Синтез и противовирусная активность сополимеров оксикоричной кислоты с N-виниламидами
- Авторы: Нестерова Н.А.1, Штро А.А.2, Панарин Е.Ф.1
-
Учреждения:
- Институт высокомолекулярных соединений Российской академии наук
- Научно-исследовательский институт гриппа им. А.А. Смородинцева
- Выпуск: Том 513, № 1 (2023)
- Страницы: 77-81
- Раздел: ХИМИЯ
- URL: https://journals.rcsi.science/2686-9535/article/view/252496
- DOI: https://doi.org/10.31857/S2686953523600320
- EDN: https://elibrary.ru/BJCGOS
- ID: 252496
Цитировать
Полный текст
Аннотация
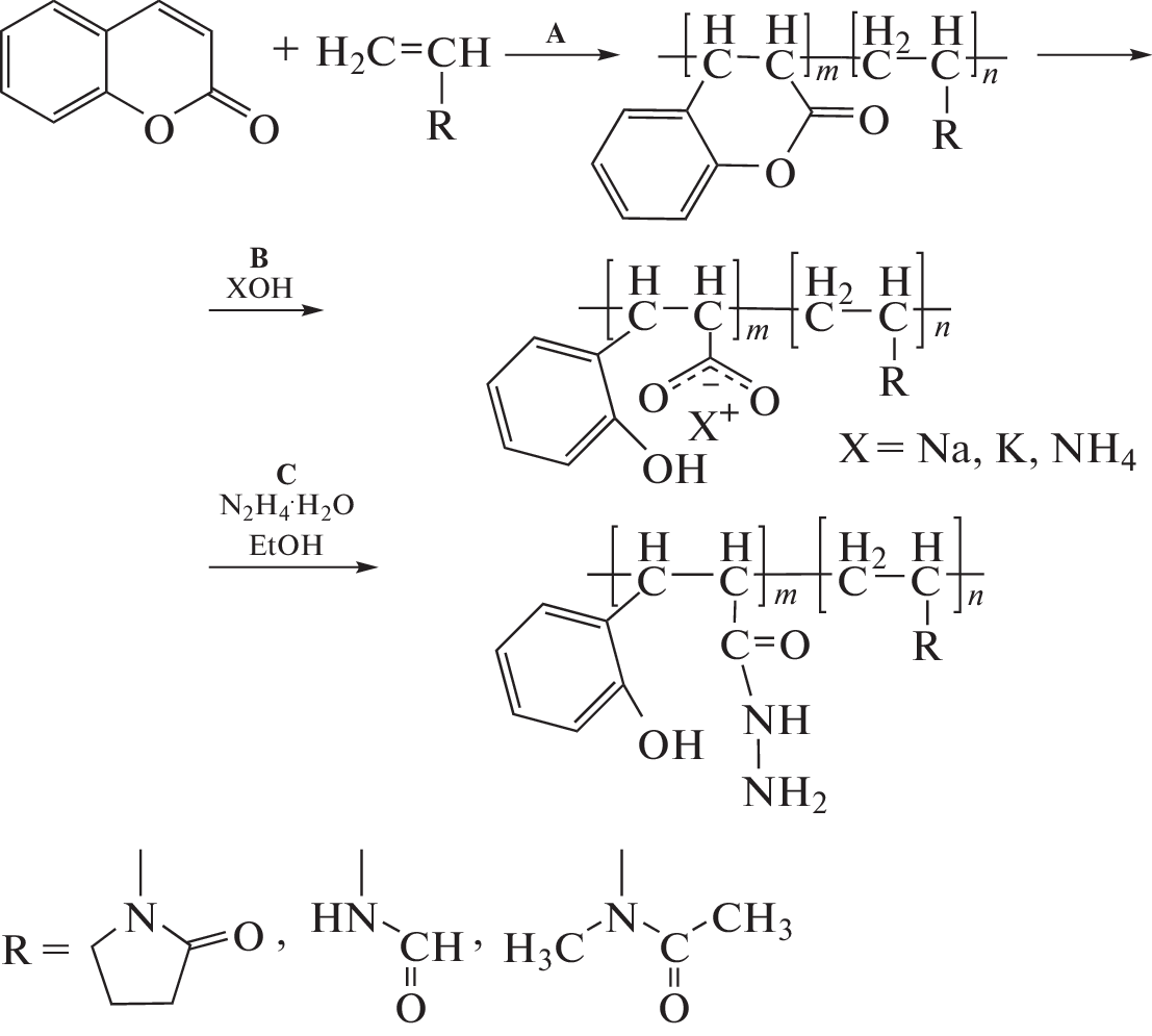
Радикальной сополимеризацией кумарина с N-виниламидами (N‑винилпирролидон, N-метил-N-винилцетамид, N-винилформамид) синтезированы сополимеры различного состава и варьируемой молекулярной массой, последующими реакциями в цепях которых получены водорастворимые сополимеры солей оксикоричной кислоты и ее гидразидов. Сополимеры солей и гидразидов оксикоричной кислоты с N-виниламидами имеют низкую цитотоксичность и проявляют выраженную противовирусную активность в отношении респираторно-синцитиального вируса человека А2.
Об авторах
Н. А. Нестерова
Институт высокомолекулярных соединенийРоссийской академии наук
Автор, ответственный за переписку.
Email: lab.2305@mail.ru
Россия, 199004, Санкт-Петербург
А. А. Штро
Научно-исследовательский институт гриппаим. А.А. Смородинцева
Email: lab.2305@mail.ru
Россия, 197376, Санкт-Петербург
Е. Ф. Панарин
Институт высокомолекулярных соединенийРоссийской академии наук
Email: lab.2305@mail.ru
Россия, 199004, Санкт-Петербург
Список литературы
- Anderson R.A., Feathergill K., Diao X., Cooper M., Kirkpatrick R., Spear P., Waller D.P., Chany C., Doncel G.F., Herold B., Lourens J.D., Zaneveld L.J. // J. Androl. 2000. V. 21. № 6. P. 862–875. https://doi.org/10.1002/j.1939-4640.2000.tb03417.x
- Schandock F., Riber C.F., Röcker A., Müller J.A., Harms M., Gajda P., Zuwala K., Andersen A.H.F., Løvschall K.B., Tolstrup M., Keppel F., Münch J., Zelikin A.N. // Adv. Healthcare Mater. 2017. V. 6. № 23. 1700748. https://doi.org/10.1002/adhm.201700748
- Зарубаев В.В., Бучков Е.В., Назарова О.В., Золотова Ю.И., Панарин Е.Ф. // ДАН. Науки о жизни. 2022. Т. 506. С. 392–395. https://doi.org/10.31857/S2686738922050328
- Donalisio M., Ranucci E., Cagno V., Civra A., Manfredi A., Cavalli R., Ferruti P., Lembo D. // Antimicrob. Agents Chemother. 2014. V. 58. № 10. P. 6315–6319. https://doi.org/10.1128/aac.03420-14
- Witvrouw M., Fikkert V., Pluymers W., Matthews B., Mardel K., Schols D., Raff J., Debyser Z., De Clercq E., Holan G., Pannecouque C. // Mol. Pharmacol. 2000. V. 58. № 5. P. 1100–1108. https://doi.org/10.1124/mol.58.5.1100
- Bianculli R.H., Mase J.D., Schulz M.D. // Macromolecules. 2020. V. 53. № 21. P. 9158–9186. https://doi.org/10.1021/acs.macromol.0c01273
- Pachota M., Klysik K., Synowiec A., Ciejka J., Szczubiałka K., Pyrc K., Nowakowska M. // J. Med. Chem. 2017. V. 60. P. 8620–8630. https://doi.org/10.1021/acs.jmedchem.7b01289
- Asaftei S., de Clercq E. // J. Med. Chem. 2010. V. 53. № 9. P. 3480–3488. https://doi.org/10.1021/jm100093p
- Панарин Е.Ф., Нестерова Н.А., Штро А.А. Сополимеры N-виниламидов с солями оксикоричной кислоты. Патент РФ RU2796753. 2023. Бюл. изобр. № 16.
- Niks M., Otto M. // J. Immunol. Methods. 1990. V. 130. № 1. P. 149–151. https://doi.org/10.1016/0022-1759(90)90309-j
- Reed L.J., Muench H. // Am. J. Hyg. 1938. V. 27. № 3. P. 493–497. https://doi.org/10.1093/oxfordjournals.aje.a118408
- Indrayanto G., Putra G.S., Suhud F. // Profiles of Drug Substances, Excipients and Related Methodology. 2021. V. 46. P. 273–307. https://doi.org/10.1016/bs.podrm.2020.07.005
Дополнительные файлы





