Квантовохимическое исследование кето-енольной таутомерии и электрофильности производных гидроксималеимида
- Авторы: Панов А.А.1
-
Учреждения:
- ФГБНУ “Научно-исследовательский институт по изысканию новых антибиотиков имени Г.Ф. Гаузе”, (ФГБНУ “НИИНА”)
- Выпуск: Том 508, № 1 (2023)
- Страницы: 111-116
- Раздел: ФИЗИЧЕСКАЯ ХИМИЯ
- URL: https://journals.rcsi.science/2686-9535/article/view/135972
- DOI: https://doi.org/10.31857/S2686953522600325
- EDN: https://elibrary.ru/EVQYQM
- ID: 135972
Цитировать
Полный текст
Аннотация
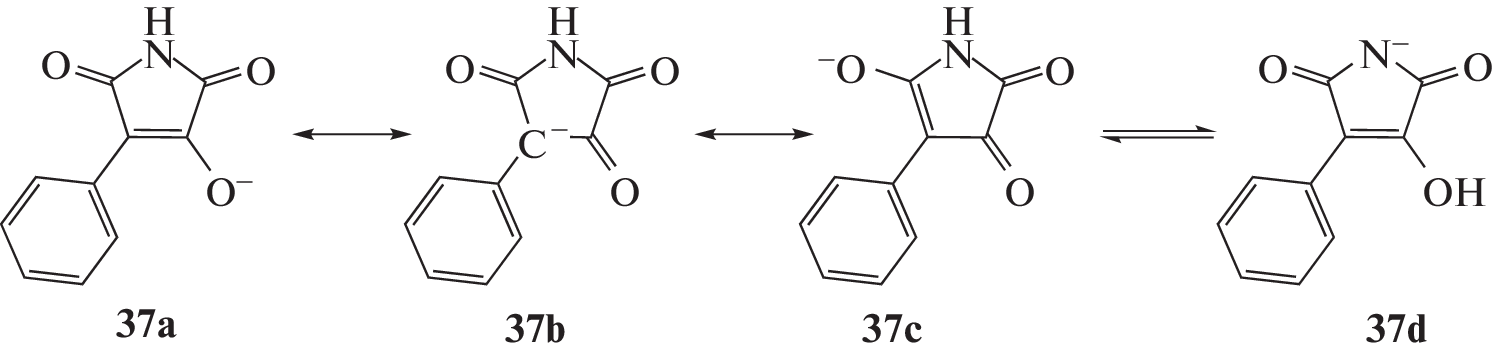
Для 36 производных 3-гидроксималеимида были рассчитаны энергии енольной и кетонной форм методами DFT и DLPNO. Установлено, что для всех замещенных малеимидов енольная форма энергетически выгоднее, причем разница в энергии зависит от заместителя в положении 4 и составляет для большинства соединений 16–60 кДж моль–1. Для всех рассмотренных соединений рассчитан индекс глобальной электрофильности и продемонстрировано, что кето-форма, как правило, более электрофильна, причем электрофильность зависит от заместителя в положении 4. Рассчитаны две возможные структуры аниона гидроксималеимида, причем депротонирование атома кислорода является более энергетически выгодным.
Ключевые слова
Об авторах
А. А. Панов
ФГБНУ “Научно-исследовательский институтпо изысканию новых антибиотиков имени Г.Ф. Гаузе”, (ФГБНУ “НИИНА”)
Автор, ответственный за переписку.
Email: 7745243@mail.ru
Россия, 119021, Москва
Список литературы
- Zaleska B., Lis S. // Synthesis. 2001. V. 6. P. 811–827. https://doi.org/10.1055/s-2001-13398
- Zhang J., Liu M., Huang M., Liu H., Yan Y., Zhang X. // Org. Chem. Front. 2021. V. 8 (10). P. 2268–2273. https://doi.org/10.1039/D1QO00128K
- Zhang J., Liu M., Huang M., Li W., Zhang X. // ChemistrySelect. 2021. V. 6 № 18. P. 4556–4561. https://doi.org/10.1002/slct.202100722
- Howard E.G. Jr. 4-Negative functionally substituted 2,3,5-trichalcogenpyrrolidines, their salts, and methods for preparing them. Patent US 2832790. 1958.
- Salmon-Legagner F., Oliver Y., Bobin C. // Compt. Rend. 1964. V. 258. P. 6456–6457.
- Gerzon K. Novel 2,3-dioxopyrrolidine-3-thiosemi-carbazones. US3285933A, 1964.
- Rooney C.S., Randall W.C., Streeter K.B., Ziegler C., Cra-goe E.J.Jr, Schwam H., Michelson S.R., Williams H.W., Eichler E., Duggan D.E., Ulm E.H., Noll R.M. // J. Med. Chem. 1983. V. 26. P. 700–714. https://doi.org/10.1021/jm00359a015
- Tanaka M., Sagawa S., Hoshi J.-I., Shimoma F., Yasue K., Ubukata M., Ikemoto T., Hase Y., Takahashi M., Sasase T., Ueda N., Matsushita M., Inaba T. // Bioorg. Med. Chem. 2006. V. 14. P. 5781–5794. https://doi.org/10.1016/j.bmc.2006.05.033
- Simonov A.Y., Panov A.A., Trenin A.S., Korolev A.M., Lavrenov S.N. // Pharm. Chem. J. 2021. V. 54 P. 1263–1268. https://doi.org/10.1007/s11094-021-02352-w
- Panov A.A., Simonov A.Y., Korolev A.M. // Russ. J. Org. Chem. 2019. V. 55. P. 1847–1852. https://doi.org/10.1134/S1070428019120066
- Sakamoto Y., Kurihara T. // Yakugaku zasshi. 1979. V. 99. № 8. P. 818–823 (японский). https://doi.org/10.1248/yakushi1947.99.8_818
- Neese F. // Wiley Interdisciplinary Reviews Comp. Mol. Sci. 2012. V. 2. P. 73–78. https://doi.org/10.1002/wcms.81
- Weigend F., Ahlrichs R. // Phys. Chem. Chem. Phys. 2005. V. 7. P. 3297–3305. https://doi.org/10.1039/B508541A
- Weigend F. // Phys. Chem. Chem. Phys. 2006. V. 8. P. 1057–1065. https://doi.org/10.1039/B515623H
- Riplinger C., Sandhoefer B., Hansen A., Neese F. // J. Chem. Phys. 2013. V. 139 P. 134101. https://doi.org/10.1063/1.4821834
- Barone V., Cossi M. // J. Phys. Chem. A. 1998 V. 102. № 11. P. 1995–2001. https://doi.org/10.1021/jp9716997
- Pérez P., Domingo L.R., Aizman A., Contreras R. The electrophilicity index in organic chemistry. In: Theoretical and computational chemistry. Toro-Labbé A. (Ed.). Elsevier: Amsterdam, 2007. P. 139–201. https://doi.org/10.1016/S1380-7323(07)80010-0
Дополнительные файлы









