SYNTHESIS OF 5,5-DISUBSTITUTED N-METHYL-1,3-OXAZINANES CONTAINING MONOTERPENE FRAGMENTS
- Autores: Nechepurenko I.V.1, Volcho K.P.1, Salakhutdinov N.F.1
-
Afiliações:
- Vorozhtsov Institute of Organic Chemistry, Siberian Branch, Russian Academy of Sciences (NIOCH SB RAS)
- Edição: Volume 512, Nº 1 (2023)
- Páginas: 75-82
- Seção: CHEMISTRY
- URL: https://journals.rcsi.science/2686-9535/article/view/247184
- DOI: https://doi.org/10.31857/S2686953522600283
- EDN: https://elibrary.ru/UYVBYE
- ID: 247184
Citar
Texto integral
Resumo
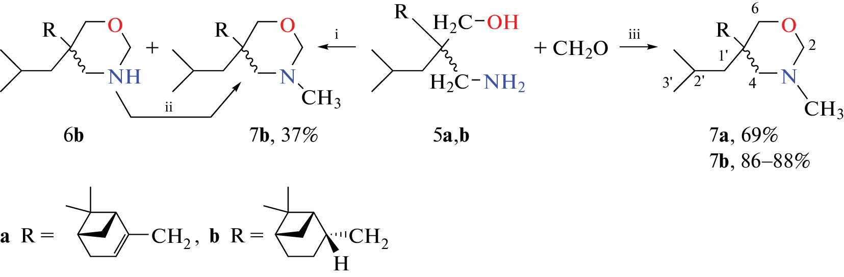
A new method for the synthesis of 5,5-disubstituted N-methyl-1,3-oxazinanes as a mixture of diastereomers at position 5 containing monoterpene and branched alkyl substituents at position 5 has been developed. The 1,3-oxazinanes were obtained for the first time by the interaction of 2,2-substituted 3-aminopropane-1-ols with formaldehyde and sodium borohydrides in a single stage.
Sobre autores
I. Nechepurenko
Vorozhtsov Institute of Organic Chemistry, Siberian Branch, Russian Academy of Sciences (NIOCH SB RAS)
Autor responsável pela correspondência
Email: niv@nioch.nsc.ru
Russian Federation,
630090, Novosibirsk
K. Volcho
Vorozhtsov Institute of Organic Chemistry, Siberian Branch, Russian Academy of Sciences (NIOCH SB RAS)
Email: niv@nioch.nsc.ru
Russian Federation,
630090, Novosibirsk
N. Salakhutdinov
Vorozhtsov Institute of Organic Chemistry, Siberian Branch, Russian Academy of Sciences (NIOCH SB RAS)
Email: niv@nioch.nsc.ru
Russian Federation,
630090, Novosibirsk
Bibliografia
- Khuong-Huu F., Herlem-Gaulier D., Khuong-Huu M.Q., Stanislas E., Goutarel R. // Tetrahedron. 1966. V. 22. № 10. P. 3321–3327. https://doi.org/10.1016/S0040-4020(01)92518-9
- Choudhary M.I., Atta-ur-Rahman, Shamma M. // Phytochemistry. 1988. V. 27. № 5. P. 1561–1562. https://doi.org/10.1016/0031-9422(88)80246-2
- Lázár L., Fülöp F. 1,3-Oxazines and their benzo derivatives. In: Comprehensive heterocyclic chemistry III. Katritzky A., Ramsden Ch., Scriven E., Taylor R. (Eds.). V. 8. Elsevier Ltd., 2008. P. 395–400. https://doi.org/10.1016/B978-008044992-0.00705-7
- Pardin C., Pelletier J.N., Lubell W.D., Keillor J.W. // J. Org. Chem. 2008. V. 73. № 15. P. 5766–5775. https://doi.org/10.1021/jo8004843
- Knabe J., Buchheit W. // Arch. Pharm. 1985. V. 318. № 8. P. 727–735. https://doi.org/10.1002/ardp.19853180811
- Forró E., Fülöp F. // Tetrahedron: Asymmetry. 1999. V. 10. № 10. P. 1985–1993. https://doi.org/10.1016/S0957-4166(99)00189-5
- Корепин А.Г., Галкин П.В., Глушакова Н.М., Лоды-гина В.П., Еременко И.Л., Нефедов С.Е., Еремен-ко Л.Т. // Изв. АН. Сер. хим. 2001. № 9. С. 1553–1561. https://doi.org/10.1023/A:1013094720611
- Frasinyuk M.S., Bondarenko S.P., Khilya V.P., Liu Ch., Watt D.S., Sviripa V.M. // Org. Biomol. Chem. 2015. V. 13. № 4. P. 1053–1067. https://doi.org/10.1039/C4OB02137A
- Яровая О.И., Салахутдинов Н.Ф. // Усп. хим. 2021. Т. 90. № 4. С. 488–510. https://doi.org/10.1070/RCR4969
- Патрушева О.С., Волчо К.П., Салахутдинов Н.Ф. // Усп. хим. 2018. Т. 87. № 8. С. 771–796. https://doi.org/10.1070/RCR4810
- Salaverri N., Carli B., Gratal P.B., Marzo L., Alemán J. // Adv. Synth. Catal. 2022. V. 364. P. 1689–1694. Suppl. Inf. https://doi.org/10.1002/adsc.202200220
- Банина О.А., Судариков Д.В., Крымская Ю.В., Фролова Л.Л., Кучин А.В. // ХПС. 2015. № 2. С. 231–234. https://doi.org/10.1007/s10600-015-1257-0
- Demidova Yu.S., Suslov E.V., Simakova I.L., Mozhaj-cev E.S., Korchagina D.V., Volcho K.P., Salakhutdinov N.F., Simakov A., Murzine D.Yu. // J. Mol. Catal. A: Chem. 2017. V. 426. P. 60–67. https://doi.org/10.1016/j.molcata.2016.10.034
- Pascual C., Meier J., Simon W. // Helv. Chim. Acta. 1966. V. 49. № 1. P. 164–168. https://doi.org/10.1002/hlca.660490122
- Smith S.N., Craig R., Connon S.J. // Chem. Eur. J. 2020. V. 26. № 59. P. 13378–13382. https://doi.org/10.1002/chem.202003280
- Беккер Х., Беккерт Р., Бергер В., Гевальд К., Генц Ф., Глух Р., Домшке Г., Зайлер Э., Майер Р., Мец П., Мюллер К., Пафель Д., Фаигхенелъ Э., Фауст Ю., Фишер М., Хабихер В., Шветлик К., Шмидт Г., Шольберг К., Цеппенфельд Г. Органикум: в 2-х т. Пер. с нем., 4-е изд. Т. 2. М.: Мир, 2008. с. 125. (Becker H., Berger W., Domschke G., Fanghanel E., Faust J., Fischer M., Gentz F., Gewald K., Gluch R., Mayer R., Habicher W.D., Metz P., Muller K., Pavel D., Schmidt H., Schollberg K., Schwetlick K., Seiler E., Zeppenfeld G. Organikum. Organisch-chemisches Grundpraktikum. 22nd edn. Wiley-VCH GmbH, Weinheim, 2004. 914 p.)
- Ramachary D.B., Kishor M., Reddy Y.V. // Eur. J. Org. Chem. 2008. № 6. P. 975–993. Suppl. Inf. https://doi.org/10.1002/ejoc.200701014
Arquivos suplementares



