MICROWAVE DISCHARGE MAINTAINING IN THE HOLLOW CORE OPTICAL FIBERS FOR GAS FIBER LASERS
- Authors: Bufetov I.A.1, Gladyshev A.V.1, Nefedov S.M.2, Kosolapov A.F.1, Velmiskin V.V.1, Goncharov P.A.2, Mineev A.P.2
-
Affiliations:
- Prokhorov General Physics Institute of the Russian Academy of Sciences, Dianov Fiber Optics Research Center
- Prokhorov General Physics Institute of the Russian Academy of Sciences
- Issue: Vol 509, No 1 (2023)
- Pages: 3-8
- Section: ФИЗИКА
- URL: https://journals.rcsi.science/2686-7400/article/view/135901
- DOI: https://doi.org/10.31857/S2686740023020037
- EDN: https://elibrary.ru/UOZEIC
- ID: 135901
Cite item
Full Text
Abstract
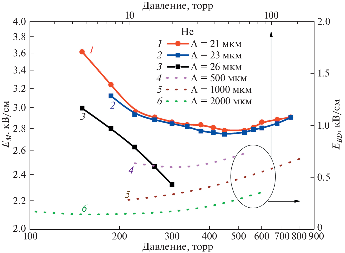
The minimal values of the electric 2.45 GHz microwave field, which are necessary to maintain a discharge in a number of noble gases (argon, neon, and helium) in optical fibers with hollow cores of small diameter up to 100 μm, have been measured for the first time. The minimal electric field values for all three gases are (2.5–2.8) kV/cm at a pressure of argon ~50 Torr, neon ~300 Torr, and helium ~500 Torr.
About the authors
I. A. Bufetov
Prokhorov General Physics Institute of the Russian Academy of Sciences, Dianov Fiber Optics Research Center
Author for correspondence.
Email: iabuf@fo.gpi.ru
Russia, Moscow
A. V. Gladyshev
Prokhorov General Physics Institute of the Russian Academy of Sciences, Dianov Fiber Optics Research Center
Email: iabuf@fo.gpi.ru
Russia, Moscow
S. M. Nefedov
Prokhorov General Physics Institute of the Russian Academy of Sciences
Email: iabuf@fo.gpi.ru
Russia, Moscow
A. F. Kosolapov
Prokhorov General Physics Institute of the Russian Academy of Sciences, Dianov Fiber Optics Research Center
Email: iabuf@fo.gpi.ru
Russia, Moscow
V. V. Velmiskin
Prokhorov General Physics Institute of the Russian Academy of Sciences, Dianov Fiber Optics Research Center
Email: iabuf@fo.gpi.ru
Russia, Moscow
P. A. Goncharov
Prokhorov General Physics Institute of the Russian Academy of Sciences
Email: iabuf@fo.gpi.ru
Russia, Moscow
A. P. Mineev
Prokhorov General Physics Institute of the Russian Academy of Sciences
Email: iabuf@fo.gpi.ru
Russia, Moscow
References
- Joly N.Y., Nold J., Chang W., Hölzer P., Nazarkin A., Wong G.K.L., Biancalana F., Russell P. St. J. Bright Spatially Coherent Wavelength-Tunable Deep-UV Laser Source Using an Ar-Filled Photonic Crystal Fiber // Phys. Rev. Lett. 2011. V. 106. 203901. https://doi.org/10.1103/PhysRevLett.106.203901
- Astapovich M.S., Gladyshev A.V., Khudyakov M.M., Kosolapov A.F., Likhachev M.E., Bufetov I.A. Watt-Level Nanosecond 4.42-um Raman Laser Based on Silica Fiber // IEEE Photonics Technol. Lett. 2019. V. 31. P. 78–81.
- Gladyshev A., Yatsenko Yu., Kolyadin A., Kompanets V., Bufetov I. Mid-infrared 10-µJ-level sub-picosecond pulse generation via stimulated Raman scattering in a gas-filled revolver fiber // Opt. Mater. Express. 2020. V. 10. P. 3081–3089. https://doi.org/10.1364/OME.411364
- Jones A.M., Fourcade-Dutin C., Mao C., Baumgart B., Nampoothiri A.V.V., Campbell N., Wang Y., Benabid F., Rudolph W., Washburn B.R., Corvin K.L. Characterization of mid-infrared emissions from C2H2, CO, CO2, and HCN-filled hollow fiber lasers // Proc. SPIE. 2012. V. 8237. 82373Y. https://doi.org/10.1117/12.909254
- Shi X., Wang X.B., Jin W., Demokan M.S., Zhang X.L. Progress toward a novel hollow-core fiber gas laser // Proc. SPIE. 2007. V. 6767. 67670H. https://doi.org/10.1117/12.749510
- Bateman S.A., Belardi W., Yu F., Webb C.E., Wadsworth W.J. Gain from Helium-Xenon Discharges in Hollow Optical Fibres at 3 to 3.5 μm // In Proceedings of the Conference on Lasers and Electro-Optics (CLEO). San Jose, CA, USA. 8–13 June 2014. STh5C.10. https://doi.org/10.1364/CLEO_SI.2014.STh5C.10
- Debord B., Gérôme F., Jamier R., Boisse-Laporte C., Leprince P., Leroy O., Blondy J.-M., Benabid F. First Ignition of an UV Microwave Microplasma in Ar-filled Hollow-Core Photonic Crystal Fibers. ECOC. 2011. Mo.2.LeCervin.5. https://doi.org/10.1364/ECOC.2011.Mo.2.LeCervin.5
- Debord B., Amrani F., Vincetti L., Gérôme F., Benabid F. Hollow-Core Fiber Technology: The Rising of “Gas Photonics” // Fibers. 2019. V. 7. 16. https://doi.org/10.3390/fib7020016
- Gladyshev A., Nefedov S., Kolyadin A., Kosolapov A., Velmiskin V., Mineev A., Bufetov I. Microwave Discharge in Hollow Optical Fibers as a Pump for Gas Fiber Lasers // Photonics. 2022. V. 9. 752. https://doi.org/10.3390/photonics9100752
- Мак-Доналд А. Сверхвысокочастотный пробой в газах. M.: Мир, 1969. 210 с.
- Райзер Ю.П. Лазерная искра и распространение разрядов. М.: Наука, 1974. 308 с.
- Минеев А.П., Нефедов С.М., Пашинин П.П., Гончаров П.А., Киселев В.В., Стельмах О.М. Многочастотные планарные лазеры среднего ИК-диапазона с импульсной СВЧ-накачкой // Квантовая электроника. 2020. Т. 50. С. 277–283.
- Silver S. Microwave Antenna Theory and Design / Silver S., Ed. McGraw-Hill Book Co., Inc.: New York, NY, USA; Toronto, ON, Canada; London, UK, 1949. P. 257–333.
- Френсис Г. Ионизационные явления в газах. М.: Атомиздат, 1964. 304 с.
Supplementary files







