EQUILIBRIUM FORMS OF AN INITIALLY CURVED BERNOULLI–EULER BEAM IN ELECTRIC AND THERMAL FIELDS
- Authors: Morozov N.F.1,2, Indeitsev D.A.2,3, Mozhgova N.V.3, Lukin A.V.3, Popov I.A.3
-
Affiliations:
- Saint-Petersburg State University
- Institute for Problems in Mechanical Engineering of Russian Academy of Siences
- Peter the Great St. Petersburg Polytechnic University
- Issue: Vol 508, No 1 (2023)
- Pages: 35-41
- Section: МЕХАНИКА
- URL: https://journals.rcsi.science/2686-7400/article/view/135914
- DOI: https://doi.org/10.31857/S268674002301008X
- EDN: https://elibrary.ru/UNMSTC
- ID: 135914
Cite item
Full Text
Abstract
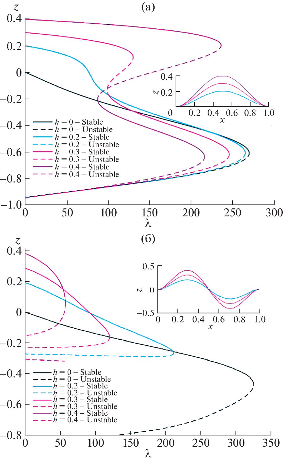
On the basis of a geometrically nonlinear model of a Bernoulli-Euler beam, the influence of the amplitude and shape of the initial curvature on the nature and stability of the static equilibrium positions of the system under conditions of electrostatic and thermal effects has been studied. With the help of numerical methods of the theory of bifurcations, a complete parametric analysis of the diagrams of evolution of equilibrium positions for beams with initial curvature in terms of symmetric and asymmetric lower modes of free vibrations is performed. The regions in the parameter space of the values of the axial force of a mechanical or temperature nature and the strength of the electrostatic field, in which the elastic system has the property of bistability, are determined. The prospect of using the considered class of structures with projected geometry perturbations as sensitive elements of high-precision microelectromechanical sensors of various physical quantities is noted.
About the authors
N. F. Morozov
Saint-Petersburg State University; Institute for Problems in Mechanical Engineering of Russian Academy of Siences
Author for correspondence.
Email: n.morozov@spbu.ru
Russia, Saint Petersburg; Russia, Saint Petersburg
D. A. Indeitsev
Institute for Problems in Mechanical Engineering of Russian Academy of Siences; Peter the Great St. Petersburg Polytechnic University
Email: lukin_av@spbstu.ru
Russia, Saint Petersburg; Russia, Saint Petersburg
N. V. Mozhgova
Peter the Great St. Petersburg Polytechnic University
Email: lukin_av@spbstu.ru
Russia, Saint Petersburg
A. V. Lukin
Peter the Great St. Petersburg Polytechnic University
Author for correspondence.
Email: lukin_av@spbstu.ru
Russia, Saint Petersburg
I. A. Popov
Peter the Great St. Petersburg Polytechnic University
Email: lukin_av@spbstu.ru
Russia, Saint Petersburg
References
- Amal Hajjaj et al. Linear and nonlinear dynamics of micro and nano-resonators: Review of recent advances // Intern. J. of Non-Linear Mechanics. 2019. Oct. 119.
- Пановко Я.Г., Губанова И.И. Устойчивость и колебания упругих систем. URSS, 2006.
- Giuseppe Rega, Walter Lacarbonara, Ali Nayfeh. Reduction Methods for Nonlinear Vibrations of Spatially Continuous Systems with Initial Curvature. Jan. 2000. P. 235–246.
- Cao D.Q., Liu Dongsheng, Wang Charles. Nonlinear dynamic modelling for MEMS components via the Cosserat rod element approach // J. of Micromechanics and Microengineering. 2005. June. 15. P. 1334.
- Walter Lacarbonara, Hiroshi Yabuno. Refined models of elastic beams undergoing large in-plane motions: Theory and experiment // Intern. J.of Solids and Structures. 2005. Oct. 43.
- Narakorn Srinil, Giuseppe Rega, Somchai Chucheepsakul. Two-to-one resonant multi-modal dynamics of horizontal / inclined cables. Pt I. Theoretical formulation and model validation // Nonlinear Dynamics. 2007. May. 48. P. 231–252.
- Cao D.Q., Tucker Robin. Nonlinear dynamics of elastic rods using the Cosserat theory: Modelling and simulation // International Journal of Solids and Structures. 2008. Jan. 45. P. 460–477.
- Luo A.C.J. On a nonlinear theory of thin rods // Communications in Nonlinear Science and Numerical Simulation. 2010. Feb. 15.
- Nicholas Vlajic et al. Geometrically exact planar beams with initial pre-stress and large curvature: Static configurations, natural frequencies, and mode shapes // Intern. J. of Solids and Structures. 2014. Oct. 51. P. 3361–3371.
- Yang Zhou, Zhuangpeng Yi, Ilinca Stanciulescu. Nonlinear Buckling and Postbuckling of Shallow Arches With Vertical Elastic Supports // J. of Applied Mechanics. 2019. Feb. 86. P. 1.
- Samir Emam, Walter Lacarbonara. Buckling and postbuckling of extensible, shear-deformable beams: Some exact solutions and new insights // Intern. J. of Non-Linear Mechanics. 2021. Jan. 129. P. 103667.
- Medina Lior, Gilat Rivka, Krylov Slava. Symmetry breaking in an initially curved micro beam loaded by a distributed electrostatic force // Intern. J. of Solids and Structures. 2012. June. 49. P. 1864–1876.
- Medina Lior, Gilat Rivka, Krylov Slava. Symmetry breaking in an initially curved pre-stressed micro beam loaded by a distributed electrostatic force // Intern. J. of Solids and Structures. 2014. Feb. 51. P. 2047.
- Milad Shojaeian, Yaghoub Tadi Beni, Hossein Ataei. Size-dependent snap-through and pull-in instabilities of initially curved pre-stressed electrostatic nano-bridges // J. of Physics D. Applied Physics. 2016. June. 49.
- Medina Lior, Seshia Ashwin. Bistability and simultaneous mode actuation in electrostatically actuated initially curved coupled micro beams // Intern. J. of Non-Linear Mechanics. 2020. July. 126. P. 103549.
- Medina Lior et al. Single Electrode Bidirectional Switching of Latchable Prestressed Bistable Micromechanical Beams // IEEE Sensors Journal. 2021. Aug. PP. P. 1–1.
- Walter Lacarbonara, Haider Arafat, Ali Nayfeh. Non-linear interactions in imperfect beams at veering // Intern. J. of Non-Linear Mechanics. 2005. Sept. 40. P. 987–1003.
- Amal Hajjaj, Nouha Alcheikh, Mohammad Younis. The static and dynamic behavior of MEMS arch resonators near veering and the impact of initial shapes // Intern. J. of Non-Linear Mechanics. 2017. July. 95.
- Mergen Ghayesh, Hamed Farokhi. Bistable nonlinear response of MEMS resonators // Nonlinear Dynamics. 2017. Nov. 90.
- Amal Hajjaj et al. Theoretical and experimental investigations of the crossover phenomenon in micromachined arch resonator. Pt I. Linear problem // Nonlinear Dynamics/ 2020. Jan.
- Amal Hajjaj et al. Theoretical and experimental investigations of the crossover phenomenon in micromachined arch resonator. Pt II. Simultaneous 1:1 and 2:1 internal resonances // Nonlinear Dynamics. 2020. Jan. 99.
- Medina Lior et al. Open Loop, Self-Excitation in a Bistable Micromechanical Beam Actuated By a DC Electrostatic Load. 2017. Jan.
- Medina Lior, Gilat Rivka, Krylov Slava. Bistable behavior of electrostatically actuated initially curved micro plate // Sensors and Actuators A: Physical. 2016. July. 248.
- Shahid Saghir, Mohammad Younis. An investigation of the mechanical behavior of initially curved microplates under electrostatic actuation // Acta Mechanica. 2018. July. 229.
- Mergen Ghayesh, Hamed Farokhi. Nonlinear behaviour of electrically actuated microplate-based MEMS resonators // Mechanical Systems and Signal Processing. 2018. Sept. 109. P. 220–234.
- Dhooge Annick, Govaerts Willy, Kuznetsov Yu.A. MATCONT: a MATLAB package for numerical bifurcation analysis of ODEs // ACM Transactions on Mathematical Software (TOMS). 2003. 29.2. P. 141–164.
- Лукин А.В., Попов И.А., Скубов Д.Ю. Нелинейная динамика и устойчивость элементов микросистемной техники // Научно-технический вестник информационных технологий, механики и оптики. 2017. № 17 (6). С. 1107–1115.
- Лукин А.В., Морозов Н.Ф., Индейцев Д.А., Попов И.А., Привалова О.В., Штукин Л.В. Устойчивость балки Бернулли–Эйлера в связанных электрических и тепловых полях // ДАН. 2018. Т. 481. № 6. С. 619–624.
- Морозов Н.Ф., Индейцев Д.А., Игумнова В.С., Лукин А.В., Попов И.А., Штукин Л.В. Нелинейная динамика МЭМС-акселерометра с балочными чувствительными элементами, основанного на явлении модальной локализации // Вестник СПбГУ. Математика. Механика. Астрономия. 2021. № 8.2. С. 233–246.
- Морозов Н.Ф., Индейцев Д.А., Игумнова В.С., Беля-ев Я.В., Лукин А.В., Попов И.А., Штукин Л.В. Модель микромеханического акселерометра, основанного на явлении модальной локализации // Доклады РАН. Физика, технические науки. 2020. Т. 494. № 1. С. 51–56.
Supplementary files







