ЗАВИСИМОСТЬ ПОЛОЖЕНИЯ ФОНОННЫХ ПОЛОС ИК-ПОГЛОЩЕНИЯ ИЗОТОПОВ ГЕРМАНИЯ ОТ ИХ МАССОВОГО ЧИСЛА
- Авторы: Кропотов Г.И.1, Буланов А.Д.2, Рогалин В.Е.3, Каплунов И.А.4, Шахмин А.А.1
- 
							Учреждения: 
							- ООО “Тидекс”
- Институт химии высокочистых веществ им. Г.Г. Девятых Российской академии наук
- Институт электрофизики и электроэнергетики Российской академии наук
- Тверской государственный университет
 
- Выпуск: Том 511, № 1 (2023)
- Страницы: 10-15
- Раздел: ФИЗИКА
- URL: https://journals.rcsi.science/2686-7400/article/view/135930
- DOI: https://doi.org/10.31857/S2686740023040077
- EDN: https://elibrary.ru/VORYLJ
- ID: 135930
Цитировать
Полный текст
Аннотация
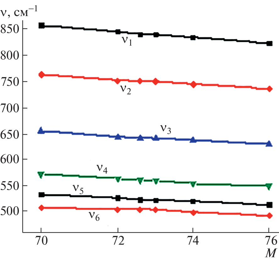
Впервые, в едином эксперименте, исследована зависимость положения пиков фононного поглощения в ИК-спектре (диапазон 11–40 мкм) для всех пяти стабильных моноизотопных монокристаллов германия. Полученная зависимость может быть использована при исследовании массового состава германия различной изотопической чистоты.
Об авторах
Г. И. Кропотов
ООО “Тидекс”
							Автор, ответственный за переписку.
							Email: grigorykropotov@tydex.ru
				                					                																			                												                								Россия, Санкт-Петербург						
А. Д. Буланов
Институт химии высокочистых веществим. Г.Г. Девятых Российской академии наук
														Email: kaplunov.ia@tversu.ru
				                					                																			                												                								Россия, 
Нижний Новгород						
В. Е. Рогалин
Институт электрофизики и электроэнергетики Российской академии наук
							Автор, ответственный за переписку.
							Email: v-rogalin@mail.ru
				                					                																			                												                								Россия, Санкт-Петербург						
И. А. Каплунов
Тверской государственный университет
							Автор, ответственный за переписку.
							Email: kaplunov.ia@tversu.ru
				                					                																			                												                								Россия, Тверь						
А. А. Шахмин
ООО “Тидекс”
														Email: kaplunov.ia@tversu.ru
				                					                																			                												                								Россия, Санкт-Петербург						
Список литературы
- Claeys L., Simoen E. Germanium–based technologies: from materials to devices. Berlin: Elsevier, 2007. 449 p. https://doi.org/10.1016/B978-0-08-044953-1.X5000-5
- Каплунов И.А., Рогалин В.Е. Оптические свойства и области применения германия в фотонике // Фотоника. 2019. Т. 13. № 1. С. 88–106. https://doi.org/10.22184/FRos.2019.13.1.88.106
- Гусев А.В., Гибин А.М., Андрющенко И.А., Гавва В.А., Козырев Е.А. Теплоемкость высокочистого изотопно-обогащенного германия-76 в интервале 2-15 K // ФТТ. 2015. Т. 57. № 9. С. 1868–1870.
- Чурбанов М.Ф., Карпов Ю.А., Зломанов П.В., Фёдоров В.А. Высокочистые вещества. М.: Научный мир, 2018. 996 с.
- Гавва В.А., Трошин О.Ю., Адамчик С.А., Лашков А.Ю., Абросимов Н.В., Гибин А.М., Отопкова П.А., Созин А.Ю., Буланов А.Д. Получение монокристаллического изотопно-обогащенного германия-70 гидридным методом // Неорганические материалы 2022. Т. 58. № 3. С. 258–263. https://doi.org/10.31857/S0002337X22030058
- Изотопы: свойства, получение, применение. под ред. В.Ю. Баранова. В 2 т. Т. 1. М.: Физматлит, 2005. 600 с.
- Ожогин В.И., Инюшин А.В., Талденков А.Н., Тихомиров А.В., Попов Г.Э., Халлер Ю., Ито К. Изотопический эффект в теплопроводности монокристаллов германия // Письма в ЖЭТФ. 1996. Т. 63. № 6. С. 463–467.
- Sanati M., Estreicher S.K., Cardona M. Isotopic dependence of the heat capacity of c-C, Si, and Ge: an ab initio calculation // Solid State Commun. 2004. V. 131. Is. 3–4. P. 229–233. https://doi.org/10.1016/j.ssc.2004.04.043
- Inyushkin A.V., Taldenkov A.N., Gibin A.M., Gusev A.V., Pohl H.-J. On the isotope effect in thermal conductivity of silicon // Physica status solidi (C). 2005. V. 1. Is. 11. P. 2995–2998. https://doi.org/10.1002/pssc.200405341
- Кулеев И.Г., Кулеев И.И., Инюшкин А.В., Ожогин В.И. О возможности “гигантского” изотопического эффекта для поглощения ультразвука в кристаллах // ЖЭТФ. 2005. Т. 128. Вып. 2 (8). С. 370–380.
- Hu M.Y., Sinn H., Alatas A., Sturhahn W., Alp E.E., Wille H.-C., Shvyd’ko Yu.V., Sutter J.P., Ozhogin V.I., Rodriguez S., Colella R., Kartheuser E., Villeret M.A. Effect of isotopic composition on the lattice parameter of germanium measured by X-ray backscattering // Phys. Rev. B. 2003. V. 67. 113306. https://doi.org/10.1103/PhysRevB.69.079902
- Gavva V.A., Bulanov A.D., Kut’in A.M., Plekhovich A.D., Churbanov M.F. Melting point of high-purity germanium stable isotopes // Physica B: Condensed Matter. 2018. V. 537. P. 12–14. https://doi.org/10.1016/j.physb.2018.01.056
- Lipskiy V.A., Nazaryants V.O., Kotereva T.V., Bulanov A.D., Gavva V.A., Koltashev V.V., Churbanov M.F., Plotnichenko V.G. Refractive index spectral dependence, Raman spectra, and transmission spectra of high-purity 72Ge, 73Ge, 74Ge, 76Ge, and natGe single crystals // Appl. Opt. 2019. V. 58. Is. 27. P. 7489–7496. https://doi.org/10.1364/AO.58.007489
- Липский В.А. Получение и оптические свойства высокочистого изотопно обогащенного германия. Дис. … канд. хим. наук. 2021. Н. Новгород. 119 с.
- Мандель А.М., Ошурко В.Б., Першин С.М., Карпова Е.Е., Артёмова Д.Г. О лазере с перестраиваемой частотой на тонких полупроводниковых квантовых кольцах // ДАН. Физика, технические науки. 2021. Т. 498. С. 17–21. https://doi.org/10.31857/S2686740021030147
- Verkhovskii S.V., Yakubovsky A.Y., Malkin B.Z., Sai-kin S.K., Cardona M., Trokiner A., Ozhogin V.I. Isotopic disorder in Ge single crystals probed with 73GeNMR // Physical Review B. 2003. V. 68. 104201. https://doi.org/10.1103/PhysRevB.68.104201
- Agostini M., Allardt M., Andreotti E., et al. Production, characterization and operation of 76Ge enriched BEGe detectors in GERDA // The European Physical Journal C. 2015. V. 75: 39. 22 p. https://doi.org/10.1140/epjc/s10052-014-3253-0
- Haller E.E. Semiconductor isotope engineering // Solid State Phenomena. 1993. V. 32–33. P. 11–20. https://doi.org/10.4028/www.scientific.net/SSP.32-33.11
- Рогалин В.Е., Ценина И.С., Каплунов И.А. Исследование влияния изотопической чистоты на оптические свойства германия // Научно-технические ведомости СПбГПУ. 2013. № 4–1 (183). С. 352–358.
- Каплунов И.А., Рогалин В.Е., Гавалян М.Ю. Влияние примесного и изотопического состава монокристаллического германия на оптическое пропускание в области 520–1000 см–1 // Оптика и спектроскопия. 2015. Т. 118. № 2. С. 254–260. https://doi.org/10.1134/S0030400X15020083
- Churbanov M.F., Gavva V.A., Bulanov A.D., Abrosimov N.V., Kozyrev E.A., Andryushchenko I.A., Lipskii V.A., Adamchik S.A., Troshin O.Yu., Lashkov A.Yu., Gusev A.V. Production of germanium stable isotopes single crystals // Cryst. Res. Technol. 2017. V. 52. № 4. P. 1700026 (6). https://doi.org/10.1002/crat.201700026
- Fuchs H.D., Grein C.H., Bauer M. and Cardona M. Infrared absorption in 76Ge and natural Ge crystals: Effects of isotopic disorder on q ≠ 0 phonons // Phys. Rev. B. 1992. V. 45. P. 4065–4070. https://doi.org/10.1103/PhysRevB.45.4065
- Etchegoin P., Fuchs H.D., Weber J., Cardona M., Pintschovius L., Pyka N., Itoh K., Haller E.E. Phonons in isotopically disordered Ge // Phys. Rev. B. 1993. V. 48. P. 12661–12671. https://doi.org/10.1103/PhysRevB.48.12661
Дополнительные файлы
 
				
			 
						 
						 
						 
					 
						 
									
 
  
  
  Отправить статью по E-mail
			Отправить статью по E-mail 



