МУЛЬТИСТАБИЛЬНОСТЬ В ХИРАЛЬНОМ ПОЛУПРОВОДНИКОВОМ МИКРОРЕЗОНАТОРЕ
- Авторы: Дмитриева О.А.1,2, Гиппиус Н.А.3, Тиходеев С.Г.1,2
-
Учреждения:
- Институт общей физики им. А.М. Прохорова Российской академии наук
- Московский государственный университет имени М.В. Ломоносова
- Сколковский институт науки и технологии
- Выпуск: Том 510, № 1 (2023)
- Страницы: 10-15
- Раздел: ФИЗИКА
- URL: https://journals.rcsi.science/2686-7400/article/view/135927
- DOI: https://doi.org/10.31857/S2686740023030057
- EDN: https://elibrary.ru/OYJPPO
- ID: 135927
Цитировать
Полный текст
Аннотация
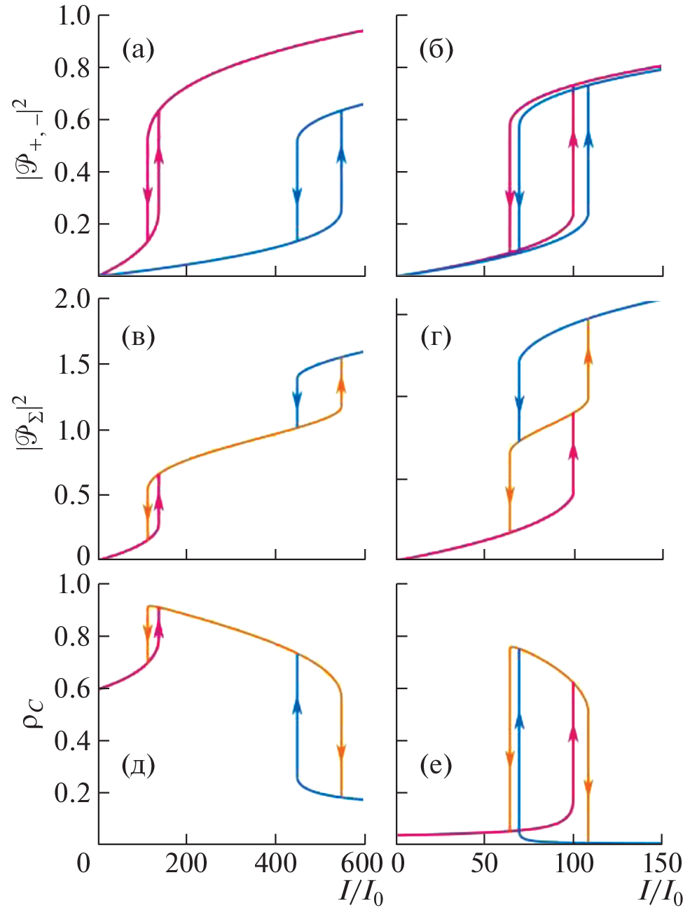
Теоретически исследованы особенности эффектов би- и мультистабильности в полупроводниковом брэгговском микрорезонаторе с хиральным фотонно-кристаллическим слоем на верхнем зеркале. Показано, что отклик такой хиральной структуры на линейно-поляризованную когерентную резонансную накачку демонстрирует резкие мультистабильные переключения со скачками экситонной интенсивности и степени циркулярной поляризации. Показано, что в случае, если пороги бистабильных переходов в системе с разными знаками циркулярной поляризации отличаются незначительно (неоптимизированная структура), вследствие мультистабильных переходов можно ожидать скачков степени циркулярной поляризации отклика даже большей амплитуды, чем в оптимизированной структуре с исходно высокой степенью циркулярной поляризации экситонного отклика при низкой интенсивности накачки.
Об авторах
О. А. Дмитриева
Институт общей физики им. А.М. Прохорова Российской академии наук; Московский государственный университетимени М.В. Ломоносова
Автор, ответственный за переписку.
Email: dmitrieva.oa16@physics.msu.ru
Россия, Москва; Россия, Москва
Н. А. Гиппиус
Сколковский институт науки и технологии
Автор, ответственный за переписку.
Email: n.gippius@skoltech.ru
Россия,
Москва
С. Г. Тиходеев
Институт общей физики им. А.М. Прохорова Российской академии наук; Московский государственный университетимени М.В. Ломоносова
Автор, ответственный за переписку.
Email: tikh@gpi.ru
Россия, Москва; Россия, Москва
Список литературы
- Ha N.Y., Ohtsuka Y., Jeong S.M., Nishimura S., Suzaki G., Takanishi Y., Ishikawa K., Takezoe H. Fabrication of a simultaneous red-green-blue reflector using single-pitched cholesteric liquid crystals. Nat. Mater. 2008. V. 7. № 1. P. 43–47.
- Fujino H., Koh S., Iba S., Fujimoto T., Kawaguchi H. Circularly polarized lasing in a (110)-oriented quantum well vertical-cavity surface-emitting laser under optical spin injection. Appl. Phys. Lett. 2009. V. 94. № 13. P. 131108. https://doi.org/10.1063/1.3112576
- Lindemann M., Xu G., Pusch T., Michalzik R., Hof-mann M.R., Žutić I., Gerhardt N.C. Ultrafast spin-lasers// Nature. 2019. V. 568. № 7751. P. 212–215. https://doi.org/10.1038/s41586-019-1073-y
- Konishi K., Nomura M., Kumagai N., Iwamoto S., Arakawa Y., Kuwata-Gonokami M. Circularly Polarized Light Emission from Semiconductor Planar Chiral Nanostructures // Phys. Rev. Lett. 2011. V. 106. № 5. P. 057402. https://doi.org/10.1103/PhysRevLett.106.057402
- Shitrit N., Yulevich I., Maguid E., Ozeri D., Veksler D., Kleiner V., Hasman E. Spin-Optical Metamaterial Route to Spin-Controlled Photonics // Science 2013. V. 340. № 6133. 724–726. https://doi.org/10.1126/science.1234892
- Rauter P., Lin J., Genevet P., Khanna S.P., Lachab M., Giles D.A., Linfield E.H., Capasso F. Electrically pumped semiconductor laser with monolithic control of circular polarization // Proc. Natl. Acad. Sci. 2014. V. 111. № 52. P. E5623–E5632. https://doi.org/10.1073/pnas.1421991112
- Demenev A.A., Kulakovskii V.D., Schneider C., Brodbeck S., Kamp M., Hoefling S., Lobanov S.V., Weiss T., Gippius N.A., Tikhodeev S.G. Circularly polarized lasing in chiral modulated semiconductor microcavity with GaAs quantum wells // Appl. Phys. Lett. 2016. V. 109. № 17. P. 71106. https://doi.org/10.1063/1.4966279
- Gorkunov M.V., Antonov A.A., Kivshar Y.S. Metasur-faces with Maximum Chirality Empowered by Bound States in the Continuum // Phys. Rev. Lett. 2020. V. 125. № 9. P. 093903. https://doi.org/10.1103/PhysRevLett.125.093903
- Maksimov A.A., Filatov E.V., Tartakovskii I.I., Kulakovskii V.D., Tikhodeev S.G., Schneider C. Höfling S. Circularly Polarized Laser Emission from an Electrically Pumped Chiral Microcavity // Phys. Rev. Applied. 2022. V. 17. № 2. P. L021001. https://doi.org/10.1103/PhysRevApplied.17.L021001
- Максимов А.А., Филатов Е.В., Тартаковский И.И. Температурная зависимость циркулярно поляризованного излучения инжекционного полупроводникового лазера // Письма в ЖЭТФ. 2022. В. 116. № 8. С. 500–505. https://doi.org/10.31857/S1234567822200022
- Zhang X., Liu Y., Han J., Kivshar Y., Song Q. Chiral emission from resonant metasurfaces. 2022. Science. V. 377. № 6611. P. 1215–1218. https://doi.org/10.1126/science.abq7870
- Gippius N.A., Tikhodeev S.G., Kulakovskii V.D., Krizhanovskii D.N., Tartakovskii A.I. Nonlinear dynamics of polariton scattering in semiconductor microcavity: Bistability vs. stimulated scattering // Europhys. Lett. 2004. V. 67. № 6. P. 997–1003. https://doi.org/10.1209/epl/i2004-10133-6
- Gippius N.A., Shelykh I.A., Solnyshkov D.D., Gavrilov S.S., Rubo Y.G., Kavokin A.V., Tikhodeev S.G., Malpuech G. Polarization Multistability of Cavity Polaritons. // Phys. Rev. Lett. 2007. V. 98. № 23. P. 236401. https://doi.org/10.1103/PhysRevLett.98.236401
- Гаврилов С.С. Неравновесные переходы, хаос и химерные состояния в системах экситонных поляритонов // УФН. 2020. Т. 190. № 2. С. 137–159. https://doi.org/10.3367/UFNr.2019.04.038549
- Hopkins B., Poddubny A.N., Miroshnichenko A.E., Kivshar Y.S. Circular dichroism induced by Fano resonances in planar chiral oligomers // Laser Photonics Rev. 2016. V. 10. № 1. 137–146. https://doi.org/10.1002/lpor.201500222
- Whittaker D.M., Culshaw I.S. Scattering-matrix treatment of patterned multilayer photonic structures // Phys. Rev. B. 1999. V. 60. № 15. P. 2610–2618. https://doi.org/10.1103/PhysRevB.60.2610
- Tikhodeev S.G., Yablonskii A.L., Muljarov E.A., Gippius N.A., Ishihara T. Quasiguided modes and optical properties of photonic crystal slabs // Phys. Rev. B. 2002. V. 66. № 4. P. 045102. https://doi.org/10.1103/PhysRevB.66.045102
- Ландау Л.Д., Лифшиц Е.М. Электродинамика сплошных сред. М.: Наука, 1982. 620 с.
Дополнительные файлы







