том, чтобы на примере люминесценции комплексов Eu(III) и Sm(III) с теноилтрифторацетоном (ТТА) в золях НИА продемонстрировать возможности диспергированных ионообменных смол в качестве организованных сред.
Аквазоли НИА, состоящие из частиц размером от 100 до 300 нм, получали из полистирольного высокоосновного анионита АВ-17-8 по методике, описанной в работе [3]. Концентрация исходного водного раствора НИА соответствовала содержанию 5 мМ групп четвертичного аммония в гидроксидной форме. Водные растворы солей европия(III) и самария(III) готовили растворением навесок EuCl3·6H2O и SmCl3·6H2O в дистиллированной воде. ТТА растворяли в дистиллированной воде при нагревании.
Образцы растворов помещали в кварцевые кюветы с длиной оптического пути 1 см. Спектры возбуждения и люминесценции регистрировали при помощи спектрофлуориметра JobinYvon 3CS (Франция). Относительная суммарная погрешность при регистрации оптических спектров не превышала 2%. Все измерения проводили при комнатной температуре.
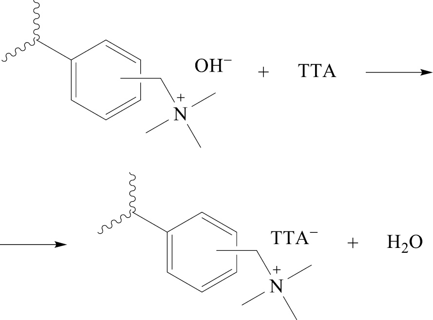
Опыты проводили с разбавленными золями НИА: во всех опытах концентрация ТТА многократно превышала концентрацию НИА (функциональных групп НИА). В этих условиях гидроксидная форма НИА переходит в теноилтрифторацетонатную (схема 1): этот процесс можно рассматривать как ионный обмен или как нейтрализацию слабой кислоты в фазе ионита.
Схема 1. Реакция ОН-формы НИА с водным раствором ТТА.
На рис. 1 приведены спектры возбуждения и люминесценции растворов, содержащих Eu3+ и TTA в отсутствие (рис. 1а) и в присутствии НИА (рис. 1б); условия измерений идентичны, значения интенсивности можно сравнивать. В спектрах люминесценции наблюдаются характерные для иона Eu3+ полосы, соответствующие переходам с уровня 5D0 на подуровни 7Fj (j = 0, 1, 2, 3, 4) [1] с глобальным максимумом при 613 нм (j = 2), причем введение золя НИА в систему Eu3+–TTA вызывает повышение интенсивности люминесценции в 2000 раз.
Рис. 1. Спектры возбуждения (кривая 1, λлюм = 613 нм) и люминесценции (кривая 2, λвозб = 360 нм) водных растворов, содержащих 40 мкМ Eu(III) и 400 мкМ ТТА в отсутствие НИА (а) и в присутствии 50 мкМ НИА (б).
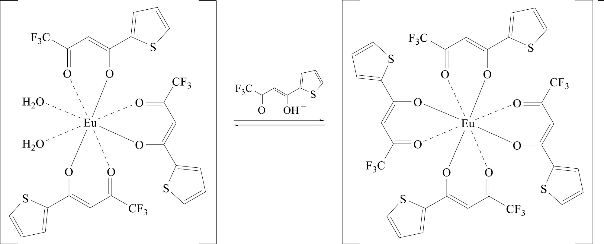
Высокая интенсивность люминесценции в системе НИА–ТТА–Eu3+ наблюдается только при большом избытке β-дикетона. При добавлении НИА равновесие между нейтральным и анионным комплексами смещается вправо (схема 2), что подтверждается почти нулевой интенсивностью полосы, соответствующей переходу 5D0 → 7F0 в спектре люминесценции раствора НИА–ТТА–Eu3+ (рис. 1б), что характерно для β-дикетонатных тетракис-комплексов Eu3+ [6].
Схема 2. Равновесие реакции комплексообразования в системе НИА–ТТА–Eu3+.
Тысячекратное усиление люминесценции анионного комплекса, по сравнению с нейтральным, по-видимому, вызвано вытеснением молекул воды из внутренней координационной сферы центрального иона, причем преимущественно повышается интенсивность полосы сверхчувствительного перехода 5D0 → 7F2, доминирование которой над остальными компонентами мультиплета в присутствии НИА проявляется особенно ярко (рис. 1б).
Аналогично, усиление люминесценции происходит при введении НИА в растворы комплексов, содержащих ионы Sm3+ и ТТА (рис. 2). В отсутствие НИА интенсивность сигналов слишком низкая, спектр сливается с осью абсцисс. В спектре люминесценции комплекса самария(III) наблюдаются полосы, соответствующие переходам с уровня 4G5/2 на подуровни 6Hj (j = 5/2, 7/2, 9/2, 11/2), характерные для иона Sm3+ [1], с глобальным максимумом при 647 нм (j = 9/2).
Рис. 2. Спектры возбуждения (кривая 1, λлюм = 647 нм) и люминесценции (кривая 2, λвозб = 380 нм) водных растворов, содержащих 50 мкМ Sm(III) и 2 мМ ТТА в присутствии 250 мкМ НИА.
Таким образом, введение НИА в растворы европия(III) и самария(III), содержащие большой (более порядка) избыток ТТА, приводит к резкому усилению люминесценции. ТТА обладает заметной кислотностью (для ТТА pKa = 6.2, [7]), что предотвращает образование слабо люминесцирующих гидроксокомплексов европия и самария. Небольшие добавки гидроксильной формы НИА на фоне избытка ТТА почти не вызывают подщелачивания (для всех использованных растворов pH не превышало значения 5.2). При этом в фазе НИА достигается высокая (около 1 М) локальная концентрация анионов ТТА–, что обеспечивает образование ярко люминесцирующих комплексов катионов РЗЭ с четырьмя ароматическими лигандами.
На рис. 3 представлены зависимости интенсивности люминесценции от концентраций Eu(III) и Sm(III) в оптимальных для определения этих металлов условиях. Установлено, что линейность градуировочных графиков соблюдается в широком диапазоне концентраций: (5 × 10–10)–(5 × 10–6) М с пределом обнаружения 1 × 10–10 М для европия(III) и (5 × 10–8)–(5×10–6) М с пределом обнаружения 1 × 10–8 М для самария(III).
Рис. 3. Зависимость интенсивности люминесценции от концентрации Eu(III) и Sm(III). Условия для Eu(III): λвозб = 360 нм, λлюм = 613 нм, 0.4 мМ ТТА и 50 мкМ НИА; для Sm(III): λвозб = 380 нм, λлюм = 647 нм, 2 мМ ТТА и 250 мкМ НИА.
Представленные данные позволяют рассматривать НИА в качестве перспективной организованной среды для усиления люминесценции комплексов РЗЭ, в частности, для определения самих металлов. Проведенные нами предварительные исследования свидетельствуют о том, что возможности НИА не исчерпываются описанными выше системами, сходные эффекты наблюдаются также для других РЗЭ и других лигандов.
Источник финансирования
Работа выполнена за счет средств бюджетного финансирования ГЕОХИ РАН.
Об авторах
М. В. Королева
Институт геохимии и аналитической химии им. В.И. Вернадского Российской академии наук
Email: olenin@geokhi.ru
Россия, 119991, Москва
В. В. Ягов
Институт геохимии и аналитической химии им. В.И. Вернадского Российской академии наук
Email: olenin@geokhi.ru
Россия, 119991, Москва
А. Ю. Оленин
Институт геохимии и аналитической химии им. В.И. Вернадского Российской академии наук
Автор, ответственный за переписку.
Email: olenin@geokhi.ru
Россия, 119991, Москва
А. М. Долгоносов
Институт геохимии и аналитической химии им. В.И. Вернадского Российской академии наук
Email: olenin@geokhi.ru
Россия, 119991, Москва
Р. Х. Хамизов
Институт геохимии и аналитической химии им. В.И. Вернадского Российской академии наук
Email: olenin@geokhi.ru
Россия, 119991, Москва
Список литературы
- Полуэктов Н.С., Кононенко Л.И., Ефрюшина Н.П., Бельтюкова С.В. Спектрофотометрические и люминесцентные методы определения лантаноидов. Пилипенко А.Т. (ред.). Киев: Наукова думка, 1989. 256 с.
- Проблемы аналитической химии. Т. 20. Нанообъекты и нанотехнологии в химическом анализе. Штыков С.Н. (ред.). М.: Наука. 2015. 430 с.
- Долгоносов А.М., Хамизов Р.Х., Колотилина Н.К., Шайхина С.У., Евстигнеева П.В. // Сорб. хром. проц. 2016. Т. 16. № 4. С. 400–414.
- Долгоносов А.М., Хамизов Р.Х., Колотилина Н.К. // Журн. аналит. хим. 2019. Т. 74. № 4. С. 285–296. http s://doi.org/10.1134/S0044450219030034
- Nehra K., Dalal A., Hooda A., Bhagwan S., Saini R.K., Mari B., Kumar S., Singh D. // J. Mol. Struct. 2022. V. 1249. Art. 131531. http s://doi.org/10.1016/j.molstruc.2021.131531
- Blois L., Carneiro N.A., Longo R.L., Costa I.F., Paolini T.B., Brito H.F., Malta O.L. // Опт. спектроск. 2022. Т. 130. № 1. С. 207–214. http s://doi.org/10.21883/OS.2022.01.51909.35-21
- Atanassova M. // Separations. 2022. V. 9. № 6. Art. 154. http s://doi.org/10.3390/separations9060154
Дополнительные файлы








