Isentropic compressibility of VNM-3-2 alloy in area of ultra-high pressures
- Authors: Boriskov G.V.1, Bykov A.I.1, Egorov N.I.1, Korshunov A.S.1, Makarov I.V.1, Pavlov N.V.1, Repin P.B.1, Selemir V.D.1, Strelkov I.S.1, Surdin O.M.1, Belyaeva N.A.1, Belov S.I.1
-
Affiliations:
- Russian Federal Nuclear Center – All-Russian Scientific Research Institute of Experimental Physics
- Issue: Vol 516, No 1 (2024)
- Pages: 5-9
- Section: ФИЗИКА
- URL: https://journals.rcsi.science/2686-7400/article/view/272079
- DOI: https://doi.org/10.31857/S2686740024030018
- EDN: https://elibrary.ru/KANWQE
- ID: 272079
Cite item
Full Text
Abstract
The authors provide the performance and experiment results of the isentropic compression of the tungsten VNM-3-2 alloy up to ultra-high (>1 Mbar) pressures in a device based on the magneto-cumulative generator. The points obtained on the diagram “compression-pressure” are compared with a normal isentrope constructed based on the data of shock-wave experiments.
Full Text
Работа посвящена исследованию уравнения состояния широко применяемого в технике сплава марки ВНМ-3-2 (содержит 95% W, 3% Ni, 2% Cu) [1–4] в мегабарной области давлений в устройстве изоэнтропического сжатия на основе магнитокумулятивного генератора сверхсильных магнитных полей МК-1 [5].
Исследование поведения веществ, прежде всего их уравнений состояния, при низких температурах и сверхвысоких давлениях является одной из фундаментальных задач физики высоких плотностей энергии. Одной из важнейших характеристик уравнения состояния вещества является его нулевая изотерма (т.н. кривая “холодного” сжатия), либо близко примыкающая к ней нормальная изоэнтропа, определяющие, в частности, сжимаемость вещества в конденсированной фазе. В настоящее время лишь метод изоэнтропического сжатия позволяет эффективно определять характеристики вещества в области низких температур и сверхвысоких (мультимегабарных) давлений.
Способ изоэнтропического сжатия давлением сверхсильного магнитного поля реализован в виде экспериментальной установки, содержащей устройство сжатия, рентгенографическую установку (бетатрон), регистратор рентгеновского излучения, элементы электроизмерительных схем, устройства синхронизации и подрыва заряда взрывчатого вещества (ВВ), а также источник питания (мощная конденсаторная батарея или спиральный взрывомагнитный генератор [6]).
Основными элементами устройства сжатия являются двухкаскадный магнитокумулятивный генератор сверхсильных магнитных полей МК-1 и располагающаяся по оси генератора в области однородности магнитного поля (~120 мм вдоль оси генератора) цилиндрическая камера сжатия (рис. 1).
Рис. 1. 1 – соленоид начального магнитного поля (первый каскад), 2 – второй каскад, 3 – камера сжатия, 4 – заряд ВВ.
Двухкаскадный генератор МК-1 сверхсильного магнитного поля служит источником сверхвысокого давления и включает в себя соленоид начального магнитного поля (он же – первый каскад генератора), дополнительную токонесущую, после соударения с первым каскадом, оболочку (второй каскад) и кольцевой заряд взрывчатого вещества (ВВ) в качестве основного источника энергии.
Камера сжатия (рис. 2) образована толстостенной медной обжимающей трубкой и массивными торцевыми заглушками (габаритные размеры камеры сжатия: длина – 150 мм, диаметр – 21.8 мм). Под обжимающей трубкой коаксиально располагаются датчики давления (эталоны) и исследуемый образец, отделенные от обжимающей трубки тонкой (~0.15 мм) контрастирующей оболочкой, изготовленной на основе сплава вольфрама.
Рис. 2. Схема камеры сжатия: 1 и 9 – медные герметичные заглушки, 2 – обжимающая трубка, 3 и 8 – торцевые заглушки, 4 – контрастирующая оболочка, 5 – периферийный эталон давления, 6 – исследуемый образец, 7 – центральный эталон давления.
Во время разряда мощной конденсаторной батареи или спирального взрывомагнитного генератора (ток разряда I0 ≈ 1.6–2.3 МА) на соленоид генератора в его полости, в зазоре между соленоидом и обжимающей трубкой, создается начальное магнитное поле Н0 ≈ 120–170 кГс. В процессе работы генератора МК-1 магнитное поле в зазоре усиливается до мегагауссных значений (~10 МГс), оказывая на внешнюю поверхность камеры сжатия однородное магнитное давление Н2/8π. В результате трубка камеры схлопывается без образования ударных волн и сжимает (в течение ≈17 мкс) расположенные внутри нее вещества до мегабарных давлений.
При проведении эксперимента производится рентгенографирование камеры сжатия импульсом тормозного излучения бетатрона БИМ-234 [7] с регистрацией изображения на фотохромные пластины или рентгеновские пленки. Рентгенографирование производится перед проведением эксперимента (предварительный снимок) и в моменты времени, когда в камере сжатия достигается сверхвысокое давление (основной снимок). Как правило, в эксперименте использовалось от 7 до 10 фотохромных пластин по каждому каналу рентгенографирования камеры сжатия. По результатам обработки полученных в эксперименте изображений на рентгеновских снимках определяются размеры, а следовательно, и сжатие как исследуемого, так и эталонных образцов. Зная сжатие и начальную плотность ρ0 образца, легко определить его плотность в момент рентгенографирования. По плотности эталонов, с помощью их известной изоэнтропы, можно определить давление в эталонах и, после учета небольших расчетных поправок, в исследуемом веществе. В качестве эталона лучше всего подходит алюминий, для которого накоплен и обработан наиболее обширный и представительный статистический материал, охватывающий требуемый интервал давлений [8–11].
Таким образом, изменяя от эксперимента к эксперименту время рентгенографирования, на плоскости P – σ получаем для исследуемого вещества набор точек, соответствующий его “холодной” изоэнтропе.
На рис. 3 приведены в качестве примера рентгенограммы камеры сжатия сплава ВНМ-3-2 одного из экспериментов, в котором между образцами и верхней торцевой заглушкой камеры сжатия был специально оставлен небольшой (≈1 мм) зазор.
Рис. 3. Экспериментальные рентгенограммы: а – предварительный снимок (образцы в начальном состоянии), б – основной снимок (момент сжатия).
Сохранение в процессе сжатия зазора говорит об отсутствии сколь-нибудь значимого перемещения сжимаемых веществ в осевом направлении.
Полученные рентгеновские изображения сканировались, после чего подвергались математической обработке с использованием нелинейной фильтрации. Для каждого из снимков строилась денситограмма (рис. 4) – зависимость плотности почернения от радиального расстояния. По расположению ее минимумов определяются значения внешнего радиуса эталонов, а по расположению точек перегиба – значение внешнего радиуса исследуемого образца.
Рис. 4. Характерная денситограмма: 1 – предварительный снимок, 2 – основной снимок.
Точность определения сжатия и давления определяется, прежде всего, точностью измерения внешних радиусов эталонных образцов при нормальных условиях и в сжатом состоянии. Погрешности измерения радиусов сжатых оболочек на порядок превышают погрешность измерения начальных размеров, поэтому последней мы пренебрегаем. Погрешность измерения давления и сжатия вычислялась в соответствии с правилом вычисления погрешности функции от нескольких переменных по изложенной в [1, 2] процедуре. В данном случае такими переменными являются измеряемые в опыте радиусы.
Результаты экспериментов
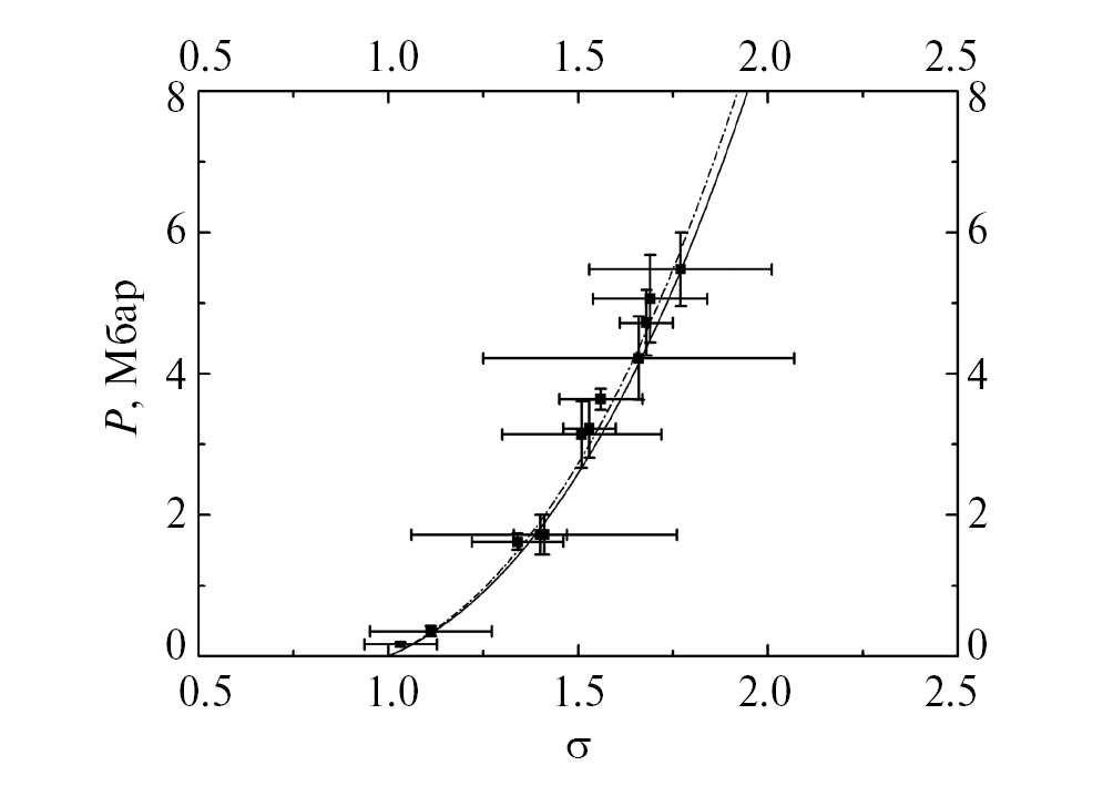
После обработки экспериментальных данных на фазовой диаграмме сплава ВНМ-3-2 в координатах “сжатие-давление” построена изоэнтропа, соответствующая начальной температуре исследуемого образца, близкой к комнатной, и начальному давлению, близкому к атмосферному (рис. 5). Вследствие малости тепловой составляющей давления полученные точки дают также представление и о поведении нулевой изотермы исследуемого сплава. Результаты всех проведенных со сплавом ВНМ-3-2 опытов приведены в табл. 1. Начальная плотность ρ0 всех исследуемых образцов сплава ВНМ-3-2 определялась с точностью ± 0.05 г/см3.
Рис. 5. Расчетная нормальная изоэнтропа сплава ВНМ-3-2 в сопоставлении с экспериментальными результатами.
Таблица 1. Результаты опытов со сплавом ВНМ-3-2
ρ0, г/см3 | σ, отн. ед. | P, Мбар |
17.29 | 1.032 ± 0.096 | 0.169 ± 0.031 |
17.29 | 1.112 ± 0.160 | 0.353 ± 0.073 |
18.17 | 1.34 ± 0.12 | 1.62 ± 0.12 |
18.17 | 1.40 ± 0.07 | 1.71 ± 0.27 |
17.29 | 1.41 ± 0.35 | 1.72 ± 0.28 |
18.17 | 1.51 ± 0.21 | 3.14 ± 0.47 |
18.17 | 1.53 ± 0.07 | 3.14 ± 0.40 |
18.17 | 1.56 ± 0.11 | 3.64 ± 0.15 |
17.29 | 1.66 ± 0.41 | 4.22 ± 0.59 |
18.17 | 1.68 ± 0.07 | 4.66 ± 0.48 |
18.17 | 1.69 ± 0.15 | 5.06 ± 0.62 |
17.29 | 1.77 ± 0.24 | 5.48 ± 0.52 |
Точки показаны также на рис. 5 в сопоставлении с нормальной изоэнтропой, построенной нами для сплава ВНМ-3-2 методом Альтшулера–Брусникина–Кузьменкова [12] с использованием данных ударно-волновых экспериментов [13]. Эта изоэнтропа применяется при моделировании работы устройства сжатия и задается формулой:
.
Здесь a0 = 3.383 км/с, q = 10.103. Наблюдается достаточно хорошая согласованность экспериментальных результатов с расчетными.
Заключение
Построена соответствующая нормальным условиям фазовая диаграмма “давление-сжатие” сплава ВНМ-3-2 вплоть до давлений ~6 Мбар, которая хорошо согласуется с ранее построенной полуфеноменологческой изоэнтропой. Полученная по результатам проведенных опытов информация позволяет достаточно надежно строить уравнение состояния твердотельной фазы в широком диапазоне температур и давлений не только для исследуемого сплава, но и для любых веществ с большим атомным номером.
Благодарности
Авторы выражают особую благодарность Ю.В. Вилкову, А.В. Бочкарёву, А.А. Тютяеву, Я.А. Мельнику, С.И. Шлёпкину, М.М. Саиткулову, А.В. Рыжкову, С.Ю. Согрину, С.Е. Елфимову, Е.П. Волкову, Р.В. Тилькунову.
Источник финансирования
Исследования выполнены при финансовой поддержке госкорпорации “Росатом”.
About the authors
G. V. Boriskov
Russian Federal Nuclear Center – All-Russian Scientific Research Institute of Experimental Physics
Author for correspondence.
Email: boriskov@ntc.vniief.ru
Russian Federation, Sarov, Nizhniy Novgorod Region
A. I. Bykov
Russian Federal Nuclear Center – All-Russian Scientific Research Institute of Experimental Physics
Email: boriskov@ntc.vniief.ru
Russian Federation, Sarov, Nizhniy Novgorod Region
N. I. Egorov
Russian Federal Nuclear Center – All-Russian Scientific Research Institute of Experimental Physics
Email: boriskov@ntc.vniief.ru
Russian Federation, Sarov, Nizhniy Novgorod Region
A. S. Korshunov
Russian Federal Nuclear Center – All-Russian Scientific Research Institute of Experimental Physics
Email: boriskov@ntc.vniief.ru
Russian Federation, Sarov, Nizhniy Novgorod Region
I. V. Makarov
Russian Federal Nuclear Center – All-Russian Scientific Research Institute of Experimental Physics
Email: boriskov@ntc.vniief.ru
Russian Federation, Sarov, Nizhniy Novgorod Region
N. V. Pavlov
Russian Federal Nuclear Center – All-Russian Scientific Research Institute of Experimental Physics
Email: boriskov@ntc.vniief.ru
Russian Federation, Sarov, Nizhniy Novgorod Region
P. B. Repin
Russian Federal Nuclear Center – All-Russian Scientific Research Institute of Experimental Physics
Email: boriskov@ntc.vniief.ru
Russian Federation, Sarov, Nizhniy Novgorod Region
V. D. Selemir
Russian Federal Nuclear Center – All-Russian Scientific Research Institute of Experimental Physics
Email: boriskov@ntc.vniief.ru
Corresponding Member of the RAS
Russian Federation, Sarov, Nizhniy Novgorod RegionI. S. Strelkov
Russian Federal Nuclear Center – All-Russian Scientific Research Institute of Experimental Physics
Email: boriskov@ntc.vniief.ru
Russian Federation, Sarov, Nizhniy Novgorod Region
O. M. Surdin
Russian Federal Nuclear Center – All-Russian Scientific Research Institute of Experimental Physics
Email: boriskov@ntc.vniief.ru
Russian Federation, Sarov, Nizhniy Novgorod Region
N. A. Belyaeva
Russian Federal Nuclear Center – All-Russian Scientific Research Institute of Experimental Physics
Email: boriskov@ntc.vniief.ru
Russian Federation, Sarov, Nizhniy Novgorod Region
S. I. Belov
Russian Federal Nuclear Center – All-Russian Scientific Research Institute of Experimental Physics
Email: boriskov@ntc.vniief.ru
Russian Federation, Sarov, Nizhniy Novgorod Region
References
- Борисков Г.В., Быков А.И., Егоров Н.И. и др. Результаты экспериментов по изоэнтропическому сжатию вещества с большим атомным номером / В кн.: Экстремальные состояния вещества. Детонация. Ударные волны. Мощная импульсная электрофизика. XVII Харитоновские чтения // Сборник докладов. Саров. ФГУП “РФЯЦ-ВНИИЭФ”, 2016. C. 201–212.
- Борисков Г.В., Быков А.И., Егоров Н.И. и др. Экспериментальное исследование сжимаемости сплава ВНМ-3-2 в области мегабарного давления // ФГВ. 2018. Т. 54. № 5. С. 18–26. https://doi.org/10.15372/FGV20180503
- Борисков Г.В., Быков А.И., Егоров Н.И. и др. Результаты экспериментов по изоэнтропическому сжатию сплава ВНМ-3-2 до сверхвысоких давлений / В кн.: Экстремальные состояния вещества. Детонация. Ударные волны. Т. 1. XXI Харитоновские тематические научные чтения // Сб. докладов. Саров. ФГУП “РФЯЦ-ВНИИЭФ”, 2020. С. 315–321.
- Зеликман А.Н., Никитина Л.С. Вольфрам. М.: Металлургия, 1978. 272 с.
- Борисков Г.В., Быков А.И., Долотенко М.И. и др. Физические исследования в сверхсильных магнитных полях // УФН. 2011. Т. 181. № 4. С. 37–43. https://doi.org/10.3367/UFNr.0181.201104n.0441
- Гриневич Б.Е., Демидов В.А., Ивановский А.В., Селемир В.Д. Взрывомагнитные генераторы энергии и их применение в научных экспериментах // УФН. 2011. Т. 181. № 4. С. 422–427. https://doi.org/10.3367/UFNr.0181.201104k.0422
- Kuropatkin Y.P., Mironenko V.D., Suvorov V.N., and Volkov A.A. Characteristics of the installation for flash radiography based on the uncored betatron BIM – M / In: 11th IEEE Pulsed Power Conference. Digest of technical papers. Eds. G. Cooperstein and I. Vitkovitsky. Piscataway NJ USA, IEEE, 1998. P. 1663–1668.
- Альтшулер Л.В., Кормер С.Б., Баканова А.А., Трунин Р.Ф. Уравнения состояния алюминия, меди и свинца для области высоких давлений // ЖЭТФ. 1960. Т. 38. № 3. С. 790–798.
- Симоненко В.А., Волошин Н.П., Владимиров А.С. и др. Абсолютные измерения ударной сжимаемости алюминия при давлениях P ≤ 1 ТПа // ЖЭТФ. 1985. Т. 88. № 4. С. 1452–1459.
- Nellis W.J., Moriarty J.A., Mitchell A.C. et al. Metals physics at high pressure: aluminum, copper and lead as prototypes // Phys. Rev. Let. 1988. V. 60. No 14. P. 1414–1417.
- Greene R. G., Lue H., and Ruoff A. L. Al as a simple solid: high pressure study to 220 GPa (2.2 Mbar) // Phys. Rev. Let. 1994. V. 73. No 15. P. 2075–2078.
- Альтшулер Л.В., Брусникин С. Е., Кузьменков Е. А. Изотермы и функции Грюнейзена 25 металлов // ЖПМТФ. 1987. № 1. С. 134–146.
- Трунин Р.Ф., Гударенко Л.Ф., Жерноклетов М.В., Симаков Г.В. Экспериментальные данные по ударно-волновому сжатию и адиабатическому расширению конденсированных веществ. Саров: ФГУП “РФЯЦ-ВНИИЭФ”, 2006. 530 с.
Supplementary files







