Effect of rare-earth ion local anisotropy on macroscopic magnetic properties of (La0.985Ho0.015)3Ga5SiO14 lagnasite
- Authors: Tikhanovskii A.Y.1, Ivanov V.Y.1, Kuzmenko A.M.1, Mukhin A.A.1
-
Affiliations:
- Prokhorov General Physics Institute of the Russian Academy of Sciences
- Issue: Vol 514, No 1 (2024)
- Pages: 34-39
- Section: ФИЗИКА
- URL: https://journals.rcsi.science/2686-7400/article/view/261442
- DOI: https://doi.org/10.31857/S2686740024010056
- EDN: https://elibrary.ru/OSYAGV
- ID: 261442
Cite item
Full Text
Abstract
Experimental and theoretical studies of the magnetic properties of the unique Ising-like paramagnet (La0.985Ho0.015)3Ga5SiO14 have been carried out. We found magnetic anisotropy in strong magnetic field (up to 5 T) rotated in the ab*, b*c and ac planes at low temperatures (T ≤ 5K). We show that the observed magnetization features are connected with the local orientation and distribution of the Ho3+ Ising axes, which may deviate from the symmetry-allowed directions due to Ga/Si random filling in the local environment of the magnetic ions.
Full Text
Соединения со структурой лангасита (La3Ga5SiO14) [1, 2] вызывают значительный интерес благодаря сильным пьезоэлектрическим эффектам и нелинейным оптическим свойствам [3–5]. Они имеют нецентросимметричную пространственную группу P321, а при наличии в решетке магнитных ионов обладают нетривиальной магнитной структурой и могут проявлять магнитоэлектрические свойства. Например, железосодержащие лангаситы (типа Ba3NbFe3Si2O14) упорядочиваются антиферромагнитно при TN ~ 27 К в треугольную спиральную магнитную структуру, с двойной магнитной киральностью [6, 7] и проявляют магнитоэлектрические свойства во внешнем магнитном поле [8–10]. Однако наличие сложной магнитной структуры затрудняет исследование микроскопических механизмов возникновения магнитоэлектрического эффекта, особенно во внешнем магнитном поле.
С этой точки зрения интерес представляют редкоземельные лангаситы R3Ga5SiO14 (R = La, Pr, Nd, Tb, Dy, Ho, …), например, хорошо исследованные концентрированные соединения Nd3Ga5SiO14 и Pr3Ga5SiO14 [11–16], которые остаются парамагнитными вплоть до самых низких температур (30 мК). Однако соединения с тяжелыми редкоземельными ионами с бóльшими магнитными моментами (Tb, Dy, Ho, …), в которых ожидаются более сильные проявления микроскопических механизмов магнитных свойств, устойчивы только при их низких концентрациях в твердых растворах с лантаном.
Впервые магнитные и магнитоэлектрические свойства в легированном соединении на основе лантана (La0.985Ho0.015)3Ga5SiO14 с тяжелым редкоземельным ионом Ho3+ были исследованы в работе [17]. Авторами показано, что магнитные и магнитоэлектрические свойства соединения определяются поведением в магнитном поле некрамерсовского квазидублета Ho3+, хорошо отделенного от остального мультиплета, именно с последним связано изинговское поведение иона. Как и концентрированные составы, соединение остается в парамагнитном состоянии вплоть до низких температур. Однако предложенная в [17] модель основного состояния редкоземельного иона и направлений изинговских осей не описывает некоторые особенности намагниченности.
Для выяснения поведения ионов Ho3+ в магнитном поле и уточнения ориентаций изинговских осей мы выполнили комплексное экспериментальное и теоретическое исследование магнитных свойств (La0.985Ho0.015)3Ga5SiO14. Исследование полевых зависимостей намагниченности соединения проведено при ориентации магнитного поля вдоль основных кристаллографических направлений при низких температурах, а исследование анизотропии намагниченности при вращении магнитного поля величиной 5 Tл в плоскостях ab*, ac и b*c при температуре 5 К. Используя полученные экспериментальные данные, мы уточнили предложенную в [17] модель, определили ориентации изинговских осей, выявили особенности их распределения и роль локальных искажений в макроскопических свойствах кристалла.
МЕТОДИКА ЭКСПЕРИМЕНТА
Кристалл (La0.985Ho0.015)3Ga5SiO14 был выращен Б.В. Миллем методом Чохральского. Качество кристаллов определялось посредством рентгенофазового анализа и на растровом электронном микроскопе в режиме z-контраста. Наличия посторонних фаз, помимо лангаситной, обнаружено не было. Ориентация монокристаллов определялась методом Laue. Магнитные свойства соединения исследовались на установке MPMS-50 (Quantum Design) в полях до 5 Tл и при низких температурах 1.9–5 К.
ЭКСПЕРИМЕНТ
Нами выполнено подробное исследование магнитных свойств (La0.985Ho0.015)3Ga5SiO14. Проведены измерения ориентационных зависимостей намагниченности при вращении магнитного поля в плоскостях ab*, b*c и ac. Выполнены измерения полевых зависимостей намагниченности вдоль основных кристаллографических направлений при различных температурах.
Среди проведенных магнитных измерений наибольший интерес представляют ориентационные зависимости намагниченности. При низких температурах и сильных магнитных полях (при которых магнитные моменты являются насыщенными) в угловых зависимостях намагниченности проявляется заметная анизотропия во всех трех плоскостях: ab*, b*c, ac (рис. 1), которая связана с особенностями ориентаций изинговских осей Ho3+ (см. раздел 3).
Рис. 1. Угловые зависимости намагниченности (La0.985Ho0.015)3Ga5SiO14 при температуре 5 К и вращении поля величиной 5 Tл в плоскостях ab* (a), ac (б) и b*c (в). Точки – эксперимент, сплошная линия – теория.
В области насыщения (при µ0H = 5 Tл и T ≲ 5 К) в ab* плоскости наблюдается 60-градусная анизотропия с максимумом вдоль оси а и минимумом вдоль оси b* (направление, ортогональное оси второго порядка а) (рис. 1a). В плоскости ас между двумя неэквивалентными по величине максимумами (при H||a и H||c) возникает асимметричный минимум (рис. 1б). Наиболее ярко особенности анизотропии намагниченности проявляются в b*c плоскости. Угловая зависимость оказалась асимметричной относительно оси с, вдоль которой наблюдается один из максимумов (рис. 1в). При вращении магнитного поля по и против часовой стрелки относительно оси с минимумы имеют разную глубину, а следующие за ними максимумы – разную величину. Ось b* расположена вблизи одного из локальных минимумов, но не совпадает с ним. При этом относительно оси b* существует асимметрия, которая, как и все вышеперечисленные особенности, возникает из-за необычной ориентации изинговских осей (рис. 2). Важно отметить, что несмотря на сложный характер анизотропии, она соответствует кристаллографической симметрии P321.
Рис. 2. Схематическое изображение изинговских осей ионов Ho3+ в (La0.985Ho0.015)3Ga5SiO14: α – отклонение изинговской оси от плоскости ab (для удобства изображено в позиции 2), β – отклонение проекции изинговской оси на плоскость b*c от оси c. Заданный таким образом набор изинговских осей, связанных операциями симметрии С2 и С3, восстанавливает симметрию Р321.
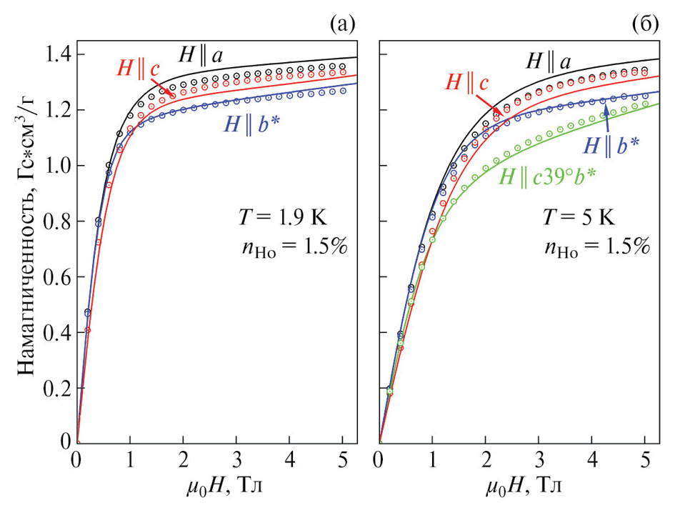
Поведение кривых намагничивания при низких температурах сильно зависит от ориентации магнитного поля. Когда поле направлено вдоль осей a, b* и с, насыщение, при низких температурах, происходит в полях ~ 1 Tл, при этом сохраняется небольшая восприимчивость (рис. 3), связанная с ван-флековским вкладом. В случае ориентации поля вдоль минимума на угловых зависимостях (рис. 3б, –H||c39ob*), насыщение намагниченности также происходит в полях ~ 1 Tл, но в области насыщения наблюдается больший угол наклона, связанный с отклонением от изинговского поведения иона Ho3+.
Рис. 3. Полевые зависимости намагниченности (La0.985Ho0.015)3Ga5SiO14 при температурах 1.9 К (a), 5 К (б) и ориентациях магнитного поля H || a, b*, c и c39ob* – соответствующего минимуму на угловой зависимости, при вращении магнитного поля в плоскости b*c. Открытые символы – эксперимент, сплошная линия – теория.
ТЕОРИЯ
Модель магнитной структуры
В лангасите (La0.985Ho0.015)3Ga5SiO14 магнитные ионы Ho3+ занимают три низкосимметричные позиции симметрии C2 с локальной осью, совпадающей с одной из трех кристаллографических осей 2-го порядка (а, b, –a–b) и остаются в парамагнитном состоянии вплоть до низких температур. Особенности кристаллической структуры, а именно случайное распределение Ga/Si в позициях 2d, приводят к локальному нарушению симметрии C2 и искажению кристаллического поля. В результате магнитные ионы оказываются в несимметричных позициях, что и обусловливает их особое поведение в магнитном поле.
Кристаллическое поле расщепляет основной мультиплет 5I8, на 2J + 1 = 17 синглетов. Магнитные свойства иона Ho3+ в лангасите в основном определяются двумя нижними близко расположенными энергетическими уровнями (квазидублет с расщеплением 2Δcf≈3 К), хорошо отделенными от возбужденных состояний мультиплета, в результате поведение магнитных ионов оказывается сильно анизотропным, что позволяет их рассматривать как изинговские. Это подтверждается полевыми зависимостями намагниченности при низких температурах, которые в малых полях имеют большой наклон и быстро насыщаются в полях ~1 Тл (рис. 3).
В силу отсутствия симметрии локального окружения магнитного иона Ho3+ мы предполагаем, что в позиции 1 изинговская ось n1(α,β) = = (cosα, –sinα sinβ, sinα cosβ) произвольно ориентирована в пространстве, где α – отклонение от оси а в плоскости ас, β – отклонение проекции изинговской оси на плоскость b*c от оси c (рис. 2).
Анализ угловых зависимостей показывает, что в действительности существует некоторое распределение изинговских осей по углам. При его отсутствии анизотропия угловых зависимостей оказалась бы значительно больше, а в минимумах наблюдался бы резкий перегиб. Распределение может возникать в результате реализации различных конфигураций Ga/Si в окружении редкоземельного иона. Мы предполагаем, что вероятные направления изинговских осей задаются двумерным распределением Гаусса:
с наиболее вероятными значениями ¯α , ¯β и дисперсиями σα, σβ, определяемыми из моделирования магнитных свойств соединения, однако важно отметить, что в действительности функция распределения может иметь иной вид.
Глобальная симметрия кристалла P321 сохраняется при наличии локальных искажений позиций и отклонении изинговских осей, благодаря тому, что при случайном распределении Ga/Si найдутся позиции с ориентациями изинговских осей, которые связаны с некоторой произвольно ориентированной осью n1(α,β) операциями симметрии С2 и С3. Сохранение симметрии С2 определяет вид функции распределения направлений изинговских осей позиции 1. Под действием С2 угол β переходит в β+π, что эквивалентно изменению значения наиболее вероятного угла на ¯β -π:
Тогда функция распределения осей в позиции 1 является инвариантной относительно преобразования симметрии С2. Позиции 2 и 3 связаны с 1 поворотом на 120° вокруг оси с, а произвольно ориентированные изинговские оси n2,3(α,β)=n1(α,β) задаются соответствующими матрицами поворота , при этом функция распределения остается неизменной. Заданные таким образом функция распределения в позиции 1 и изинговские оси в позициях 2 и 3 восстанавливают симметрию Р321, несмотря на ее локальные нарушения (рис. 2).
Построенная таким образом модель позволяет качественно объяснить особенности угловых зависимостей намагниченности в области насыщения магнитных моментов (H > 1 Tл, T ≲5 K). При ориентации магнитного поля ортогонально наиболее вероятным направлениям изинговских осей ni( ¯α , ¯β ) в угловых зависимостях возникают минимумы (рис. 1a–в). Например, вблизи H||b*, при отклонении магнитного поля от оси с на угол θH≈86°, когда поле ортогонально направлениям n1( ¯α , ¯β ) и n1( ¯α , ¯β −π), существует общий локальный минимум (рис. 1в). Из согласованного моделирования всех угловых зависимостей намагниченности мы определили наиболее вероятное направление изинговской оси: ¯α ≈32° и ¯β ≈4°.
Намагниченность
Для описания магнитных свойств (La0.985Ho0.015)3Ga5SiO14, аналогично работе [17], использован спин-гамильтониан, учитывающий расщепление квазидублета в кристаллическом поле, зеемановскую энергию, ван-флековский вклад:
где σix, y – матрицы Паули, i – номер позиции, j = x, y, z, mi = µ0ni, H – вектор магнитного поля, – матрица восприимчивости Ван Флека. Энергетические уровни основного некрамерсовского квазидублета иона Ho3+ в i-й позиции, полученные диагонализацией гамильтониана, равны ±εi, где
Минимизацией свободной энергии двухуровневой системы с энергетическими уровнями ±εi по вектору магнитного поля H получен суммарный вклад в намагниченность от трех позиций:
где nHo – концентрация ионов Ho3+, T – температура и kb – постоянная Больцмана.
В рамках сформулированной модели магнитной структуры мы выполнили моделирование угловых (рис. 1) и полевых зависимостей намагниченности (рис. 3). Из моделирования полевых зависимостей намагниченности определены концентрация ионов Ho3+ nHo=1.45% и их магнитный момент µ0=9.4µB.
При ориентации магнитного поля вдоль кристаллографических осей H || a, b* и c в области насыщения существует небольшой наклон кривых намагниченности, а при ориентации магнитного поля вдоль одного из минимумов угловых зависимостей H || c39°b (рис. 3) этот наклон существенно возрастает. Последнее связано с отклонением от изинговского поведения иона Ho3+ [18], возникающего в результате влияния верхних (возбужденных) уровней на основной квазидублет, которое в общем случае зависит от спектра и волновых функций иона, но в данной работе вклады были определены из моделирования кривых намагничивания и, для упрощения, опущены. Величины ванфлековской восприимчивости составили χvva = χvvb* = = 2.74∙10−6 см3/г, χvvc = 1.20∙10−6 см3/г.
Учет распределения направлений изинговских осей приводит к размытию минимумов угловых зависимостей и, в совокупности с отклонением от изинговского поведения, позволяет количественно описать их при величинах дисперсий σα = 6.7° и σβ = 8° (рис. 1).
ЗАКЛЮЧЕНИЕ
В работе выполнено экспериментальное и теоретическое исследование магнитных свойств замещенного лангасита (La0.985Ho0.015)3Ga5SiO14. Экспериментальное исследование намагниченности показало, что насыщение полевых зависимостей происходит в полях ~1 Тл, при этом их наклон в области насыщения сильно зависит от ориентации магнитного поля. Вращение магнитного поля в различных плоскостях позволило выявить анизотропию намагниченности. Теоретический анализ полученных экспериментальных данных показал, что основное состояние изинговского некрамерсовского иона Ho3+ сильно искажено, это проявляется в отклонении изинговских осей от разрешенных локальной симметрией C2 направлений. Мы предполагаем, что искажение является следствием нарушения симметрии локального окружения, которое может возникать в результате равновероятного заполнения Ga/Si позиций 2d. Таким образом, мы установили связь магнитных свойств (La0.985Ho0.015)3Ga5SiO14 с микроскопическими характеристиками редкоземельного иона Ho3+ и показали, что локальные нарушения симметрии могут приводить к специфическим макроскопическим особенностям.
БЛАГОДАРНОСТИ
Статья написана по материалам одноименного доклада на 5-й школе-конференции молодых ученых ИОФ РАН “Прохоровские недели”, 2022 г. Доклад был рекомендован к публикации по результатам экспертных оценок как один из лучших.
ИСТОЧНИКИ ФИНАНСИРОВАНИЯ
Исследование выполнено при финансовой поддержке Российского научного фонда (проект 22-42-05004).
КОНФЛИКТ ИНТЕРЕСОВ
Авторы данной работы заявляют, что у них нет конфликта интересов.
About the authors
A. Yu. Tikhanovskii
Prokhorov General Physics Institute of the Russian Academy of Sciences
Author for correspondence.
Email: tikhanovskii@phystech.edu
Russian Federation, Moscow
V. Yu. Ivanov
Prokhorov General Physics Institute of the Russian Academy of Sciences
Email: tikhanovskii@phystech.edu
Russian Federation, Moscow
A. M. Kuzmenko
Prokhorov General Physics Institute of the Russian Academy of Sciences
Email: tikhanovskii@phystech.edu
Russian Federation, Moscow
A. A. Mukhin
Prokhorov General Physics Institute of the Russian Academy of Sciences
Email: tikhanovskii@phystech.edu
Russian Federation, Moscow
References
- Mill B.V., Pisarevsky Y.V. Langasite-type materials: from discovery to present state // Proc. 2000 IEEE/ EIA International Frequency Control Symposium and Exhibition (Cat. No.00CH37052). IEEE. 2000. P. 133–144. https://doi.org/10.1109/FREQ.2000.887343
- Maksimov B.A. et al. Absolute structure of La3Ga5SiO14 langasite crystals // Crystallogr. Reports. 2005. V. 50. № 5. P. 751–758. https://doi.org/10.1134/1.2049391
- Bohm J. et al. Czochralski growth and characterization of piezoelectric single crystals with langasite structure: La3Ga5SiO14 (LGS), La3Ga5.5Nb0.5O14 (LGN), and La3Ga5.5Ta0.5O14 (LGT) // J. Cryst. Growth. 1999. V. 204. № 1–2. P. 128–136. https://doi.org/10.1016/S0022-0248(99)00186-4
- Sato J. et al. Czochralski growth of RE3Ga5SiO14 (RE=La, Pr, Nd) single crystals for the analysis of the influence of rare earth substitution on piezoelectricity // J. Cryst. Growth. 1998. V. 191. № 4. P. 746–753. https://doi.org/10.1016/S0022-0248(98)00362-5
- Iwataki T. et al. Mechanism of the piezoelectricity of langasite based on the crystal structures // J. Eur. Ceram. Soc. 2001. V. 21. № 10–11. P. 1409–1412. https://doi.org/10.1016/S0955-2219(01)00029-2
- Marty K. et al. Magnetic and dielectric properties in the langasite-type compounds: A3 B Fe3 D2 O14 (A=Ba, Sr, Ca; B=Ta, Nb, Sb; D=Ge, Si ) // Phys. Rev. B – Condens. Matter Mater. Phys. 2010. V. 81. № 5. P. 1–11. https://doi.org/10.1103/PhysRevB.81.054416
- Marty K. et al. Single Domain Magnetic Helicity and Triangular Chirality in Structurally Enantiopure Ba3NbFe3Si2O14 // Phys. Rev. Lett. 2008. V. 101. № 24. P. 247201. https://doi.org/10.1103/PhysRevLett.101.247201
- Lee N., Choi Y.J., Cheong S.W. Magnetic control of ferroelectric polarization in a self-formed single magnetoelectric domain of multiferroic Ba3NbFe3Si 2 O14 // Appl. Phys. Lett. 2014. V. 104. № 7. P. 1–5. https://doi.org/10.1063/1.4866187
- Narita H. et al. Observation of nonreciprocal directional dichroism via electromagnon resonance in a chiral-lattice helimagnet B a3NbF e3 S i2 O14 // Phys. Rev. B. 2016. V. 94. № 9. https://doi.org/10.1103/PhysRevB.94.094433
- Tikhanovskii A.Y. et al. Magnetoelectric phenomena in Fe langasites // Phys. Rev. B. American Physical Society. 2022. V. 105. № 10. P. 104424. https://doi.org/10.1103/PhysRevB.105.104424
- Zhou H.D. et al. Partial field-induced magnetic order in the Spin-liquid kagomé Nd3Ga5SiO14 // Phys. Rev. Lett. 2007. V. 99. № 23. P. 1–4. https://doi.org/10.1103/PhysRevLett.99.236401
- Zorko A. et al. Easy-Axis Kagome Antiferromagnet: Local-Probe Study of Nd3Ga5SiO14 // Phys. Rev. Lett. 2008. V. 100. № 14. P. 147201. https://doi.org/10.1103/PhysRevLett.100.147201
- Bordet P. et al. Magnetic frustration on a Kagomé lattice in R3Ga 5SiO14 langasites with R ≤ Nd, Pr // J. Phys. Condens. Matter. 2006. V. 18. № 22. P. 5147–5153. https://doi.org/10.1088/0953-8984/18/22/014
- Simonet V. et al. Hidden magnetic frustration by quantum relaxation in anisotropic Nd langasite // Phys. Rev. Lett. 2008. V. 100. № 23. P. 1–4. https://doi.org/10.1103/PhysRevLett.100.237204
- Robert J. et al. Spin-Liquid Correlations in the Nd-Langasite Anisotropic Kagomé Antiferromagnet // Phys. Rev. Lett. 2006. V. 96. № 19. P. 197205. https://doi.org/10.1103/PhysRevLett.96.197205
- Zorko A. et al. Ground State of the easy-axis rare-earth kagome langasite Pr3Ga5SiO14 // Phys. Rev. Lett. 2010. V. 104. № 5. P. 3–6. https://doi.org/10.1103/PhysRevLett.104.057202
- Weymann L. et al. Unusual magnetoelectric effect in paramagnetic rare-earth langasite // npj Quantum Mater. 2020. V. 5. № 1. P. 61. https://doi.org/10.1038/s41535-020-00263-9
- Звездин А.К., Матвеев В.М., Мухин А.А., Попов А.И. Редкоземельные ионы в магнитно упорядоченных кристаллах. М.: Наука, Гл. ред. физ.-мат. лит-ры, 1985. 296 с.
Supplementary files





