Y-SHAPED FLUOROPHORES BASED ON N(2)-ARYL-1,2,3-TRIAZOLES: SYNTHESIS, THEORETICAL CALCULATIONS, OPTICAL PROPERTIES, AND APPLICATION OPPORTUNITIES FOR DETECTION OF NITROAROMATICS
- Authors: Lavrinchenko I.A.1, Moseev T.D.1, Varaksin M.V.1,2, Seleznev Y.A.1, Sadieva L.K.1, Zyryanov .V.1,2, Tsmokaluk A.N.1, Charushin V.N.1,2, Chupakhin O.N.1,2
-
Affiliations:
- Ural Federal University
- Institute of Organic Synthesis, Ural Branch of the Russian Academy of Sciences
- Issue: Vol 512, No 1 (2023)
- Pages: 21-31
- Section: CHEMISTRY
- URL: https://journals.rcsi.science/2686-9535/article/view/247177
- DOI: https://doi.org/10.31857/S2686953522600702
- EDN: https://elibrary.ru/CLZCVS
- ID: 247177
Cite item
Full Text
Abstract
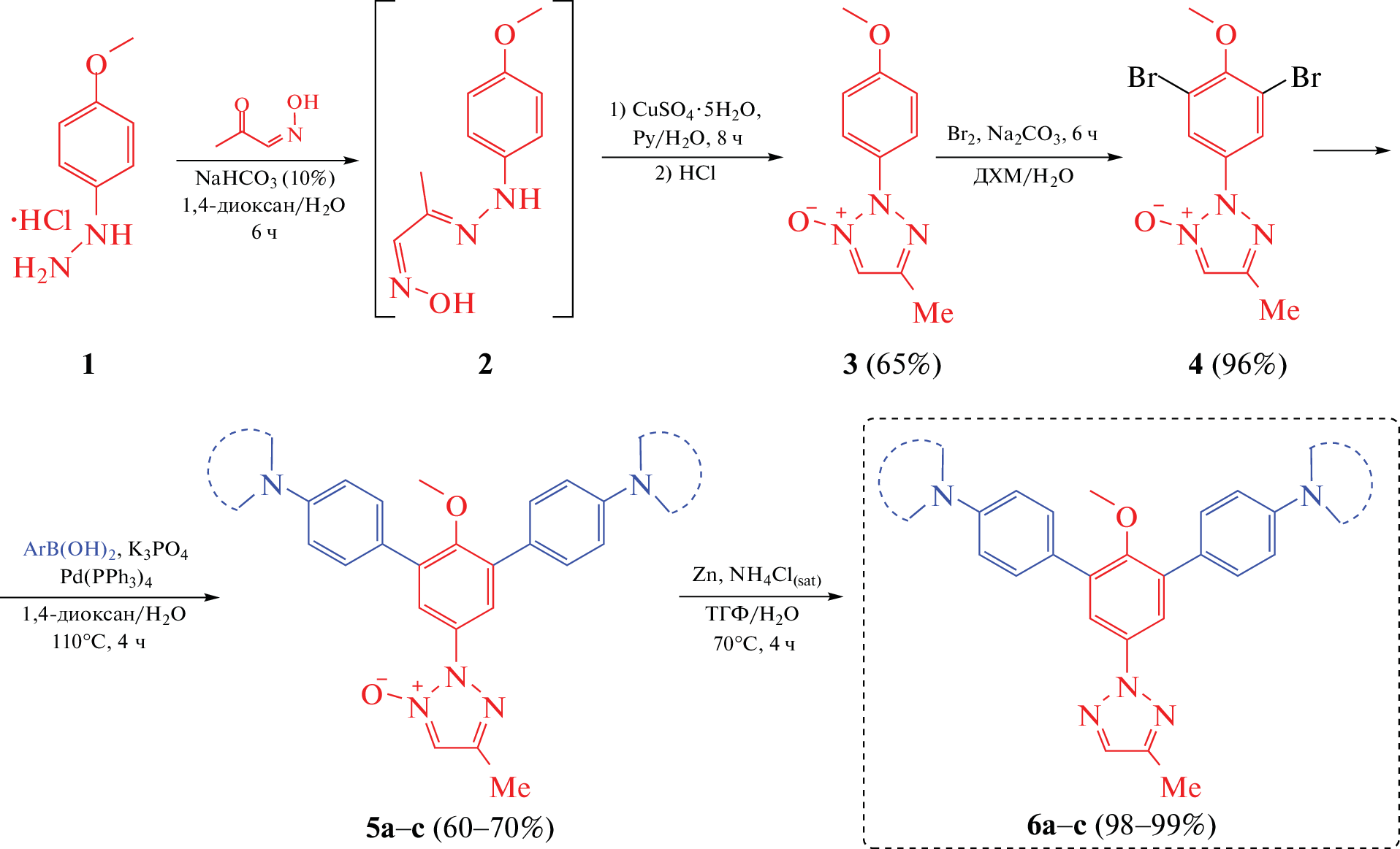
A five-stage method for the synthesis of Y-shaped push-pull fluorophores based on 2-(4′-methoxyphenyl)-1,2,3-triazole has been described. These molecules proved to possess emission in the range from 350 to 450 nm and high quantum yields QY 90–99% in solvents of various polarity. An opportunity of using the obtained compounds as chemosensors for both aromatic and aliphatic nitroanalytes at concentrations from 300 ppb has been elucidated.
Keywords
About the authors
I. A. Lavrinchenko
Ural Federal University
Email: chupakhin@ios.uran.ru
Russian Federation, 620002, Yekaterinburg
T. D. Moseev
Ural Federal University
Email: chupakhin@ios.uran.ru
Russian Federation, 620002, Yekaterinburg
M. V. Varaksin
Ural Federal University; Institute of Organic Synthesis, Ural Branch of the Russian Academy of Sciences
Author for correspondence.
Email: m.v.varaksin@urfu.ru
Russian Federation, 620002, Yekaterinburg; Russian Federation, 620990, Yekaterinburg
Y. A. Seleznev
Ural Federal University
Email: chupakhin@ios.uran.ru
Russian Federation, 620002, Yekaterinburg
L. K. Sadieva
Ural Federal University
Email: chupakhin@ios.uran.ru
Russian Federation, 620002, Yekaterinburg
G. V. Zyryanov
Ural Federal University; Institute of Organic Synthesis, Ural Branch of the Russian Academy of Sciences
Email: chupakhin@ios.uran.ru
Russian Federation, 620002, Yekaterinburg; Russian Federation, 620990, Yekaterinburg
A. N. Tsmokaluk
Ural Federal University
Email: chupakhin@ios.uran.ru
Russian Federation, 620002, Yekaterinburg
V. N. Charushin
Ural Federal University; Institute of Organic Synthesis, Ural Branch of the Russian Academy of Sciences
Email: chupakhin@ios.uran.ru
Russian Federation, 620002, Yekaterinburg; Russian Federation, 620990, Yekaterinburg
O. N. Chupakhin
Ural Federal University; Institute of Organic Synthesis, Ural Branch of the Russian Academy of Sciences
Author for correspondence.
Email: chupakhin@ios.uran.ru
Russian Federation, 620002, Yekaterinburg; Russian Federation, 620990, Yekaterinburg
References
- Bureš F. // RSC Adv. 2014. V. 4. № 102. P. 58826–58851. https://doi.org/10.1039/C4RA11264D
- Li K., Ren T.-B., Huan S., Yuan L., Zhang X.-B. // J. Am. Chem. Soc. 2021. V. 143. № 50. P. 21143–21160. https://doi.org/10.1021/jacs.1c10925
- Pucher N., Rosspeintner A., Satzinger V., Schmidt V., Gescheidt G., Stampfl J., Liska R. // Macromolecules. 2009. V. 42. № 17. P. 6519–6528. https://doi.org/10.1021/ma9007785
- Grabowski Z.R., Rotkiewicz K., Rettig W. // Chem. Rev. 2003. V. 103. № 10. P. 3899–4032. https://doi.org/10.1021/cr940745l
- Escudero D. // Acc. Chem. Res. 2016. V. 49. № 9. P. 1816–1824. https://doi.org/10.1021/acs.accounts.6b00299
- Sekar R.B., Periasamy A. // J. Cell Biol. 2003. V. 160. № 5. P. 629–633. https://doi.org/10.1083/jcb.200210140
- Shen Q., Wang S., Yang N.-D., Zhang C., Wu Q., Yu C. // J. Lumin. 2020. V. 225. P. 117338. https://doi.org/10.1016/j.jlumin.2020.117338
- Zheng Q., Juette M.F., Jockusch S., Wasserman M.R., Zhou Z., Altman R.B., Blanchard S.C. // Chem. Soc. Rev. 2014. V. 43. № 4. P. 1044–1056. https://doi.org/10.1039/C3CS60237K
- Martynov V.I., Pakhomov A.A. // Russ. Chem. Rev. 2021. V. 90. № 10. P. 1213–1262. https://doi.org/10.1070/RCR4985
- Misra R., Bhattacharyya S.P. Intramolecular Charge Transfer. Weinheim, Germany: Wiley-VCH Verlag GmbH & Co. KGaA, 2018. https://doi.org/10.1002/9783527801916
- Long Y., Chen H., Wang H., Peng Z., Yang Y., Zhang G., Li N., Liu F., Pei J. // Anal. Chim. Acta. 2012. V. 744. P. 82–91. https://doi.org/10.1016/j.aca.2012.07.028
- Mauricio F.G.M., Silva J.Y.R., Talhavini M., Júnior S.A., Weber I.T. // Microchem. J. 2019. V. 150. P. 104037. https://doi.org/10.1016/j.microc.2019.104037
- Tretyakov E.V., Ovcharenko V.I., Terent’ev A.O., Krylov I.B., Magdesieva T.V., Mazhukin D.G., Gritsan N.P. // Russ. Chem. Rev. 2022. V. 91. № 2. RCR5025. https://doi.org/10.1070/RCR5025
- Fu H.-Y., Liu X.-J., Xia M. // RSC Adv. 2017. V. 7. № 80. P. 50720–50728. https://doi.org/10.1039/C7RA10432D
- Miura Y., Kobayashi K., Yoshioka N. // New J. Chem. 2021. V. 45. № 2. P. 898–905. https://doi.org/10.1039/D0NJ05323F
- Du F., Li D., Ge S., Xie S., Tang M., Xu Z., Wang E., Wang S., Tang B.Z. // Dye. Pigment. 2021. V. 194. P. 109640. https://doi.org/10.1016/j.dyepig.2021.109640
- Fu H.-Y., Xu N., Pan Y.-M., Lu X.-L., Xia M. // Phys. Chem. Chem. Phys. 2017. V. 19. № 18. P. 11563–11570. https://doi.org/10.1039/C7CP01281K
- Khamrang T., Kathiravan A., Ponraj C., Saravanan D. // J. Mol. Struct. 2021. V. 1238. P. 130442. https://doi.org/10.1016/j.molstruc.2021.130442
- Chen S.-H., Jiang K., Lin J.-Y., Yang K., Cao X.-Y., Luo X.-Y., Wang Z.‑Y. // J. Mater. Chem. C. 2020. V. 8. № 24. P. 8257–8267. https://doi.org/10.1039/D0TC01870H
- Lai Q., Liu Q., Zhao K., Shan C., Wojtas L., Zheng Q., Shi X., Song Z. // Chem. Commun. 2019. V. 55. № 32. P. 4603–4606. https://doi.org/10.1039/C9CC00262F
- Govdi A., Tokareva V., Rumyantsev A.M., Panov M.S., Stellmacher J., Alexiev U., Danilkina N.A., Balova I.A. // Molecules. 2022. V. 27. № 10. P. 3191. https://doi.org/10.3390/molecules27103191
- Wong M.Y., Leung L.M. // Dyes Pigm. 2017. V. 145. P. 542–549. https://doi.org/10.1016/j.dyepig.2017.06.054
- Ahmadi F., Tisseh Z.N., Dabiri M., Bazgir A. // C. R. Chim. 2013. V. 16. № 12. P. 1086–1090. https://doi.org/10.1016/j.crci.2013.05.006
- Chen Z., Yan Q., Yi H., Liu Z., Lei A., Zhang Y. // Chem. Eur. J. 2014. V. 20. № 42. P. 13692–13697. https://doi.org/10.1002/chem.201403515
- Begtrup M., Holm J. // J. Chem. Soc. Perkin Trans. 1. 1981. P. 503–513. https://doi.org/10.1039/p19810000503
- Beletskaya I.P., Alonso F., Tyurin V. // Coord. Chem. Rev. 2019. V. 385 P. 137–173. https://doi.org/10.1016/j.ccr.2019.01.012
- Chen C., Lu X., Holland M. C., Lv S., Ji X., Liu W., Liu J., Depre D., Westerduin P. // Eur. J. Org. Chem. 2020. V. 2020. № 5. P. 548–551. https://doi.org/10.1002/ejoc.201901519
- Gaussian 16, Revision C.01. Frisch M.J., Trucks G.W., Schlegel H.B., Scuseria G.E., Robb M.A., Cheese-man J.R., Scalmani G., Barone V., Petersson G.A., Nakatsuji H., Li X., Caricato M., Marenich A.V., Bloino J., Janesko B.G., Gomperts R., Mennucci B., Hratchian H.P., Ortiz J.V., Izmaylov A.F., Sonnenberg J.L., Williams-Young D., Ding F., Lipparini F., Egidi F., Goings J., Peng B., Petrone A., Henderson T., Ranasinghe D., Zakrzewski V.G., Gao J., Rega N., Zheng G., Liang W., Hada M., Ehara M., Toyota K., Fukuda R., Hasegawa J., Ishida M., Nakajima T., Honda Y., Kitao O., Nakai H., Vreven T., Throssell K., Montgomery J.A. Jr., Peralta J.E., Ogliaro F., Bearpark M.J., Heyd J.J., Brothers E.N., Kudin K.N., Staroverov V.N., Keith T.A., Kobayashi R., Normand J., Raghavachari K., Rendell A.P., Burant J.C., Iyengar S.S., Tomasi J., Cossi M., Millam J.M., Klene M., Adamo C., Cammi R., Ochterski J.W., Martin R.L., Morokuma K., Farkas O., Foresman J.B. Fox, D. J. Gaussian, Inc., Wallingford CT, 2016.
- Weigend F., Ahlrichs R. // Phys. Chem. Chem. Phys. 2005. V.7. P. 3297–3305.
- Weigend F. // Phys. Chem. Chem. Phys. 2006. V. 8. P. 1057–1065. https://doi.org/10.1039/B515623H
- Grimme S., Ehrlich S., Goerigk L. // Theor. J. Comput. Chem. 2011. V. 32. P. 1456–1465. https://doi.org/10.1002/jcc.21759
- Grimme S., Antony J., Ehrlich S., Krieg H. // J. Chem. Phys. 2010. V. 132. P. 154104. https://doi.org/10.1063/1.3382344
- libint2 library // Доступно по ссылке: http://libint.valeyev.net/ (ссылка активна на 09.01.2023)
- Libxc library // Доступно по ссылке: https://tddft.org/programs/libxc/ (ссылка активна на 09.01.2023).
- Lakowicz J.R. Principles of Fluorescence Spectroscopy, Third Edition. Springer New York, 2017. https://doi.org/10.1007/978-0-387-46312-4
- Campbell K., Zappas A., Bunz U., Thio Y.S., Buck-nall D.G. // J. Photochem. Photobiol. A Chem. 2012. V. 249. P. 41–46. https://doi.org/10.1016/j.jphotochem.2012.08.015
Supplementary files










