ASSESSMENT OF TEMPERATURE STRESSES IN THE LITHOSPHERE OF THE EARLY MOON
- 作者: Voropaev S.А.1, Krivenkо А.P.1
- 
							隶属关系: 
							- Vernadsky Institute of Geochemistry and Analytical Chemistry of Russian Academy of Sciences
 
- 期: 卷 508, 编号 1 (2023)
- 页面: 53-58
- 栏目: ТЕХНИЧЕСКИЕ НАУКИ
- URL: https://journals.rcsi.science/2686-7400/article/view/135919
- DOI: https://doi.org/10.31857/S2686740022060153
- EDN: https://elibrary.ru/UOBXRU
- ID: 135919
如何引用文章
全文:
详细
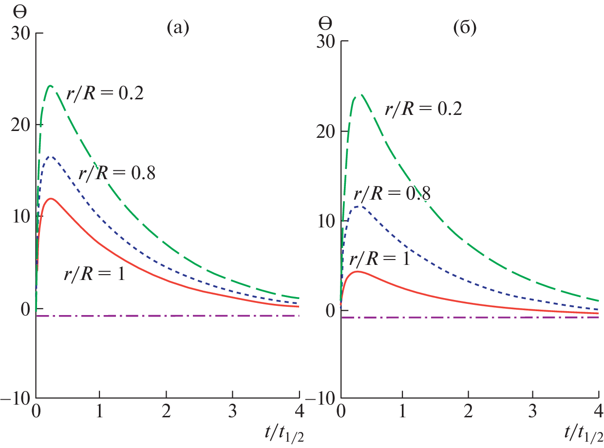
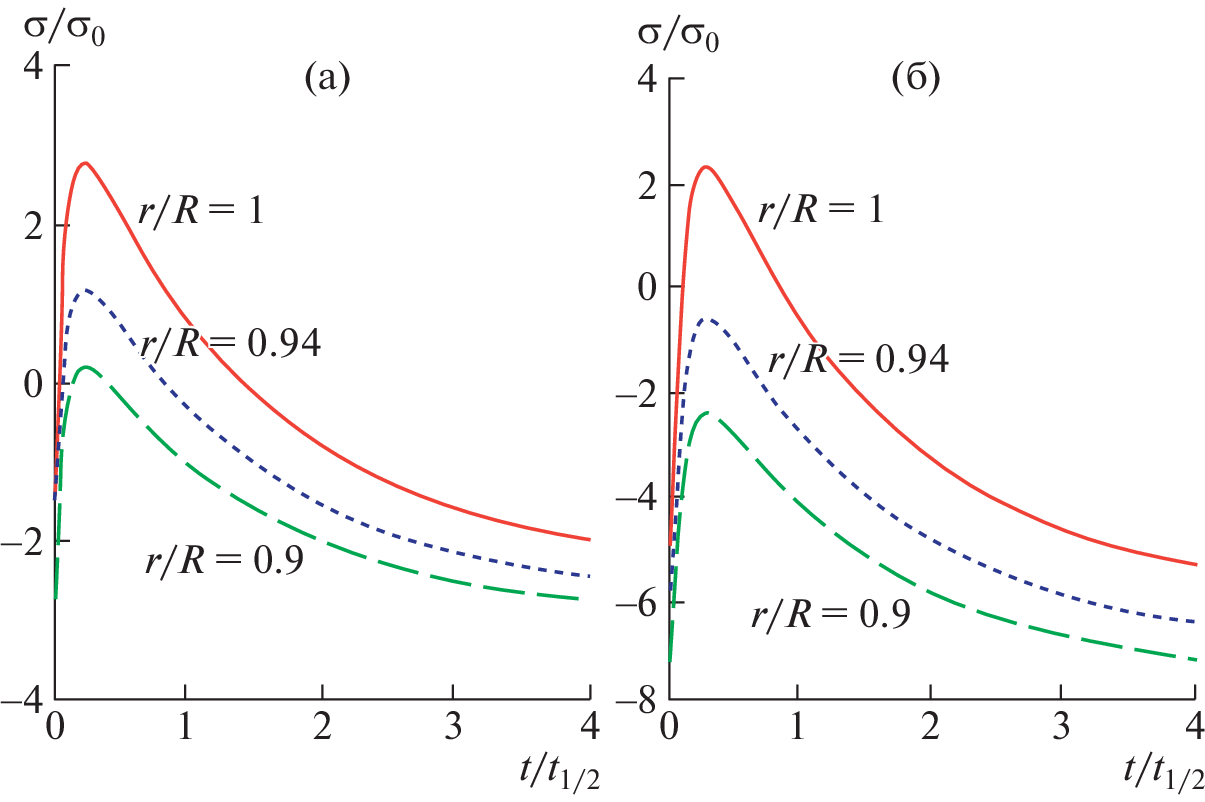
In the early stages of the Moon’s formation, its growing lithosphere experienced complex time-varying temperature and gravitational stresses. Despite the subsequent intense impact transformation of the surface, during the gravimetric study of the GRAIL space mission, the presence of ancient deep intrusions was detected. The analysis of linear gravitational anomalies shows the expansion of the outer rigid layer of the planet at a certain early stage of the Moon’s evolution due to the excess of temperature stresses over gravitational compression. Obtaining the dependence of the time interval of the lithosphere expansion on a number of dimensionless thermal conductivity parameters will make it possible to refine existing models of the thermal and geochemical evolution of the early Moon.
作者简介
S. Voropaev
Vernadsky Institute of Geochemistry and Analytical Chemistry of Russian Academy of Sciences
							编辑信件的主要联系方式.
							Email: voropaev@geokhi.ru
				                					                																			                												                								Russia, Moscow						
А. Krivenkо
Vernadsky Institute of Geochemistry and Analytical Chemistry of Russian Academy of Sciences
							编辑信件的主要联系方式.
							Email: krivenko@geokhi.ru
				                					                																			                												                								Russia, Moscow						
参考
- Zuber M.T. et al. Gravity field of the Moon from the Gravity Recovery and Interior Laboratory (GRAIL) mission // Science. 2013. V. 339. P. 668–671. https://doi.org/10.1126/science.1231507
- Zuber M.T., Smith D.E., Lemoine F.G., Neumann G.A. The shape and internal structure of the Moon from the Clementine mission // Science. 1994. V. 266. P. 1839–1843. https://doi.org/10.1126/science.266.5192.1839
- Andrews-Hanna J.C. et al. Ancient Igneous Intrusions and Early Expansion of the Moon Revealed by GRAIL Gravity Gradiometry // Science. 2012. V. 339. P. 675–678. https://doi.org/10.1126/science.1231753
- Shearer C.K. et al. Thermal and Magmatic Evolution of the Moon // Reviews in Mineralogy & Geochemistry. 2006. V. 60. P. 365–518. https://doi.org/10.2138/rmg.2006.60.4
- Solomon S., Head J. W. Lunar mascon basins: Lava filling, tectonics, and evolution of the lithosphere // Rev Geophys Space Phys. 1980. V. 18. P. 107–141.
- Hood L.L., Zuber M.T. Recent refinements in geophysical constraints on lunar origin and evolution / In: Origin of the Earth and Moon. Canup R.M., Righter K. (eds). Univ Arizona Press, 2000. P. 397–412.
- Elkins-Tanton L.T. Magma Oceans in the Inner Solar System // Annual Review Earth Planetary Science. 2012. V. 40. P. 113–139.
- Воропаев С.А., Джианго Я., Барриот Ж.-П. Разрыв вытянутого малого тела приливными силами при подлете: возможные сценарии // Астрономический вестник. 2020. Т. 54. № 2. С. 171–182.
- Теркот Д., Шуберт Дж. Геодинамика. Геологические приложения физики сплошных сред. М.: Мир, 1985. Т. 1. 381 с.
- Лыков А.В. Теория теплопроводности. М.: Высшая школа, 1987. 602 с.
- Воропаев С.А., Нугманов И.И., Душенко Н.В., Джинго Я. Зависимость упругих свойств Н5-хондритов (NWA 12370) от давления // ДАН. Физика, Технические науки. 2020. Т. 495. С. 14–17.
- Жарков В.Н., Трубицын В.П., Самсоненко Л.В. Физика Земли и планет. Фигуры и внутреннее строение. М.: Наука, 1971. 383 с.
 
				
			 
						 
						 
						 
						 
					 
				
 
  
  
  电邮这篇文章
			电邮这篇文章 


