СИНТЕЗ МЕЧЕННОГО ДЕЙТЕРИЕМ ПИРРОЛИЛКАРНОЗИНА
- Авторы: Шевченко В.П.1, Нагаев И.Ю.1, Федорова Т.Н.2, Мясоедов Н.Ф.1
-
Учреждения:
- Федеральное государственное бюджетное учреждение Институт молекулярной генетики Национального исследовательского центра “Курчатовский институт” (НИЦ “Курчатовский институт” – ИМГ)
- Федеральное государственное бюджетное научное учреждение “Научный центр неврологии” (ФГБНУ НЦН)
- Выпуск: Том 508, № 1 (2023)
- Страницы: 23-29
- Раздел: Статьи
- URL: https://journals.rcsi.science/2686-7389/article/view/135665
- DOI: https://doi.org/10.31857/S2686738922700020
- EDN: https://elibrary.ru/MUUVDR
- ID: 135665
Цитировать
Полный текст
Аннотация
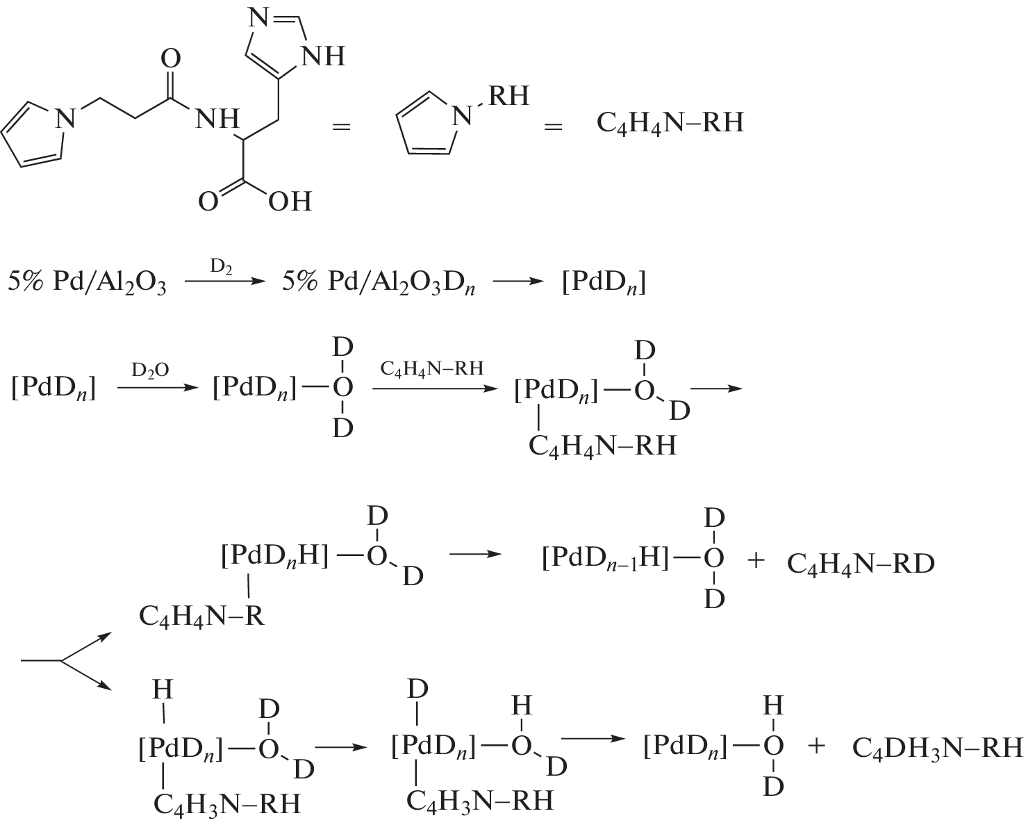
Изучено влияние температуры на эффективность введения дейтерия в пирролилкарнозин (ПК). В качестве источника дейтерия использовали газообразный дейтерий и тяжелую воду. Изотопный обмен проводили при использовании твердофазного и жидкофазного методов. Установлено, что для получения препаративных количеств меченого пирролилкарнозина лучше применять изотопный обмен с дейтериевой водой. При использовании твердофазного метода основная метка находится в пирроле. Включение дейтерия при более высокой температуре происходит более равномерно. Кроме того, использование дейтериевой воды позволило снизить количество немеченого изотопомера практически до 0% и получить препарат с выходом 70% и содержанием более 7 атомов дейтерия. Установлено, что содержание атомов дейтерия в веществе можно увеличить, проведя предварительную обработку реакционной смеси газообразным дейтерием. Этот подход открывает дополнительные возможности при получении высокомеченных соединений.
Ключевые слова
Об авторах
В. П. Шевченко
Федеральное государственное бюджетное учреждение Институт молекулярной генетики Национального исследовательского центра “Курчатовский институт” (НИЦ “Курчатовский институт” – ИМГ)
Автор, ответственный за переписку.
Email: nagaev@img.ras.ru
Россия, 123182, Москва
И. Ю. Нагаев
Федеральное государственное бюджетное учреждение Институт молекулярной генетики Национального исследовательского центра “Курчатовский институт” (НИЦ “Курчатовский институт” – ИМГ)
Email: nagaev@img.ras.ru
Россия, 123182, Москва
Т. Н. Федорова
Федеральное государственное бюджетноенаучное учреждение “Научный центр неврологии” (ФГБНУ НЦН)
Email: nagaev@img.ras.ru
Россия, 125367, Москва
Н. Ф. Мясоедов
Федеральное государственное бюджетное учреждение Институт молекулярной генетики Национального исследовательского центра “Курчатовский институт” (НИЦ “Курчатовский институт” – ИМГ)
Email: nagaev@img.ras.ru
Россия, 123182, Москва
Список литературы
- Федорова Т.Н., Стволинский С.Л., Мигулин В.А., Лопачев А.В., Хуторова А.В., Куликова О.И., Музычук О.А., Абаимов Д.А. Патент № 2777391, 03.08.2022, Бюл. № 22.
- Boldyrev A., Fedorova T., Stepanova M., Dobrotvorskaya I., Kozlova E., Boldanova N., Bagyeva G., Ivanova-Smolenskaya I., Illarioshkin S. // Rejuvenation Res. 2008. Vol. 11. № 4. P. 821–827.
- Kulikova O.I., Stvolinsky S.L., Migulin V.A., Andreeva L.A., Nagaev I.Yu., Lopacheva O.M., Kulichenkova K.N., Lopachev A.V., Trubitsina I.E., Fedorova T.N. // Daru. 2020. Vol. 28. P. 119–130.
- Adams S.P., Tsang M., Wright J.M. // Cochrane Database Syst. Rev. 2015.
- Bhardwaj V., Gumber D., Abbot V., Dhiman S., Sharma P. // RSC Adv. 2015. Vol. 5. № 20. P. 15233–15266.
- Каратеев А.Е. // Современная ревматология. 2014. Т. 8. № 2. С. 83–89.
- Toth G., Mallareddy J.R., Toth F., Lipkowski A.W., Tourwe D. // Arkivoc. 2012. Vol. 2012. № 5. P. 163–174.
- Rees A.T. // J. Labelled Compd. Radiopharm. 2004. Vol. 47. № 5. P. 318–319.
- Voges R., Heys J.R., Moenius T. “Preparation of Compounds Labeled with Tritium and Carbon-14” United Kingdom: John Wiley & Sons. Ltd. 2009. 664 p.
- Stack D.E., Eastman R. // J. Label. Compd. Radiopharm. 2016. Vol. 59. № 12. P. 500–505.
- Lockley W.J.S., Hesk D. // J. Label. Compd. Radiopharm. 2010. Vol. 53. № 11–12. P. 704–715.
- Lockley W.J.S. // Tetrahedron Lett. 1982. Vol. 23. № 37. P. 3819–3822.






