STUDYING ANTITUMOR ACTIVITY IN VITRO IODO-δ-LACTONES 5Z,9Z-DIENOIC ACID
- 作者: Makarova E.K.1, Ishbulatov I.V.1, Makarov А.А.1, Dzhemileva L.U.2, Dzhemilev U.M.2, D’yakonov V.A.2
-
隶属关系:
- Institute of Petrochemistry and Catalysis, Ufa Federal Research Center, Russian Academy of Sciences
- N.D. Zelinsky Institute of Organic Chemistry Russian Academy of Sciences
- 期: 卷 513, 编号 1 (2023)
- 页面: 54-61
- 栏目: CHEMISTRY
- URL: https://journals.rcsi.science/2686-9535/article/view/252493
- DOI: https://doi.org/10.31857/S2686953523600277
- EDN: https://elibrary.ru/UWUBSS
- ID: 252493
如何引用文章
全文:
详细
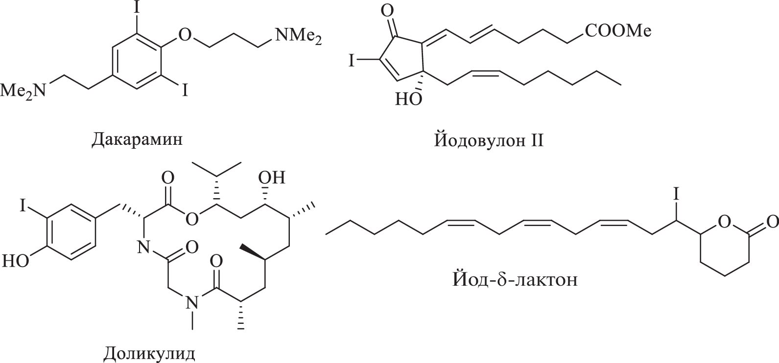
A previously undescribed phenyl-substituted iodo-δ-lactone of 11‑phenylundeca-5Z,9Z-dienoic acid was synthesized using the Ti-catalyzed intermolecular cross-cyclomagnesiation of an aromatic 1,2-diene with an O‑containing allene at the key stage in a 94% yield. The in vitro cytotoxic activity of the obtained alkyl- and phenyl-substituted iodo-δ-lactones 5Z,9Z-dienoic acids was studied in relation to the cell lines Jurkat, K562, U937, HL60, Hek293, and the effect on the cell cycle and the ability to induce apoptosis with using flow cytometry.
作者简介
E. Makarova
Institute of Petrochemistry and Catalysis, Ufa Federal Research Center, Russian Academy of Sciences
编辑信件的主要联系方式.
Email: makarovaelina87@gmail.com
Russian Federation, 450075, Ufa
I. Ishbulatov
Institute of Petrochemistry and Catalysis, Ufa Federal Research Center, Russian Academy of Sciences
Email: makarovaelina87@gmail.com
Russian Federation, 450075, Ufa
А. Makarov
Institute of Petrochemistry and Catalysis, Ufa Federal Research Center, Russian Academy of Sciences
Email: makarovaelina87@gmail.com
Russian Federation, 450075, Ufa
L. Dzhemileva
N.D. Zelinsky Institute of Organic Chemistry Russian Academy of Sciences
Email: makarovaelina87@gmail.com
Russian Federation, 119991, Moscow
U. Dzhemilev
N.D. Zelinsky Institute of Organic Chemistry Russian Academy of Sciences
Email: makarovaelina87@gmail.com
Russian Federation, 119991, Moscow
V. D’yakonov
N.D. Zelinsky Institute of Organic Chemistry Russian Academy of Sciences
Email: makarovaelina87@gmail.com
Russian Federation, 119991, Moscow
参考
- Wang L., Zhou X., Fredimoses M., Liao S., Liu Y. // RSC Adv. 2014. V. 4. № 101. P. 57350–57376. https://doi.org/10.1039/c4ra09833a
- Dembitsky V.M. // Nat. Prod. Commun. 2006. V. 1. № 2. P. 139–175. https://doi.org/10.1177/1934578x0600100210
- Kyeremeh K., Acquah K.S., Appiah-Opong R., Deng M., Jaspars H. // J. Chem. Applications. 2014. V. 1. № 1. P. 1–4.
- Aiello A., Fattorusso E., Imperatore C., Menna M., Müller W. // Mar. Drugs. 2010. V. 8. № 2. P. 285–291. https://doi.org/10.3390/md8020285
- Andavan G.S.B., Lemmens-Gruber R. // Mar. Drugs. 2010. V. 8. № 3. P. 810–834. https://doi.org/10.3390/md8030810
- Hiroyuki I., Hiroki S., Hideo,K., Kiyoyuki Y. // Tetrahedron. 1994. V. 50. № 45. P. 12853–12882. https://doi.org/10.1016/s0040-4020(01)81206-0
- Shen Y.-C., Cheng Y.-B., Lin Y.-C., Guh J.-H., Teng C.-M., Ko C.-L. // J. Nat. Prod. 2004. V. 67. № 4. P. 542–546. https://doi.org/10.1021/np030435a
- Williams P.G., Yoshida W.Y., Moore R.E., Paul V.J. // Org. Lett. 2003. V. 5. P. 4167–4170. https://doi.org/10.1021/ol035620u
- Kigoshi H., Kanematsu K., Yokota K., Uemura D. // Tetrahedron. 2000. V. 56. № 46. P. 9063–9070. https://doi.org/10.1016/s0040-4020(00)00759-6
- Hwang B.S., Lee K., Yang C., Jeong E.J., Rho J.-R. // J. Nat. Prod. 2013. V. 76. № 12. P. 2355–2359. https://doi.org/10.1021/np400793r
- Maiese W.M., Lechevalier M.P., Lechevalier H.A., Korshalla J., Kuck N., Fantini A., Wildey M.J., Thomas J., Greenstein M. // J. Antibiot. 1989. V. 42. P. 558–563.
- Zhao B., Konno S., Wu J.M., Oronsky A.L. // Cancer Lett. 1990. V. 50. № 2. P. 141–147. https://doi.org/10.1016/0304-3835(90)90244-r
- Nicolaou K.C., Hale C.R.H., Nilewski C. // Chem. Rec. 2012 V. 12. № 4. P. 407–441. https://doi.org/10.1002/tcr.201200005
- Ricart A.D. // Clin. Cancer Res. 2011. V. 17. № 20. P. 6417–6427. https://doi.org/10.1158/1078-0432.ccr-11-0486
- Gartner R., Rank P., Ander B. // Hormones. 2010. V. 9. № 1. P. 60–66.
- Boeynaems J.M., Hubbard W.C. // J. Biol. Chem. 1980. V. 255. P. 9001–9004. https://doi.org/10.1016/S0021-9258(19)70513-4
- Thomasz L., Oglio R., Salvarredi L., Perona M., Rossich L., Copelli S., Pisarev M., Juvenal G. // Mol. Cell Endocrinol. 2018. V. 470. P. 115–126. https://doi.org/10.1016/j.mce.2017.10.004
- Nava-Villalba M., Nucez-Anita R.E., Bontempo A., Aceves C. // Mol. Cancer. 2015. V. 14. P. 168. https://doi.org/10.1186/s12943-015-0436-8
- Arroyo-Helguera O., Rojas E., Delgado G., Aceves C. // Endocr. Relat. Cancer. 2008. V. 15. P. 1003–1011. https://doi.org/10.1677/ERC-08-0125
- Aceves C., Mendieta I., Anguiano B., Delgado-Gonza-lez E. // J. Mol. Sci. 2021. V. 22. P. 1228. https://doi.org/10.3390/ijms22031228
- D’yakonov V.A., Makarov A.A., Dzhemileva L.U., Makarova E.Kh., Khusnutdinova E.K., Dzhemilev U.M. // Chem. Commun. 2013. V. 49. P. 8401–8403. https://doi.org/10.1039/C3CC44926B
- D’yakonov V.A., Dzhemileva L.U., Makarov A.A., Mulyukova A.R., Baev D.S., Khusnutdinova E.K., Tolstikova T.G., Dzhemilev U.M. // Bioorg. Med. Chem. Lett. 2015. V. 25. № 11. P. 2405–2408. https://doi.org/10.1016/j.bmcl.2015.04.011
- D’yakonov V.A., Dzhemileva L.U., Makarov A.A., Mu-lyukova A.R., Baev D.S., Khusnutdinova E.K., Tolstiko-va T.G., Dzhemilev U.M. // Curr. Cancer Drug Targets. 2015. V. 15. № 6. P. 504–510. https://doi.org/10.2174/1568009615666150506093155
- D’yakonov V.A., Dzhemileva L.U., Makarov A.A., Mu-lyukova A.R., Baev D.S., Khusnutdinova E.K., Tolstiko-va T.G., Dzhemilev U.M. // Med. Chem. Res. 2016. V. 25. № 1. P. 30–39. https://doi.org/10.1007/s00044-015-1446-1
- D’yakonov V.A., Makarov A.A., Dzhemileva L.U., Makarova E.Kh., Ramazanov I.R., Dzhemilev U.M. // Cancers. 2021. V. 13. № 8. P. 1808. https://doi.org/10.3390/cancers13081808
- Maкarov A.A., Ishbulatov I.V., Makarova E.Kh., D’yakonov V.A., Dzhemilev U.M. // Russ. J. Org. Chem. 2022. V. 58. № 12. P. 1954–1958. https://doi.org/10.1134/S1070428022120259
- Tyagi R., Shimpukade B., Blattermann S., Kostenisb E., Ulven T. // Med. Chem. Commun. 2012. V. 3. P. 195–198. https://doi.org/10.1039/C1MD00231G
- Kuang J., Ma S. // J. Org. Chem. 2009. V. 74. P. 1763. https://doi.org/10.1021/jo802391x
补充文件







