Studying the Influence of the Technical Performance Complexity and the Nomenclature and Quantitative Composition of Agricultural Machinery on Its Recyclability Rate
- Authors: Kravchenko I.N.1, Migachev Y.S.2, Kuznetsov Y.A.3, Davydkin A.М.4, Erofeev M.N.5
-
Affiliations:
- Russian Timiryazev State Agrarian University
- Chemical and Biological Defense named after Marshal of the Soviet Union S. K. Timoshenko
- Orel State Agrarian University
- National Research Mordovia State University
- Mechanical Engineering Research Institute of the Russian Academy of Sciences
- Issue: Vol 30, No 4 (2020)
- Pages: 683-698
- Section: Mechanical engineering
- Submitted: 01.09.2025
- Accepted: 01.09.2025
- Published: 14.12.2020
- URL: https://journals.rcsi.science/2658-4123/article/view/307392
- DOI: https://doi.org/10.15507/2658-4123.030.202004.683-698
- ID: 307392
Cite item
Full Text
Abstract
Introduction. Rational recycling of agricultural machinery, which has reached the end of its service life, is an urgent problem of the modern agro-industrial complex. In this regard, using the physical model for recycling agricultural machinery, reached its service life, is a solution to the problem of resource recycling.
Materials and Methods. The paired linear regression analysis method was used to conduct statistical research of experimental data and develop a regression model. The authors calculated the recyclability rate values for the entire agricultural machinery nomenclature and its average value through using regression equation.
Results. Based on the analysis of indicators for technical condition of being recycled products, it was established that for developing a conceptual model of agricultural machinery recycling, it is preferable to use four main groups of indicators: technical condition, material capacity, manufacturability, and safety of components. The proposed group of indicators determines the possibility of recycling the machinery units. The results of researching the influence of indicators of design complexity, technical performance, condition, nomenclature and quantitative composition of agricultural machinery on the recyclability are presented.
Discussion and Conclusion. According to the research results, a conceptual physical model for recyclability of agricultural machinery was developed that allows planning more effectively measures for recycling various types of agricultural machinery when conducting a comparative analysis of the entire nomenclature composition. The adopted restrictions allow estimating the technical condition and recyclability of agricultural machinery using the conceptual physical model of recyclability. The relationships between the storage time, complexity of technical performance, material capacity, quantitative composition (volume of recycling) and recyclability rate of agricultural machinery are revealed.
Full Text
Введение
Высокие темпы механизации производственных процессов в агропромышленном комплексе предопределяют необходимость многократного использования ресурсов, входящих в состав сельскохозяйственной техники и технологического оборудования1 [1; 2].
Утилизация сельскохозяйственной техники, завершившей свой жизненный цикл, является составной частью проблемы рационального использования ресурсов, вовлекаемых в процессы производства и потребления. В этой связи для решения проблемы вторичного использования ресурса отработавшей техники предлагается использовать физическую модель, позволяющую реализовать алгоритм утилизации сельскохозяйственной техники2 [3; 4].
Обзор литературы
Анализ и обобщение результатов исследований по определению степени влияния на общий показатель утилизируемости продемонстрировал, что техническое состояние сельскохозяйственной техники является определяющим при оценке утилизируемости [5; 6]. Следовательно, возникает необходимость определения факторов, влияющих на техническое состояние техники с целью эффективного проведения процесса утилизации.
Изменение технического состояния сельскохозяйственной техники происходит под влиянием тех же факторов, которые сопровождали ее на этапе эксплуатации и хранения. Усиление влияния факторов, появляющихся при старении изделия, обусловлено изменением (ухудшением) условий хранения списанных средств и оказывает существенное влияние на сохраняемость технических и физико-химических свойств материалов.
Факторы, влияющие на общее техническое состояние изделий, можно условно разделить на две группы: объективные и субъективные.
К объективным факторам относятся различные неблагоприятные для изделий условия внешней среды, связанные с климатическими, метеорологическими, биологическими, механическими и другими воздействиями.
Субъективные факторы зависят от деятельности человека. К ним относятся мероприятия, связанные с обеспечением нормальных условий проведения разукомплектации и утилизации, а также решений, направленных на сохранение полезных свойств и характеристик образцов в процессе подготовки и проведения утилизации.
Результаты ранее проведенных исследований показывают, что в большинстве случаев на утилизируемость сельскохозяйственной техники, находящейся в течение продолжительного периода на хранении, оказывают влияние процессы старения, коррозии и другие факторы, проявляющиеся со временем [7–10]. При этом скорость протекания этих процессов существенно зависит от качества применяемых материалов, конструкции, технологии изготовления, условий эксплуатации, применяемых методов и средств противокоррозионной защиты.
Причиной старения являются сложные физико-химические процессы, происходящие в элементах конструкции, веществ и материалов. К ним относятся структурные изменения в диэлектриках, химические превращения в связывающих и пропиточных материалах, нарушение электрической и механической прочности материалов и элементов конструкции, нарушение герметизации, повышение водопроницаемости материалов и т. д.
Ввиду того, что основную долю конструктивных материалов, используемых при изготовлении машин, составляют различные металлы и их сплавы, наибольшее отрицательное влияние на сохраняемость физико-химических свойств и характеристик сельскохозяйственной техники оказывает коррозия (самопроизвольное разрушение металлов вследствие химического и электрохимического взаимодействия их с коррозионной средой). К коррозионным процессам относятся процессы, связанные с появлением на поверхности металлов продуктов коррозии или окисных пленок под воздействием влажности или агрессивных компонентов внешней среды.
Анализ данных ряда научных исследований показывает, что наибольшее влияние на уровень сохраняемости технических характеристик оказывают температура воздуха, влажность, солнечная радиация и коррозионно-активные агенты [11; 12].
Среди технологичных (эксплуатационных) факторов, оказывающих существенное влияние на способность изделия к переработке, можно выделить время проведения утилизации после списания образца. Данный фактор влияет на продолжительность проведения разукомплектации при подготовке к проведению утилизации, а также на сохранение показателя материалоемкости изделия. Изменение технического и качественного состояния изделий приводит к снижению уровня утилизируемости, который может быть оценен с использованием таких показателей, как продолжительность разборки и изменение материалоемкости изделий.
При утилизации изделий в течение первых пяти лет после списания наблюдается резкое увеличение времени разборки образцов по причине прогрессирующих процессов старения отдельных деталей (коррозия, изменение механических свойств) в результате изменившихся условий хранения [13–15]. Показатель утилизируемости образцов резко уменьшается со временем, что обусловлено изменением и ухудшением полезных свойств изделий из пластмассы, резины, дерева, кожи и материалов на текстильной и бумажной основе. В дальнейшем время разборки несколько стабилизируется, однако с сохранением тенденции, направленной на дальнейшее увеличение.
Обобщение опытных данных по оценке степени утилизируемости сельскохозяйственной техники, находящейся на хранении от влияния климатических и биологических факторов показывает, что среднее время разборки образцов увеличивается в 1,4–2,6 раза [16–18].
Материалы и методы
С использованием метода парного линейного регрессионного анализа проведены исследования зависимостей влияния основных показателей КM, КT и КTC на комплексный показатель утилизируемости.
В качестве функции отклика использовался показатель утилизируемости сельскохозяйственной техники Fy. В качестве исследуемых факторов выбраны групповые показатели КM, КT и КTC.
Интервалы варьирования факторов, а также расчетные значения показателя утилизируемости по номенклатурному составу сельскохозяйственной техники приведены в таблице 1.
Таблица 1 Расчетные значения показателя утилизируемости по номенклатурному составу сельскохозяйственной техники
Table 1 Calculated values of the utilization index for the nomenclature composition of agricultural machinery
Номенклатурный состав техники / Nomenclature of equipment | Значения групповых показателей и интервалы их варьирования, отн. ед. / Values of group indicators and intervals of their variation, relative unit | |||||||
КТ | КМ | КБ | КТС | |||||
min | max | min | max | min | max | min | max | |
Сельскохозяйственная техника / Agricultural machinery | 0,66 | 0,99 | 0,01 | 0,33 | 0,01 | 0,33 | 0,66 | 0,99 |
Характер установленной зависимости описывается регрессионным уравнением вида:
Fy= 0,441 + 0,174КТС + 0,021КM– 0,173КT – 0,091КБ. (1)
С использованием регрессионного уравнения (1) проведен расчет значений показателя утилизируемости по всему номенклатурному составу сельскохозяйственной техники, а также его среднего значения, составившего 0,464 отн. ед.
Экспериментальные данные показателя утилизируемости Fyi, результаты расчетов по регрессионному уравнению Ppyi, значения групповых показателей утилизируемости, а также среднее квадратическое отклонение экспериментальных данных от расчетных Sy представлены в таблице 2.
Таблица 2 Экспериментальные и расчетные значения показателей утилизируемости
Table 2 Experimental and calculated utilization values
Номенклатурный состав техники /Nomenclature of equipment | Экспериментальные значения групповых показателей, отн. ед. / The experimental values of the group indicators, relative unit | Fyi, отн. ед. / Fyi, relative unit | Ppyi, отн. ед. / Ppyi, relative unit | Sy, отн. ед. / Sy, relative unit | |||
КТ | КМ | КБ | КТС | ||||
Сельскохозяйственная техника / Agricultural machinery | 0,35 | 0,62 | 0,15 | 0,95 | 0,560 | 0,546 | 0,0208 |
Адекватность расчетных значений экспериментальным данным подтверждена натурными испытаниями. Общий объем отходов после проведения утилизации сельскохозяйственной техники составил 48,4 ± 5 %.
Анализ экспериментальных данных показал, что полученное уравнение адекватно (с доверительной вероятностью 0,95 и FT = 3,38, Fp=383,9) описывает характер зависимости в выбранных интервалах исследованных факторов. При этом установлено, что в качестве показателей, в большей степени определяющих способность машин к утилизации, нужно выделить КТС и КТ. При увеличении КТС и КМ показатель утилизируемости возрастает.
Показатели КМ и КБ в меньшей степени будут влиять на комплексный показатель утилизируемости. При увеличении КБ и КТ комплексный показатель утилизируемости будет уменьшаться.
На основании проведенных исследований закономерностей влияния технического состояния, технологичности конструктивных особенностей, материалоемкости машин и безопасности комплектующих на общий показатель утилизируемости сельскохозяйственной техники установлено, что в зависимости от выбранного направления утилизации, номенклатурно-количественного состава машин, а также их технического состояния доля утилизируемой техники может изменяться в пределах от 34 до 99 %.
Полученные экспериментальные данные с использованием комплексного показателя утилизируемости и методики его применения использованы при обосновании предложений по номенклатуре и объемам сельскохозяйственной техники.
Между временем хранения подлежащей утилизации сельскохозяйственной техники и показателем утилизируемости существуют закономерные связи. Изменение показателя утилизируемости Fy в зависимости от срока хранения после списания τхр показано на рисунке 1.
сельскохозяйственной техники: I – этап эксплуатации и хранения;
Fig. 1. Dependence of the recyclability rate on the storage time of agricultural machinery to be
recycled: I – stage of operation and storage; II – stage of effective disposal;
III – stage of residual disposal; IV – stage of waste generation
В результате длительной эксплуатации или продолжительного хранения изделий в течение первого периода со временем происходит изменение технических характеристик. Это объясняется необратимыми изменениями параметров элементов, что в конечном итоге приводит к предельным срокам эксплуатации и хранения и далее к списанию образца. Данный период характеризуется изменением параметров утилизируемости изделий и веществ с 1,0 до 0,8 отн. ед. и τхр, являющегося назначенным временем эксплуатации или хранения.
На данном этапе проводят утилизацию по направлениям: разукомплектации техники и использования составных частей для сборки нового образца (комплектующих); замены, ремонта некондиционных комплектующих на исправные и отправки образца на дальнейшее хранение или эксплуатацию; использования образца по новому назначению после проведения доработки или переоснащения.
После списания сельскохозяйственной техники наступает второй период (период эффективной утилизации), характеризуемый значительным возрастанием процессов старения элементов и резким уменьшением параметров показателя утилизируемости со временем. Данный период характеризуется изменением параметров показателя утилизируемости изделий и веществ с 0,8 до 0,5 отн. ед и τэу, являющегося временем проведения эффективной утилизации сельскохозяйственной техники. На этом этапе проводят переработку компонентов и материалов с получением изделий и материалов для дальнейшего использования [19; 20].
Если на втором этапе утилизация техники произведена не была, наступает третий период остаточной утилизации, характеризуемый дальнейшим старением образцов. Данный период обладает показателем утилизируемости с параметрами от 0,5 до 0,3 отн. ед.
Если на третьем этапе утилизация сельскохозяйственной техники произведена не была, наступает четвертый период, характеризуемый дальнейшим старением образцов и превращением их в неликвидные отходы, подлежащие уничтожению. Данный период имеет показатель утилизируемости с параметрами от 0,3 и ниже и время образования неликвидных отходов.
Указанная модель показывает, что эффективно планировать и проводить работы по утилизации целесообразно в первые два периода, характеризующиеся более высоким уровнем сохраняемости полезных свойств изделий, а соответственно, и показателя утилизируемости (рис. 1).
Результаты исследования
Проведенные исследования показали, что комплексное влияние климатических и эксплуатационных факторов на физическую природу процесса утилизируемости сельскохозяйственной техники сложно и разнообразно и определяется особенностью ее номенклатурного и количественного состава. Анализ номенклатурно-количественного состава сельскохозяйственной техники для проведения утилизации по выбранным направлениям показывает, что как объекты утилизации их можно разделить на следующие условные классы: объекты высокой сложности с преобладанием слесарно-механических, электротехнических и демонтажных работ; объекты, характеризующиеся средней сложностью разукомплектации как специального оборудования, так и базового шасси; объекты низкой сложности, характеризующиеся незначительным объемом работ по разукомплектации и утилизации.
Между показателем утилизируемости и показателем сложности технического исполнения при проведении утилизации на разных этапах ее осуществления определены закономерные связи, представленные на рисунке 2.
техники КTC и соответствующие им значения коэффициента корреляции R и критерия Фишера F
Fig. 2. Dependences of the recyclability rate on the technical condition of agricultural machinery КTC
and the corresponding values of the correlation coefficient R and the Fisher criterion F
Показатель материалоемкости и массовости объектов характеризуется количеством сельскохозяйственной техники.
Материалоемкость образцов складывается из номенклатурно-количественного состава изделий и их весовых характеристик. Анализ состава высвобождаемых для проведения утилизации образцов показывает, что как объекты утилизации их можно разделить на следующие условные классы:
– средства с объемом утилизации от 1 до 5 тыс. т;
– средства с объемом утилизации от 5 до 10 тыс. т;
– средства с объемом утилизации от 10 тыс. т и выше.
На разных этапах осуществления утилизации между показателем утилизируемости и показателем материалоемкости существуют закономерные связи, представленные на рисунках 3 и 4.
сельскохозяйственной техники КТ: 1 – объекты низкой сложности;
Fig. 3. Dependence of the recyclability rate on the complexity of the technical performance of
agricultural machinery КТ: 1 – objects of low complexity;
состава (объема утилизации) сельскохозяйственной техники КМ:1 – низкий объем;
2 – средней объем; 3 – большой объем утилизации
Fig. 4. Dependence of the recyclability rate on the material consumption and quantitative composition
(volume of utilization) of agricultural machinery КМ: 1 – low volume; 2 – medium volume;
3 – large volume of recycling
Анализ данных по характеру и трудоемкости работ показал, что утилизация сельскохозяйственной техники требует наибольших затрат времени, финансовых, людских и материальных ресурсов.
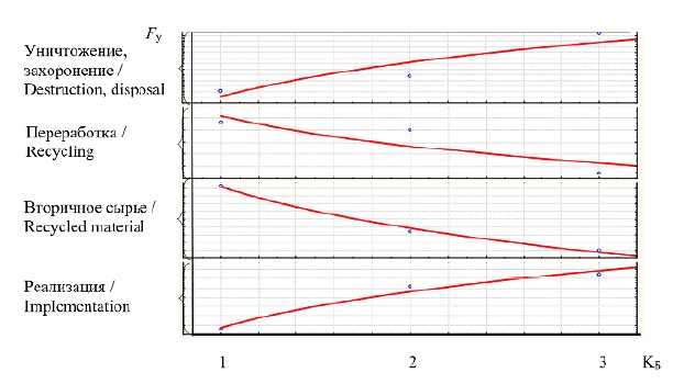
Между показателем утилизируемости и показателем безопасности материалов КБ существуют зависимости, представленные на рисунке 5.
1 – малоопасные; 2 – умеренно опасные; 3 – опасные
Fig. 5. Dependence of the recyclability rate on the safety index of materials КБ:
1 – low-risk; 2 – moderately dangerous; 3 – dangerous
В целом совокупность утилизируемой сельскохозяйственной техники имеет сложную структуру по всем показателям, характеризующим образцы как объекты воздействия системы утилизации (рис. 6).
Fig. 6. Dependence of the complex recyclability rate on group indexes K
По схеме полного факторного эксперимента проведены исследования закономерностей влияния основных показателей КМ, КБ, КТ и КТС на комплексный показатель утилизируемости Fу. Матрица исходных данных определения объемов утилизации сельскохозяйственной техники по выбранным направлениям и показателям в обобщенном виде представлены в таблице 3.
Таблица 3 Матрица исходных данных определения объемов утилизации сельскохозяйственной
техники по выбранным направлениям и показателям
Table 3 Matrix of initial data for determining the volume of recycling agricultural machinery
in the selected areas and indicators
Показатель / Index | Объем утилизации в зависимости от направления использования утилизируемой техники, % / Volume of recycling depending on the direction of use of the recycled equipment, % | |||
Реализация / Implementation | Использование как вторресурса /Use as secondary resources | Переработка с получением продуктов /Recycling for manufacturing produce products | Образование отходов /Waste generation | |
Техническое состояние, КТС / Technical condition, КТС | 25,0 | 16,0 | 22,0 | 37,0 |
Материалоемкость, КМ / Materials consumption, КМ | 20,8 | 24,1 | 27,1 | 27,9 |
Техническое исполнение, КТ / Technical performance, КТ | 19,9 | 33,6 | 23,2 | 22,0 |
Безопасности, КБ / Safety, КБ | 31,2 | 17,9 | 22,0 | 28,8 |
Установлено, что в качестве показателей, в большей степени определяющих способность техники к утилизации, являются КТС и КМ, которые имеют прямо пропорциональный характер зависимости.
Показатели КБ и КТ в меньшей степени будут влиять на комплексный показатель утилизируемости. Данная зависимость имеет обратный пропорциональный характер, то есть при увеличении КБ и КТ комплексный показатель утилизируемости будет уменьшаться.
Проведенные исследования закономерностей влияния технического состояния образцов, технологичности конструктивных особенностей, материалоемкости и безопасности комплектующих на общий показатель утилизируемости сельскохозяйственной техники позволили установить, что в зависимости от выбранного направления утилизации и номенклатурно-количественного состава доля утилизируемых образцов может изменяться в пределах от 63 до 78 %. Кроме того, показано, что влияние технического состояния образцов и материалоемкости отработавшей техники на общий показатель утилизируемости носит прямолинейный прямо пропорциональный характер зависимости. Напротив, показатели технологичности конструктивных особенностей и безопасности комплектующих влияют на показатель утилизируемости в меньшей степени и носят прямолинейный обратно пропорциональный характер.
Полученные экспериментальные данные с использованием комплексного показателя утилизируемости и методики применения использованы при обосновании предложений по номенклатуре и объемам высвобождаемого имущества.
Обсуждение и заключение
Разработан научно-методический аппарат обеспечения утилизации сельскохозяйственной техники, включающий в себя поэтапное решение задач определения исходных данных, обоснования требований и способов утилизации, формирования управленческих решений в направлении их использования с применением новых методик оценки номенклатуры, объемов и сроков утилизации, технического состояния и категорирования, а также проведения технико-экономической оценки утилизации изделий.
Предложены категории подлежащей утилизации сельскохозяйственной техники по величине изменения нормативного значения контролируемого показателя технического состояния, позволяющего обоснованно определять приоритетные варианты утилизации машин с учетом требований к продуктам утилизации по трем категориям (реализация, промышленная переработка, использование в качестве вторичного сырья), соответствующим направлениям утилизации.
Разработан метод экспертно-аналитической оценки утилизируемости сельскохозяйственной техники, основанный на использовании обобщенного показателя утилизируемости, и определены параметры данного показателя, позволяющего решать задачу управления и определения уровня качества сельскохозяйственной техники.
Существенный вклад в снижение показателя утилизируемости вносит показатель сложности технического исполнения образцов, влияние которого обусловлено трудоемкостью работ, связанных с проведением разбраковки изделий. Увеличение доли комплектующих, входящих в состав изделий сельскохозяйственной техники, приводит к уменьшению показателя утилизируемости и обусловлено необходимостью создания дополнительных мер безопасности при проведении работ.
1 Утилизация техники в системе АПК / Н. В. Алдошин [и др.]. М.: Триада, 2014. 222 с.
2 Утилизация сельскохозяйственной техники: проблемы и решения / С. А. Соловьев [и др.]. М.: ФГБНУ «Росинформагротех», 2015. 172 с.
About the authors
Igor N. Kravchenko
Russian Timiryazev State Agrarian University
Email: kravchenko-in71@yandex.ru
ORCID iD: 0000-0002-1826-3648
ResearcherId: B-9463-2018
Professor of Chair of Technical Service Department of Machinery and Equipment, D.Sc. (Engineering)
Russian Federation, 49 Timiryazevskaya St., Moscow 127550Yri S. Migachev
Chemical and Biological Defense named after Marshal of the Soviet UnionS. K. Timoshenko
Email: migatchov_yri@mail.ru
ORCID iD: 0000-0001-9424-9875
Head of Chair of Protection Means against Weapons of Mass Destruction, D.Sc. (Engineering)
Russian Federation, 16 Gorkiy St., Kostroma 156015Yury A. Kuznetsov
Orel State Agrarian University
Email: kentury@yandex.ru
ORCID iD: 0000-0003-3699-8231
Professor of Machine Reliability and Repair Department, D.Sc. (Engineering)
Russian Federation, 69 General Rodin St., Orel 302019Alexandr М. Davydkin
National Research Mordovia State University
Author for correspondence.
Email: aldavydkin@yandex.ru
ORCID iD: 0000-0002-2984-2362
ResearcherId: S-8297-2018
Associate Professor of Chair of Technical Service of Machines of Institute of Mechanics and Power Engineering, Cand.Sc. (Engineering)
Russian Federation, 68 Bolshevistskaya St., Saransk 430005Mikhail N. Erofeev
Mechanical Engineering Research Institute of the Russian Academy of Sciences
Email: erofeeff2007@yandex.ru
ORCID iD: 0000-0002-1048-3574
Vice President of Research, D.Sc. (Engineering), Professor
Russian Federation, 4 Malyy Kharitonevskiy Pereulok, Moscow 101990References
- Gerasimov V.S., Soloviev R.Yu., Ignatov V.I. Recycling as a Mechanism to Update the Machine-Tractor Fleet of the Russian Agroindustrial Complex. Trudy GOSNITI = Works of GOSNITI. 2014;115:19-24. Available at: https://docplayer.ru/46913729-Utilizaciya-kak-mehanizm-obnovleniya-mashinno-traktornogo-parka-apk-rossii.html (accessed 05.11.2020). (In Russ.)
- Gerasimov V.S., Solovev R.Yu., Ignatov V.I. [Justification of the Need to Develop a System for Recycling Agricultural and Forestry Equipment]. Lesnoy vestnik = Forestry Bulletin. 2014; (2):28-34.Available at: https://cyberleninka.ru/article/n/obosnovanie-neobhodimosti-razrabotki-sistemy-utilizatsiiselskohozyaystvennoy-i-lesnoy-tehniki/viewer (accessed 05.11.2020). (In Russ.)
- Gerasimov V.S., Soloviev S.A. The Main Directions and Prospects of Development of System of Recycling of Agricultural Machinery. Trudy GOSNITI = Works of GOSNITI. 2015; 121:69-75. (In Russ.)
- Gerasimov V.S., Chernoivanov A.G., Solovyev R.Yu. Researching the Conditions for the Possibility of the Formation of a System of Utilisation for Agricultural Equipment Based on AIC Enterprises of the Krasnodar Region. Trudy GOSNITI = Works of GOSNITI. 2015; 121:61-68. (In Russ.)
- Ignatov V.I., Dorokhov A.S., Gerasimov V.S., et al. The Principles for Determining Recycling Fee on Decommissioned Equipment. Inzhenernyye tekhnologii i sistemy = Engineering Technologies and Systems. 2019; 29(1):124-139. (In Russ.) DOI: https://doi.org/10.15507/2658-4123.029.201901.124-139
- Ignatov V.I., Gerasimov V.S., Mordasova M.S. Disposal and Repair of Equipment as Circular Economy Elements. Inzhenerernyye tekhnologii i sistemy = Engineering Technologies and Systems. 2020;30(1):21-42. (In Russ.) DOI: https://doi.org/10.15507/2658-4123.030.202001.021-042
- Kravchenko I.N., Migachyov Yu.S., Kochurov V.V., et al. Development of Integrated Quality Control System of Technical Products, Armament and Military Equipment at Stages of Storage and Utilization.Remont. Vosstanovlenie. Modernizatsiya = Repair. Restoration. Modernization. 2012; (7):25-30. Available at: http://www.nait.ru/journals/number.php?p_number_id=1669 (accessed 05.11.2020). (In Russ.)
- Ignatov V.I., Gerasimov V.S., Andreeva D.V. Use of Digital Technology in Agricultural Machinery Recycling. Selskokhozyaystvennaya tekhnika: obsluzhivanie i remont = Agricultural Machinery: Maintenance and Repair. 2020; (6):49-58. (In Russ.)
- Gerasimov V.S. Creating a Secondary Market of Used Agricultural Machinery in the Agricultural Complex of the Russian Federation. Trudy GOSNITI = Works of GOSNITI. 2013; 113:33-43. Available at:http://www.gosniti.com/publish1.html (accessed 05.11.2020). (In Russ.)
- Aldoshin N.V. Control of Quality of Products from Coming Out of Use Technique. Technika v selskom hozyaystve = Machinery in Agriculture. 2010; (4):30-33. (In Russ.)
- Kravchenko I.N., Aldoshin N.V., Leskonog Yu.A., et al. Structure of Automated System of Database Generation for Efficient Management of Vehicle Disposal. Tekhnika i oborudovanie dlya sela =Machinery and Equipment for Rural Area. 2017; (2):34-39. Available at: https://rosinformagrotech.ru/data/tos/arkhiv-zhurnala-besplatnyj-dostup/download/56-arkhiv-zhurnala-za-2017/439-tekhnika-i-oborudovanie-dlya-sela-fevral-2-236-2017-g (accessed 05.11.2020). (In Russ.)
- Solovyov S.A., Gerasimov V.S., Ignatov V.I., et al. Machinery as Special Kind of Waste Products in Recycling of Machines. Tekhnika i oborudovanie dlya sela = Machinery and Equipment for Rural Area.2016; (6):2-5. Available at: https://rosinformagrotech.ru/data/tos/arkhiv-zhurnala-besplatnyj-dostup/download/57-arkhiv-zhurnala-za-2016/431-tekhnika-i-oborudovanie-dlya-sela-6-228-iyun-2016-g (accessed 05.11.2020). (In Russ.)
- Kravchenko I.N., Aldoshin N.V., Leskonog Yu.A., et al. Methodology of Indicator System Substantiation for Disposal Ability of Agricultural Production Technical Means. Tekhnika i oborudovanie dlya sela = Machinery and Equipment for Rural Area. 2017; (3):32-36. Available at: https://rosinformagrotech.ru/data/tos/arkhiv-zhurnala-besplatnyj-dostup/download/56-arkhiv-zhurnala-za-2017/440-tekhnika-ioborudovanie-dlya-sela-mart-3-237-2017-g (accessed 05.11.2020). (In Russ.)
- Gerasimov V.S., Solovyev R.Yu., Trofimenko Yu.V., et al. Estimation Procedure of Parameters and Financial Flows in Utilization System of Agricultural Machinery and Equipment. Tekhnika i oborudovanie dlya sela = Machinery and Equipment for Rural Area. 2014; (8):37-40. Available at: https://elib.pstu.ru/vufind/EdsRecord/edselr,edselr.21836508 (accessed 05.11.2020). (In Russ.)
- Kravchenko I.N., Kuznetsov Yu.A., Leskonog Yu.A., et al. Process Modeling for Formation of Utilization System of Agricultural Machinery Withdrawn from Use. Tekhnika i oborudovanie dlya sela =Machinery and Equipment for Rural Area. 2017; (9):39-44. Available at: https://rosinformagrotech.ru/data/tos/arkhiv-zhurnala-besplatnyj-dostup/download/56-arkhiv-zhurnala-za-2017/446-tekhnika-i-oborudovanie-dlya-sela-sentyabr-9-243-2017-g (accessed 05.11.2020). (In Russ.)
- Silvestri L., Forcina A., Arcese G., et al. Recycling Technologies of Nickel-Metal Hydride Batteries:An LCA Based Analysis. Journal of Cleaner Production. 2020; 273. (In Eng.) DOI: https://doi.org/10.1016/j.jclepro.2020.123083
- Zhang L., Yuan W., Songyan J., et al. Modelling the Generation of Household Automo-Biles in the Context Scrap of Urban-Rural Disparity: A Case Study of Nanjing, China. Journal of Cleaner Production.2020; 268. (In Eng.) DOI: https://doi.org/10.1016/j.jclepro.2020.122237
- Jafari M., Torabian M.M., Bazargan A. A Facile Chemical-Free Cathode Powder Separation Method for Lithium Ion Battery Resource Recovery. Journal of Energy Storage. 2020; 31. (In Eng.) DOI:https://doi.org/10.1016/j.est.2020.101564
- Dobrotă D., Dobrotă G., Dobrescu T. Improvement of Waste Tyre Recycling Technology Based on a New Tyre Markings. Journal of Cleaner Production. 2020; 260. (In Eng.) DOI: https://doi.org/10.1016/j.jclepro.2020.121141
- Lei Y., Qiu P., Ma W., et al. Novel Approach for Clean Utilization of Complex Low-Grade MetalResources Using Silicon as Metal Getter. Journal of Cleaner Production. 2020; 260. (In Eng.) DOI:https://doi.org/10.1016/j.jclepro.2020.121063
Supplementary files
























