High-precision measurement of the group velocity of ultrasound in structural materials on a small base
- Authors: Makalkin D.I.1,2, Karabutov A.A.1, Savateeva E.V.1
-
Affiliations:
- Prokhorov General Physics Institute of the Russian Academy of Sciences
- MIREA – Russian Technological University
- Issue: Vol 518, No 1 (2024)
- Pages: 75-80
- Section: ТЕХНИЧЕСКИЕ НАУКИ
- URL: https://journals.rcsi.science/2686-7400/article/view/282899
- DOI: https://doi.org/10.31857/S2686740024050121
- EDN: https://elibrary.ru/HWVPIO
- ID: 282899
Cite item
Full Text
Abstract
A method for high-precision measurement of the group velocity of ultrasound in millimeter-thick metal plates using a laser thermo-optical source of ultrasonic pulses is considered. Thickness-calibrated Gauge blocks are used as samples. The influence of the ultrasonic beam diffraction effect and other technical factors are taken into account. It has been experimentally shown that deconvolution of a signal with a pulse characteristic of a receiving converter, together with digital filtering, helps to reduce the dispersion of group velocity measurements – it is less than 0.2% for samples with thicknesses of 1–2 mm.
Full Text
Развитие техники в значительной мере определяется повышением энергонасыщенности деталей и механизмов и ужесточением условий их функционирования, что требует разработки и совершенствования методов неразрушающего контроля [1]. При этом, в частности, возрастает влияние действующих и остаточных механических напряжений на надежность и стойкость системы. Поэтому неразрушающий оперативный контроль напряженного состояния деталей становится все более актуальным.
Основными методами неразрушающего контроля внутренних напряжений являются рентгеновская дифрактометрия и ультразвуковая тензометрия. Рентгеновская дифрактометрия основана на изменении угла дифракции рентгеновского пучка при деформации кристаллической решетки под действием внутренних напряжений, что делает ее применимость для контроля не демонтированных деталей и узлов весьма ограниченной. Ультразвуковая тензометрия использует акустоупругий эффект зависимости скорости ультразвука от механических напряжений на трассе распространения акустического пучка по контролируемому объекту [2], что позволяет производить контроль без разборки механизма. Величина эффекта, однако, мала и даже на пороге текучести практически не превышает нескольких процентов. Поэтому для практического использования эффекта акустоупругости в задачах тензометрии необходимо измерять скорость ультразвука с повторяемостью лучше долей процента на масштабе, ограниченном размером области локализации напряжений (малая база). Это требует уменьшения длительности импульса акустической волны и размеров “прозвучиваемой” области. Такому условию в наибольшей степени удовлетворяют лазерные термооптические источники субмикросекундных ультразвуковых импульсов [3].
В актуальном государственном первичном эталоне единиц скоростей распространения и коэффициента затухания ультразвуковых волн в твердых средах (ГЭТ 189-2014) [4] используется бесконтактный УЗ-метод измерения скорости в теневом режиме, который развивался в 70-е и 80-е годы прошлого века [5]: лазерное излучение возбуждает УЗ-волну непосредственно на поверхности образца, а затем оптическим способом, с помощью лазерной интерферометрии, происходит детектирование УЗ-колебаний противоположной поверхности, в результате чего измеряется скорость распространения УЗ. Хотя заявленная в эталоне систематическая погрешность измерения скорости продольных волн составляет менее 0.014% (диапазон скоростей 5000–6500 м/с, полоса частот 0.5–25 МГц, диапазон толщин образцов от 2 до 100 мм из стали 40Х13, Д16Т и кварцевого стекла К8), для более тонких образцов данные не приводятся. Отметим, что при облучении лазером непосредственно поверхности образца, во-первых, возрастает риск абляции [6], приводящей к порче поверхности образца и, во-вторых, возникает нагрев подповерхностного слоя образца, влияющий на модуль Юнга материала образца и, как следствие, на скорость звука [7] и, соответственно, на точность измерений. Кроме того, теневой режим измерения скорости ультразвука имеет существенные ограничения в практических применениях, поскольку при нем необходим доступ к обеим сторонам образца с плоскопараллельными поверхностями и известной с высокой точностью толщиной.
Альтернативой этому может стать метод [8, 9], где короткие УЗ-импульсы возбуждаются наносекундным лазером термооптически с помощью специального оптико-акустического (ОАП), примыкающего к образцу, а прием УЗ-волн осуществляется в эхо-режиме. При этом необходим доступ только к одной стороне образца, а лазерное излучение не может повредить поверхность образца или нагреть его напрямую. Прежде мы осуществляли компенсацию дифракции УЗ-волн в образце благодаря расчету специальных поправок для групповой скорости, которые были получены при моделировании трансформации гауссовского импульса [9]. В данной работе мы обсуждаем возможное улучшение точности этого метода для применения в плоскопараллельных стальных образцах толщиной меньше 2 мм, а также проверяем эффективность компенсации дифракции с помощью деконволюции записанного сигнала с импульсной характеристикой приемного преобразователя и учитываем иные ограничения технического характера.
МЕТОДИКА ЭКСПЕРИМЕНТА
Измерения проводились на образцах, которыми были стальные плитки Иогансона из стандартного набора концевых мер длины. Мы провели измерения с плитками толщиной до 10.00 мм, но поскольку в данной работе нас интересует лишь толщины до 2 мм, то мы приводим результаты только для толщин 1.000, 1.500 и 1.900 мм.
Для термооптического возбуждения ультразвука в широкой полосе и его приема в эхо-режиме использовался дефектоскоп УДЛ-2М. Дефектоскоп состоит из возбуждающей и принимающей УЗ-частей, изображенных на рис. 1 вместе в сокращенном виде. Возбуждение звука осуществляется с помощью лазера с диодной накачкой с длиной волны 1053 нм, излучающего импульс длительностью 10 нс по полувысоте и c максимальной энергией 300 мкДж. Через оптоволокно 1 лазерный импульс подводится внутрь звукопровода 2 на оптико-акустический преобразователь 3, который преобразует импульсы лазерного излучения в импульсы ультразвука, распространяющиеся в звукопроводе и вне его в виде пучков с гауссовским поперечным распределением (начальный диаметр УЗ-пучков по уровню 1/e составлял 5.5 мм). Ушедший в звукопровод УЗ-импульс (темная стрелка) попадает на широкополосный пьезопреобразователь 4 первым – это зондирующий УЗ-импульс. Прошедший через водную иммерсию 5 в образец 6 УЗ-импульс (светлая стрелка) будет многократно переотражаться от его параллельных торцов (реверберировать), частично проходя в звукопровод и на пьезопреобразователь. Термином “приемный преобразователь” далее мы будем называть пару звукопровод–пьезопреобразователь. Напряжение с пьезопреобразователя обрабатывается АЦП, вследствие чего формируется дискретный сигнал.
Рис. 1. Экспериментальная установка (фрагмент).
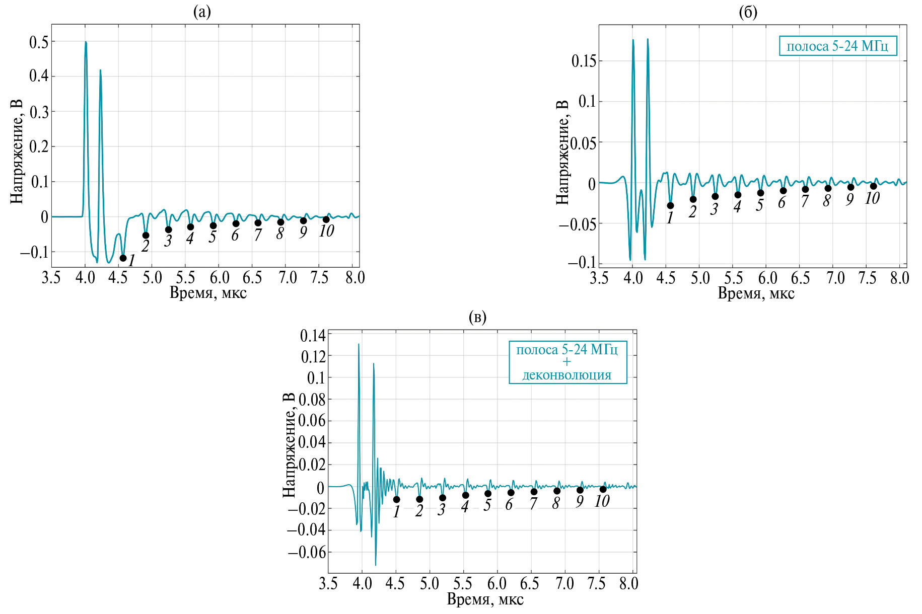
Исходный (необработанный) сигнал приведен на рис. 2. В нем можно выделить зондирующий импульс, состоящий из фазы сжатия длительностью ~60 нс по уровню 1/e и следующей за ней более длительной фазы разрежения, появляющейся за счет дифракции низкочастотных составляющих импульса при его распространении внутри преобразователя. Далее следует импульс отражения от лицевой поверхности образца и импульсы многократных отражений внутри образца (реверберации). Кроме импульсов продольных волн, в сигнале возникают импульсы сдвиговых волн. Причиной их появления является ограниченность акустического пучка, который отражается от свободной донной поверхности образца.
Рис. 2. Необработанный сигнал при образце толщиной 1 мм.
Групповая скорость продольных УЗ-волн определялась времяпролетным методом, а временной интервал брался между экстремумами отражений. Импульс отражения от лицевой поверхности образца не использовался в расчетах по причине различия влияния на его форму и форму последующих импульсов отражения от иммерсионного слоя, из-за чего истинное время его экстремума может содержать дополнительные погрешности.
При измерении групповой скорости предстояло учесть некоторые особенности распространения звука в образцах и установке, которые условно можно разделить на технические и физические факторы. Одним из технических факторов является ограниченность спектра сигнала. Существует временное наложение низкочастотных гармоник импульсов соседних отражений, из-за чего их следует отфильтровать из сигнала, и область фильтрации определяется неравенством
(1)
где и – групповая скорость продольных волн в данном образце и его толщина соответственно. Нетрудно оценить, что для самого тонкого образца стали с толщиной 1.00 мм и средним значением групповой скорости продольных волн м/с из сигнала нужно отфильтровать гармоники с частотами < 3 МГц. Кроме того, в ВЧ-части спектра присутствуют технические шумы, превышающие уровень полезного сигнала. Для осуществления фильтрации, нивелирующей описанные проблемы, использовался гипергауссовский фильтр с полосой 5–24 МГц. Другим техническим фактором является уменьшение амплитуды последовательных отражений. Многократные отражения обладают малой амплитудой и поэтому становятся трудноразличимыми с шумами и посторонними сигналами, что в итоге искажает положение их экстремумов и влияет на точность измерения групповой скорости. Поэтому мы брали для расчетов лишь первые десять отражений. Среди физических факторов можно выделить дифракцию УЗ-пучка, распространяющегося внутри образца и звукопровода, что будет обсуждаться ниже.
Рис. 3. Этапы обработки сигнала с отраженными УЗ-импульсами для образца толщиной 1 мм: без обработки (а), после цифровой фильтрации (б), после цифровой фильтрации и деконволюции (в).
РЕЗУЛЬТАТЫ
Мы измерили групповые скорости по разнице времен для каждой возможной комбинации отражений (1–2, 1–3…1–10, 2–3, 2–4… и т.д.), а затем распределили полученные результаты по группам, значение скорости в которых отличаются друг от друга не более чем на 1 м/с. На рис. 4 показаны гистограммы частоты выпадания значения групповой скорости, соответствующего указанному диапазону скоростей, без применения деконволюции. Разброс групповых скоростей для образцов с толщинами 1.000, 1.500 и 1.900 мм относительно средних значений составляет ±0.14, ±0.4 и ±0.3% соответственно. Хотя такие гистограммы построены по одному сигналу, содержащему 10 отражений, каждое из которых хранит в себе информацию о предыдущих, эти распределения скорости не являются в полной мере распределением зависимой величины. Измеренный сигнал кроме отражений вмещает в себя и другие возмущения, как относящиеся к данному образцу (например, сдвиговые УЗ-волны), так и относящиеся к измерительному тракту (электрические шумы). Наложение этих возмущений на отражения сообщает положению их экстремумов дополнительный случайный характер, что способствует приданию гистограммам вида нормальных распределений. Первые две гистограммы это явно демонстрируют, а у третьей есть детерминированное влияние на распределение измерений в области больших скоростей. Безотносительно природы случайных или закономерных причин, все три распределения по итогу обладают довольно ограниченным разбросом, что является положительным следствием используемой экспериментальной установки и примененной цифровой фильтрации. Кроме того, заметно, как с ростом толщины уменьшается среднее значение групповой скорости звука. И это может быть связано с усилением фактора дифракции, обусловленной ограниченностью УЗ-пучка, при переходе пучка из ближней дифракционной зоны преобразователя в дальнюю, что приводит к большему искажению профиля УЗ-импульса отражения и большему смещению его экстремума. Такое явление было обосновано теоретически в работе [9].
Рис. 4. Гистограммы частоты выпадания значения групповой скорости для образцов 1.000 (а), 1.500 (б) и 1.900 мм (в) без применения деконволюции. Оранжевым цветом указано среднее значение скорости в данном распределении, а число в синей рамке – наибольшее относительное отклонение от среднего.
“Компенсация” дифракции в приемном преобразователе производилась с помощью процедуры деконволюции отфильтрованного сигнала с импульсной характеристикой приемного преобразователя (см. рис. 5). После деконволюции (рис. 6) дисперсия составляет ±0.12, ±0.09 и ±0.10% соответственно, что в разы меньше результатов без деконволюции для образцов толщиной 1.500 и 1.900 мм. Рассчитанные средние скорости после деконволюции заметно уменьшились, где-то на десяток, а где-то и на два десятка м/с. Действительно, дифракция должна повышать значение групповой скорости, а компенсация дифракции – снижает [9]. Заметим, что для совсем тонких образцов не следует ожидать существенных улучшений в любой подобной методике измерения групповой скорости, поскольку погрешность, связанная с производственной неравномерностью толщины образца, может оказаться выше.
Рис. 5. Импульсная характеристика приемного преобразователя (фрагмент).
Рис. 6. Гистограммы частоты выпадания значения групповой скорости для образцов с толщинами 1.000 (а), 1.500 (б) и 1.900 мм (в) с применением деконволюции.
ЗАКЛЮЧЕНИЕ
Усовершенствован метод измерения групповой скорости ультразвука в широкой полосе частот 5–24 МГц с помощью лазерного термооптического источника. Использование расчетных методов снижения влияния дифракции и технических факторов позволяет измерять групповую скорость продольных УЗ-волн в тонких плоскопараллельных стальных образцах толщиной меньше 2 мм с дисперсией менее 0.2%. Следует отметить, что полученные результаты дают среднюю скорость ультразвука в широкой полосе частот, а их пересчет при узкополосной фильтрации сигнала позволит получить дисперсию фазовой скорости ультразвука.
About the authors
D. I. Makalkin
Prokhorov General Physics Institute of the Russian Academy of Sciences; MIREA – Russian Technological University
Author for correspondence.
Email: dmitrymakalkin@yandex.ru
Russian Federation, Moscow; Moscow
A. A. Karabutov
Prokhorov General Physics Institute of the Russian Academy of Sciences
Email: dmitrymakalkin@yandex.ru
Russian Federation, Moscow
E. V. Savateeva
Prokhorov General Physics Institute of the Russian Academy of Sciences
Email: dmitrymakalkin@yandex.ru
Russian Federation, Moscow
References
Supplementary files








