METHYLATION AND AMINATION OF 4H-[1,2,3]TRIAZOLO[4,5-c][1,2,5]OXADIAZOLE SALTS
- Authors: Balabanova S.P.1, Voronin A.A.1, Churakov A.M.1, Klenov M.S.1, Tartakovsky V.A.1
-
Affiliations:
- N.D. Zelinsky Institute of Organic Chemistry, Russian Academy of Sciences
- Issue: Vol 512, No 1 (2023)
- Pages: 83-87
- Section: CHEMISTRY
- URL: https://journals.rcsi.science/2686-9535/article/view/247185
- DOI: https://doi.org/10.31857/S2686953522600805
- EDN: https://elibrary.ru/ZGDGAZ
- ID: 247185
Cite item
Abstract
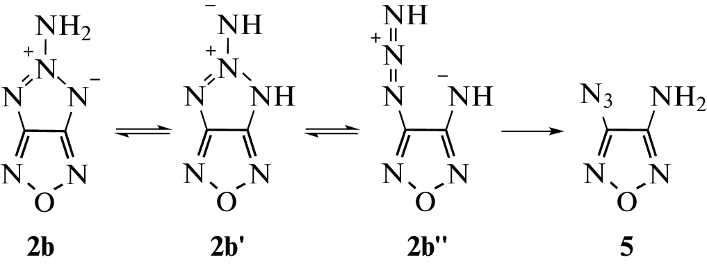
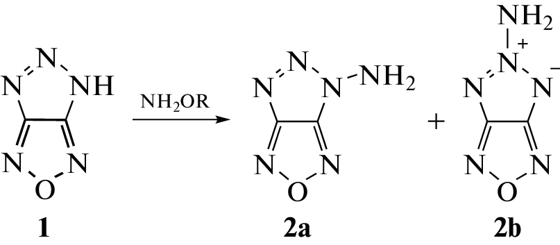
The methylation and the amination of 4H-[1,2,3]triazolo[4,5-c][1,2,5]oxadiazole salts (K+, Ag+, Et3NH+, DBUH+) were studied for the first time. It is shown that two methylated products are formed in the reaction. In the case of K- and Et3N-salts, 4- and 5-methylated isomers are formed in equal proportions, and in the case of Ag- and DBU-salts, the main product is the 4-isomer. It was found that the main product of amination of both 4H-[1,2,3]triazolo[4,5-c][1,2,5]oxadiazole K- and DBU-salts with O-(p-tolylsulfonyl)hydroxylamine is 4-azido-3-amino-1,2,5-oxadiazole. The mechanism of its formation as a result of rearrangement of 5-amino-[1,2,3]triazolo[4,5-c][1,2,5]oxadiazole is proposed.
Keywords
About the authors
S. P. Balabanova
N.D. Zelinsky Institute of Organic Chemistry, Russian Academy of Sciences
Email: voronin@ioc.ac.ru
Russian Federation, 119991, Moscow
A. A. Voronin
N.D. Zelinsky Institute of Organic Chemistry, Russian Academy of Sciences
Author for correspondence.
Email: voronin@ioc.ac.ru
Russian Federation, 119991, Moscow
A. M. Churakov
N.D. Zelinsky Institute of Organic Chemistry, Russian Academy of Sciences
Email: voronin@ioc.ac.ru
Russian Federation, 119991, Moscow
M. S. Klenov
N.D. Zelinsky Institute of Organic Chemistry, Russian Academy of Sciences
Email: voronin@ioc.ac.ru
Russian Federation, 119991, Moscow
V. A. Tartakovsky
N.D. Zelinsky Institute of Organic Chemistry, Russian Academy of Sciences
Email: voronin@ioc.ac.ru
Russian Federation, 119991, Moscow
References
- Gao H., Zhang Q., Shreeve J.M. // J. Mat. Chem. A. 2020. V. 8. № 8. P. 4193–4216. https://doi.org/10.1039/C9TA12704F
- Zelenov V.P., Lobanova A.A., Lyukshenko N.I., Sysolyatin S.V., Kalashnikov A.I. // Russ. Chem. Bull. 2008. V. 57. № 7. P. 1384–1389. https://doi.org/10.1007/s11172-008-0180-y
- Li X., Wang B., Li Y., Li H., Zhou C., Zhang Y., Lian P. // Chin J. Energy Mater. 2013. V. 21. P. 717–720. https://doi.org/10.3969/j.issn.1006-9941.2013.06.005
- Voronin A.A., Fedyanin I.V., Churakov, A.M., Pivkina A.N., Muravyev N.V., Strelenko Y.A., Klenov M.S., Lempert D.B., Tartakovsky V.A. // ACS Appl. Energ. Mat. 2020. V. 3. № 9. P. 9401–9407. https://doi.org/10.1021/acsaem.0c01769
- Voronin A.A., Balabanova S.P., Fedyanin I.V., Chura-kov A.M., Pivkina A.N., Strelenko Yu.A., Klenov M.S., Tartakovsky V.A. // Molecules. 2022. V. 27. № 19. P. 6287. https://doi.org/10.3390/molecules27196287
- Kaihoh T., Itoh T., Yamaguchi K., Ohsawa A. // J. Chem. Soc., Perkin Trans. 1. 1991. V. 8. P. 2045–2048. https://doi.org/10.1039/P19910002045
- Campbell C.D., Rees C.W. // J. Chem. Soc. C. 1969. V. 5. P. 742–747. https://doi.org/10.1039/J39690000742
- Knight D.W., Little P.B. // J. Chem. Soc., Perkin Trans. 1. 2000. V. 15. P. 2343–2355. https://doi.org/10.1039/B001834L
- Larina L.I., Milata V. // Magn. Reson. Chem. 2009. V. 47. P. 142–148. https://doi.org/10.1002/mrc.2366
- Klapötke T.M., Piercey D.G., Stierstorfer J. // Dalton Trans. 2012. V. 41. P. 9451–9459. https://doi.org/10.1039/C2DT30684K
- Rakitin O.A., Zalesova O.A., Kulikov A.S., Makhova N.N., Godovikova T.I., Khmel’nitskii L.I. // Russ. Chem. Bull. 1993. V. 42. № 11. P. 1865–1870. https://doi.org/10.1007/BF00699005
Supplementary files










