Гетерогенно-каталитические процессы окислительной десульфуризации с участием ионных жидкостей. Обзор
- Авторы: Тарханова И.Г.1, Брыжин А.А.1, Анисимов А.В.1, Акопян А.В.1, Караханов Э.А.1
-
Учреждения:
- Московский государственный университет имени М.В. Ломоносова, химический факультет
- Выпуск: Том 508, № 1 (2023)
- Страницы: 5-25
- Раздел: ХИМИЯ
- URL: https://journals.rcsi.science/2686-9535/article/view/135952
- DOI: https://doi.org/10.31857/S2686953522600684
- EDN: https://elibrary.ru/EVZKEM
- ID: 135952
Цитировать
Полный текст
Аннотация
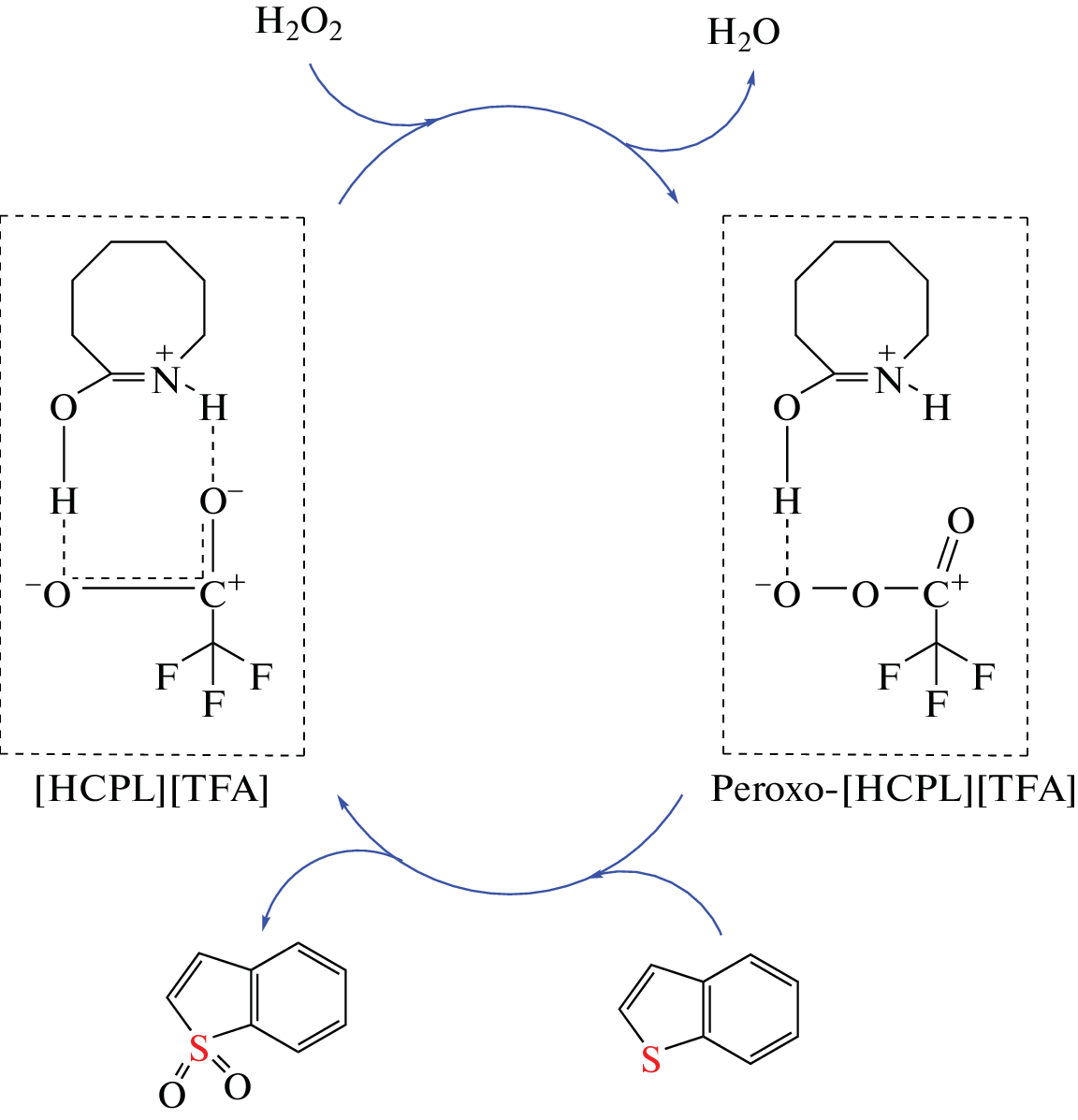
В обзоре проведен анализ литературы последних лет, посвященной поиску новых эффективных технологий сероочистки, в частности, окислительной десульфуризации с применением ионных жидкостей. Эта технология привлекает внимание благодаря относительно мягким условиям, по сравнению с гидроочисткой, и эффективности в удалении тяжелых серосодержащих производных. Для ее реализации особый интерес представляют твердые гибридные композиции, состоящие из носителя, покрытого слоем ионной жидкости, содержащей каталитически активные центры. Рассмотрены примеры применения таких полифункциональных систем, выполняющих одновременно функции адсорбента, экстрагента и катализатора, для окислительной десульфуризации модельного топлива и реального нефтяного сырья.
Об авторах
И. Г. Тарханова
Московский государственный университетимени М.В. Ломоносова, химический факультет
Автор, ответственный за переписку.
Email: itar_msu@mail.ru
Россия, 119991, Москва
А. А. Брыжин
Московский государственный университетимени М.В. Ломоносова, химический факультет
Email: itar_msu@mail.ru
Россия, 119991, Москва
А. В. Анисимов
Московский государственный университетимени М.В. Ломоносова, химический факультет
Email: itar_msu@mail.ru
Россия, 119991, Москва
А. В. Акопян
Московский государственный университетимени М.В. Ломоносова, химический факультет
Email: itar_msu@mail.ru
Россия, 119991, Москва
Э. А. Караханов
Московский государственный университетимени М.В. Ломоносова, химический факультет
Email: itar_msu@mail.ru
Россия, 119991, Москва
Список литературы
- Houda S., Lancelot C., Blanchard P., Poinel L., Lamo-nier C. // Catalysts. 2018. V. 8. № 9. P. 344. https://doi.org/10.3390/catal8090344
- Rajendran A., Cui T., Fan H., Yang Z., Feng J., Li W. // J. Mater. Chem. A. 2020. V. 8. № 5. P. 2246–2285. https://doi.org/10.1039/C9TA12555H
- Ahmadian M., Anbia M. // Energy fuels. 2021. Vol. 35. P. 10347–10373. https://doi.org/10.1021/acs.energyfuels.1c00862
- Lee K.X., Valla J.A. // React. Chem. Eng. 2019. V. 4. № 8. P. 1357–1386. https://doi.org/10.1039/C9RE00036D
- Crandall B.S., Zhang J., Stavila V., Allendorf M.D., Li Z. // Ind. Eng. Chem. Res. 2019. V. 58. № 42. P. 19322–19352. https://doi.org/10.1021/acs.iecr.9b03183
- Valenzuela C., Donoso C., Guzmán-Beckmann L. // Key Eng. Mater. 2020. V. 834. P. 42–48. https://doi.org/10.4028/www.scientific.net/KEM.834.42
- Ahmed O.U., Mjalli F.S., Al-Wahaibi A.W., Al-Wahaibi Y., AlNashef I.M. // Solution Chem. 2018. № 3. V. 47. P. 468–483. https://doi.org/10.1007/s10953-018-0732-1
- Романовский Б.В., Тарханова И.Г. // Усп. хим. 2017. Т. 86. № 5. С. 444–458. https://doi.org/10.1070/RCR4666
- Speight J.G. Handbook of Petroleum Refining. CRC Press., 2016. 789 p.
- Tanimu A., Alhooshani K. // Energy Fuels. 2019. V. 33. № 4. P. 2810–2838. https://doi.org/10.1021/acs.energyfuels.9b00354
- Ghubayra R., Nuttall C., Hodgkiss S., Craven M., Kozhevnikova E.F., Kozhevnikov I.V. // Appl. Catal. B. 2019. V. 253. P. 309–316. https://doi.org/10.1016/j.apcatb.2019.04.063
- Li J., Yang Z., Li S., Jin Q., Zhao J. // J. Ind. Eng. Chem. 2020. V. 82. P. 1–16. https://doi.org/10.1016/j.jiec.2019.10.020
- Тарханова И.Г., Али-Заде А.Г., Буряк А.К., Зелик-ман В.М. // Катализ в промышленности. 2022. Т. 22. № 4. С. 43–50. https://doi.org/10.18412/1816-0387-2022-4-43-50
- Брыжин А.А., Руднев В.С., Лукиянчук И.В., Васильева М.С., Тарханова И.Г. // Кинетика и катализ. 2020. Т. 61. № 2. С. 262–270. https://doi.org/10.31857/S0453881120020021
- Xun S., Zhu W., Chang Y., Li H., Zhang M., Jiang W., Zheng D., Qin Y., Li H. // Chem. Eng. J. 2016. V. 288. P. 608–617. https://doi.org/10.1016/j.cej.2015.12.005
- Li X., Zhang J., Zhou F., Wang Y., Yuan X., Wang H. // Mol. Catal. 2018. V. 452. P. 93–99. https://doi.org/10.1016/j.mcat.2017.09.038
- Abdullah W.N.W., Bakar W.A.W.A., Ali R., Mokh-tar W.N.A.W., Omar M.F. // J. Clean. Prod. 2017. V. 162. P. 1455–1464. https://doi.org/10.1016/j.jclepro.2017.06.084
- Hao Y., Hao Y., Ren J., Wu B., Wang X., Zhao D., Li F. // New J. Chem. 2019. V. 43. № 20. P. 7725–7732. https://doi.org/10.1039/C9NJ00691E
- Ivanin I.A., Ali-Zade A.G., Golubeva E.N., Zubano-va E.M., Zelikman V.M., Buryak A.K., Tarkhanova I.G. // Mol. Catal. 2020. V. 484. 110727. https://doi.org/10.1016/j.mcat.2019.110727
- Singh S.K., Savoy A.W. // J. Mol. Liq. 2020. V. 297. 112038. https://doi.org/10.1016/j.molliq.2019.112038
- Ohno H., Yoshizawa-Fujita M., Kohno Y. // Phys. Chem. Chem. Phys. 2018. V. 20. № 16. P. 10978–10991. https://doi.org/10.1039/C7CP08592C
- Amarasekara A.S. // Chem. Rev. 2016. V. 116. № 10. P. 6133–6183. https://doi.org/10.1021/acs.chemrev.5b00763
- Gerola A.P., Costa P.F.A., Quina F.H., Fiedler H.D., Nome F. // Curr. Opin. Colloid Interface Sci. 2017. V. 32. P. 39–47. https://doi.org/10.1016/j.cocis.2017.09.005
- Hatab F.A., Darwish A.S., Lemaoui T., Warrag S.E.E., Benguerba Y., Kroon M.C., AlNashef I.M. // J. Chem. Eng. Data. 2020. V. 65. № 11. P. 5443–5457. https://doi.org/10.1021/acs.jced.0c00579
- Abdullah S.B., Aziz H.A., Man Z. Ionic Liquids for Desulphurization: A Review. In: Recent Advances in Ionic Liquids. Rahman M.M. (Ed.). London, IntechOpen, 2018. P. 107–120. https://doi.org/10.5772/intechopen.79281
- Player L.C., Chan B., Lui M.Y., Masters A.F., Maschmeyer T. // ACS Sustain. Chem. Eng. 2019. V. 7. № 4. P. 4087–4093. https://doi.org/10.1021/acssuschemeng.8b05585
- Zhou J., Mao J., Zhang S. // Fuel Process. Technol. 2008. V. 89. № 12. P. 1456–1460. https://doi.org/10.1016/j.fuproc.2008.07.006
- Su B.M., Zhang S., Zhang Z.C. // J. Phys. Chem. B. 2004. V. 108. № 50. P. 19510–19517. https://doi.org/10.1021/jp049027l
- Hansmeier A.R., Meindersma G.W., Haan A.B. // Green Chem. 2011. V. 13. № 7. P. 1907–1913. https://doi.org/10.1039/C1GC15196G
- Oliveira O.V., Paluch A.S., Costa L.T. // Fuel. 2016. V. 175. № 1. P. 225-231. https://doi.org/10.1016/j.fuel.2016.02.016
- Li J., Lei X.J., Tang X.D., Zhang X.P., Wang Z.Y., Jiao S. // Energy Fuels. 2019. V. 33. № 5. P. 4079–4088. https://doi.org/10.1021/acs.energyfuels.9b00307
- Elwan H.A., Zaky M.T., Farag A.S., Soliman F.S., Ezel Dean Hassan M. // J. Mol. Liq. 2017. V. 248. P. 549–555. https://doi.org/10.1016/j.molliq.2017.10.077
- Ren Z., Wei L., Zhou Z., Zhang F., Liu W. // Energy Fuels. 2018. V. 32. № 9. P. 9172–9181. https://doi.org/10.1021/acs.energyfuels.8b01936
- Ibrahim M.H., Hayyan M., Hashim M.A., Hayyan A. // Renew. Sust. Energ. Rev. 2017. V. 76. P. 1534–1549. https://doi.org/10.1016/j.rser.2016.11.194
- Mai N.L., Ahn K., Koo Y.M. // Process Biochem. 2014. V. 49. № 5. P.872–881. https://doi.org/10.1016/j.procbio.2014.01.016
- Hao Y., Hao Y., Ren J., Wu B., Wang X., Zhao D., Li F. // New J. Chem. 2019. V. 43. № 20. P. 7725–7732. https://doi.org/10.1039/C9NJ00691E
- Jiang W., Zhu K., Li H., Zhu L., Hua M., Xiao J., Wang C., Yang Z., Chen G., Zhu W., Li H., Dai S. // Chem. Eng. J. 2020. V. 394. 124831. https://doi.org/10.1016/j.cej.2020.124831
- Lü H., Wang S., Deng C., Ren W., Guo B. // J. Hazard. Mater. 2014. V. 279. P. 220–225. https://doi.org/10.1016/j.jhazmat.2014.07.005
- Wang L., Wang H., Wang Y. // J. Mol. Struct. 2020. V. 1220. 128779. https://doi.org/10.1016/j.molstruc.2020.128779
- Jiang B., Yang H., Zhang L., Zhang R., Sun Y., Huang Y. // Chem. Eng. J. 2016. V. 283. P. 89–96. https://doi.org/10.1016/j.cej.2015.07.070
- García-Gutiérrez J.L., Fuentes G.A., Hernández-Terán M.E., García P., Murrieta-Guevara F., Jiménez-Cruz F. // Appl. Catal., A. 2008. V. 334. № 1–2. P. 366–373. https://doi.org/10.1016/j.apcata.2007.10.024
- Otsuki S., Nonaka T., Takashima N., Qian W., Ishihara A., Imai T., Kabe T. // Energy Fuels. 2000. V. 14. № 6. P. 1232–1239. https://doi.org/10.1021/ef000096i
- Акопян А.В., Есева Е.А., Поликарпова П.Д., Кедало А.А., Анисимов А.В. // Вестн. Моск. Ун-та. Сер. 2. Химия. 2019. Т. 60. № 6. С. 375–383. https://doi.org/10.3103/S0027131419060026
- Акопян А.В., Есева Е.А., Поликарпова П.Д., Байгильдиев Т.М., Родин И.А., Анисимов А.В. // Журн. прикл. химии. 2019. Т. 92. № 4. С. 531–537. https://doi.org/10.1134/S1070427219040141
- Akopyan A., Eseva E., Polikarpova P., Kedalo A., Vutolkina A., Glotov A. // Molecules. 2020. V. 25. C. 536–550. https://doi.org/10.3390/molecules25030536
- Bartlewicz O., Dąbek I., Szymańska A., Maciejewski H. // Catalysts. 2020. V. 10. № 11. 1227. https://doi.org/10.3390/catal10111227
- Fehrmann R., Riisager A., Haumann M. (Eds.) Suppor-ted Ionic Liquids. Weinheim. Germany: Wiley-VCH Verlag GmbH & Co. KGaA. 2014. 496 p.
- Steinrück H.-P., Wasserscheid P. // Catal. Lett. 2015. V. 145. № 1. P. 380–397. https://doi.org/10.1007/s10562-014-1435-x
- Naicker L., Friedrich H.B., Govender A., Mohlala P. // Appl. Catal., A. 2018. V. 562. P. 37–48. https://doi.org/10.1016/j.apcata.2018.05.018
- Friedrich M.F., Lucas M., Claus P. // Catal. Commun. 2017. V. 88. P. 73–76. https://doi.org/10.1016/j.catcom.2016.09.036
- Mondal P., Chatterjee S., Nurjamal K., Maity S., Bhaumik A., Brahmachari G., Ghosh P., Mukhopadhyay C. // Catal. Commun. 2020. V. 139. 105966. https://doi.org/10.1016/j.catcom.2020.105966
- Xu Z., Wan H., Miao J., Han M., Yang C., Guan G. // J. Mol. Catal. A: Chem. 2010. V. 332. № 1–2. P. 152–157. https://doi.org/10.1016/j.molcata.2010.09.011
- Li L.X., Ling Q.L., Liu Z.L., Xing X.D., Zhu X.Q., Meng X. // Bull. Korean Chem. Soc. 2012. V. 33. № 10. P. 3373–3377. https://doi.org/10.5012/bkcs.2012.33.10.3373
- Zhang Q., Luo J., Wei Y. // Green Chem. 2010. V. 12. № 12. P. 2246–2254. https://doi.org/10.1039/C0GC00472C
- Wang G., Yu N., Peng L., Tan R., Zhao H., Yin D., Qiu H., Fu Z., Yin D. // Catal. Lett. 2008. V. 123. № 3–4. P. 252–258. https://doi.org/10.1007/s10562-008-9415-7
- Jankowska-Wajda M., Bartlewicz O., Szpecht A., Zajac A., Smiglak M., Maciejewski H. // RSC Adv. 2019. V. 9. P. 29396–29404. https://doi.org/10.1039/C9RA05948B
- Lijewski M., Hogg J.M., Swadźba-Kwaśny M., Wasserscheid P., Haumann M. // RSC Adv. 2017. V. 7. № 44. P. 27558–27563. https://doi.org/10.1039/C7RA03295A
- Pavel O.D., Podolean I., Parvulescu V.I., Taylor S.F.R., Manyar H.G., Ralphs K., Goodrich P., Hardacre C. // Faraday Discuss. 2018. V. 206. P. 535–547. https://doi.org/10.1039/C7FD00159B
- Barth T., Korth W., Jess A. // Chem. Eng. Technol. 2017. V. 40. № 2. P. 395–404. https://doi.org/10.1002/ceat.201600140
- Podolean I., Pavel O.D., Manyar H.G., Taylor S.F.R., Ralphs K., Goodrich P., Pârvulescu V.I., Hardacre C. // Catal. Today. 2019. V. 333. P. 140–146. https://doi.org/10.1016/j.cattod.2018.07.014
- Safa M., Mokhtarani B., Mortaheb H.R., Tabar Heidar K., Sharifi A., Mirzaei M. // Energy Fuels. 2017. V. 31. № 9. P. 10196–10205. https://doi.org/10.1021/acs.energyfuels.6b03505
- Li X., Zhang J., Zhou F., Wang Y., Yuan X., Wang H. // Mol. Catal. 2018. V. 452. P. 93–99. https://doi.org/10.1016/j.mcat.2017.09.038
- Xun S., Zhu W., Chang Y., Li H., Zhang M., Jiang W., Zheng D., Qin Y., Li H. // Chem. Eng. J. 2016. V. 288. P. 608–617. https://doi.org/10.1016/j.cej.2015.12.005
- Ali-Zade A.G., Buryak A.K., Zelikman V.M., Oskolok K.V., Tarkhanova I.G. // New J. Chem. 2020. V. 44. № 16. P. 6402–6410. https://doi.org/10.1039/C9NJ05403K
- Bryzhin A.A., Gantman M.G., Buryak A.K., Tarkhano-va I.G. // Appl. Catal., B. 2019. V. 257. 117938. https://doi.org/10.1016/j.apcatb.2019.117938
- Брыжин А.А., Буряк А.К., Гантман М.Г., Зелик-ман В.М., Шилина М.И., Тарханова И.Г. // Кинетика и катализ. 2020. Т. 61. № 5. С. 688–699. https://doi.org/10.1134/S0023158420050018
- Jalil P.A., Faiz M., Tabet N., Hamdan N.M., Hussain Z. // J. Catal. 2003. V. 217. № 2. P. 292–297. https://doi.org/10.1016/S0021-9517(03)00066-6
- Craven M., Xiao D., Kunstmann-Olsen C., Kozhevniko-va E.F., Blanc F., Steiner A., Kozhevnikov I.V. // Appl. Catal., B. 2018. V. 231. P. 82–91. https://doi.org/10.1016/j.apcatb.2018.03.005
- Горбунов В.С., Брыжин А.А., Попов А.Г., Тархано-ва И.Г.// Нефтехимия. 2021. Т. 61. № 6. С. 858–868. https://doi.org/10.1134/S0965544121110086
- Vekariya R.L. // J. Mol. Liq. 2017. V. 227. P. 44–60. https://doi.org/10.1016/j.molliq.2016.11.123
- Tarkhanova I.G., Bryzhin A.A., Gantman M.G., Yaro-vaya T.P., Lukiyanchuk I.V., Nedozorov P.M., Rudnev V.S. // Surf. Coat. Technol. 2019. V. 362. P. 132–140. https://doi.org/10.1016/j.surfcoat.2019.01.101
- Bryzhin A.A., Tarkhanova I.G., Gantman M.G., Rud-nev V.S., Vasilyeva M.S., Lukiyanchuk I.V. // Surf. Coat. Technol. 2020. V. 393. 125746. https://doi.org/10.1016/j.surfcoat.2020.125746
- Брыжин А.А., Тарханова И.Г., Маслаков К.И., Николаев С.А., Гуревич С.А., Кожевин В.М., Явсин Д.А., Гантман М.Г, Ростовщикова Т.Н. // Журн. физ. химии. 2019. Т. 93. № 10. С. 1575–1583. https://doi.org/10.1134/S0036024419100029
- Ростовщикова Т.Н., Локтева Е.С., Шилина М.И., Голубина Е.В., Маслаков К.И., Кротова И.Н., Брыжин А.А., Тарханова И.Г., Удалова О.В., Кожевин В.М., Явсин Д.А., Гуревич С.А. // Журн. физ. химии. 2021. Т. 95. № 3. С. 348–373. https://doi.org/10.1134/S0036024421030171
- Gerola A.P., Costa P.F.A., Quina F.H., Fiedler H.D., Nome F // Curr. Opin. Colloid Interface Sci. 2017. V. 32. P. 39–47. https://doi.org/10.1016/j.cocis.2017.10.002
- Mayank M., Singh A., Raj P., Kaur R., Singh A., Kaur N., Singh N. // New J. Chem. 2017. V. 41. № 10. P. 3872–3881. https://doi.org/10.1039/C6NJ03763A
- Тарханова И.Г., Анисимов А.В., Буряк А.К., Бры-жин А.А., Али-Заде А.Г., Акопян А.В., Зеликман В.М. // Нефтехимия. 2017. Т. 57. № 5. С. 536–544. https://doi.org/10.1134/S0965544117100164
- Акопян А.В., Есева Е.А., Поликарпова П.Д., Кедало А.А., Анисимов А.В. // Вестн. Моск. Ун-та. Сер. 2. Химия. 2021. Т. 62. № 4. С. 360–370. https://doi.org/10.3103/S0027131421030020
- Акопян А.В., Есева Е.А., Арзяева Н.В., Таланова М.Ю., Поликарпова П.Д. // Нефтехимия. 2022. Т. 62. № 1. С. 111–118. https://doi.org/10.1134/S0965544122010169
- Akopyan A., Polikarpova P., Gul O., Anisimov A., Karakhanov E. // Energy Fuels. 2020. V. 34. № 11. P. 14611–14619. https://doi.org/10.1021/acs.energyfuels.0c02008
- Oxidation desulfurization method based on Lewis acid and ion liquid. PETROCHINA CO LTD; UNIV BEIJIN CHEMICAL. Патент КНР 103509590. 2012.
- Biomimetic oxidative desulfurization method for fuel in ionic liquid. SHANXI INST COAL CHEMISTRY. Патент КНР CN 105419853. 2012.
- Oxidation desulfurization method for rare earth poli-acid and ionic liquid extraction catalysis fuel oil. UNIV BEIJIN CHEMICAL. Патент КНР 102585888. 2012.
- Oxidative coupling extraction desulfurization of petroleum product as well as and ionic liquid and preparation method thereof. SHANXI INST COAL CHEMISTRY. Патент КНР 102525453. 2012.
- Catalytic oxidation oil product desulfurization method based on phosphotungststic acid ionic liquid. UNIV LIAONING SHIHUA. Патент КНР 104312261. 2014.
- Ionic liquid based oxidative extraction desulfurization method. UNIV EAST CHINA SCIENCE AND TECH. Патент КНР 105176570. 2008.
- Скороходова Т.С., Сачков В.И., Маракина Е.И., Коботаева Н.С., Андриенко О.С. Способ очистки дизельного топлива от серосодержащих соединений. Патент РФ 2673539. 2018.
Дополнительные файлы































