The Information Predictive Model of Creating Temperature and Humidity Conditions in Cow Barns
- Authors: Vtoryi V.F.1, Vtoryi S.V.1, Gordeev V.V.1
-
Affiliations:
- Institute for Engineering and Environmental Problems in Agricultural Production – Branch of Federal Scientific Agroengineering Center VIM
- Issue: Vol 31, No 2 (2021)
- Pages: 241-256
- Section: Technologies and Means of Agricultural Mechanization
- Submitted: 30.07.2025
- Accepted: 30.07.2025
- Published: 31.07.2025
- URL: https://journals.rcsi.science/2658-4123/article/view/303447
- DOI: https://doi.org/10.15507/2658-4123.031.202102.241-256
- ID: 303447
Cite item
Full Text
Abstract
Introduction. Information-predictive modeling is an effective tool for optimizing the indoor climatic variables to make full use of cow potential. Noncompliance with barn climate requirements may result in 10–30% lower lactation capacity. The research aimed at creating an information model of indoor climate formation based on experimental findings.
Materials and Methods. A 24-hour measuring system of relevant climate variables with a 10-minutes data recording interval was designed. It included nine sensor units, three data recording/storing devices and a common power unit. Measurements took place in a dairy cow barn for 200 head in the Leningrad Region.
Results. According to the summer study results, certain areas in the cow barn at high relative humidity had Temperature Humidity Index >75, i.e. were unfavorable for animals. This period may last up to 18 hours a day. In the daytime at Temperature Humidity Index >80, the indoor environment might become critical and be accompanied by a drastic decrease in milk cow productivity. Correlation models for temperature conditions in a cow barn are obtained and their dependence on indoor and outdoor temperature and air humidity are calculated.
Discussion and Conclusion. An information predictive model was created to describe the formation of temperature and humidity conditions inside cow barns, depending on weather conditions. Under constant real-time database updating, the model allows monitoring the temperature and humidity in cow barns and forecasting these variables for the next few days. The relevant data are visualized in real-time on monitors and information panels for personnel and specialists supporting the timely managerial decisions to prevent critical situations associated with overheating or hypothermia of animals.
Full Text
Введение
Глобальные изменения климата Земли оказывают существенное влияние на сельскохозяйственное производство, формируют новые требования и условия для содержания домашних животных и птицы. Это относится и к молочному животноводству. Особенность содержания домашних животных и крупного рогатого скота заключается в том, что они находятся в ограниченных человеком условиях и в меньшей степени обладают возможностями к естественной адаптации. Реализация их генетического потенциала напрямую зависит от человека [1].
Создание благоприятных условий содержания молочного скота, обеспечение соответствующих параметров микроклимата в животноводческих помещениях является необходимым условием для обеспечения высокой продуктивности коров [2].
В настоящее время крупный рогатый скот Ленинградской области имеет высокий генетический потенциал молочной продуктивности, уровень реализации которого зависит от технологии содержания и обслуживания животных. Обеспечение комфортного состояния воздушной среды в коровнике по своему значению стоит на втором месте после кормления. Однако, по нашим наблюдениям, на многих молочных фермах и комплексах обеспечению параметров микроклимата не уделяется должного внимания. Одним из основных параметров является температурно-влажностный режим в коровнике. Его несоблюдение влечет за собой значительные потери продуктивности, особенно в зимний и летний периоды.
Микроклимат коровника формирует ряд факторов. Внутренние – животные выделяют продукты своей жизнедеятельности (тепло, пары воды, углекислый газ, аммиак, сероводород). Внешние – обусловленные зональными природно-климатическими условиями. Взаимовлияние этих факторов – сложный процесс, находящийся в постоянном движении [3].
Современные информационные технологии позволяют эффективно управлять системами обеспечения микроклимата. Зная текущее состояние параметров и закономерности формирования микроклимата, можно управлять этим процессом, не допуская стрессовых ситуаций для животных. В связи с этим исследование закономерностей формирования микроклимата, методов математического моделирования с разработкой цифровых систем управления – актуальная задача.
Цель исследования – разработать информационно-прогнозную модель температурно-влажностного режима коровника, используя результаты экспериментальных исследований.
Обзор литературы
Зарубежные и отечественные ученые уделяют пристальное внимение вопросам влияния условий содержания на продуктивность крупного рогатого скота, обеспечения требуемых параметров микроклимата в животноводческих помещениях. Для управления автоматизированными системами создания микроклимата разрабатываются математические модели и компьютерные программы, учитывающие прогноз воздействия ряда факторов на процесс формирования воздушной среды в коровнике.
В первую очередь к нормируемым параметрам относятся температура и относительная влажность воздуха в коровнике [4]. Отклонения вызывают пониженное потребление сухого вещества, нарушение метаболизма, проблемы развития плода у стельных коров [5; 6].
Тепловой стресс, вызванный понижением или повышением температуры, оказывает существенное влияние на коров, снижает их продуктивность. Так, в период лактации это снижение может достигать 25–40 % [7].
Даже незначительные колебания температур воздуха внутри коровника сказываются на изменении продуктивности животных на 5–10 % [8].
В методических рекомендациях Министерства сельского хозяйства указано, что в стойлах, боксах, комбибоксах расчетная температура воздуха должна составлять 10 ± 2 ºС при относительной влажности 40–75 % [4].
В молочном скотоводстве для оценки наличия стрессового состояния животных под влиянием температуры и влажности воздуха применяется температурно-влажностный индекс (THI) [9–12].
Принято считать, что тепловой стресс у коров наступает при THI >74, а при THI >84 возникает критическое состояние животного с серьезными последствиями для его здоровья. Исследования показали, что удой начинает снижаться при значениях индекса THI = 65, а при THI от 65 до 73 потери молока достигали 2,2 кг в сутки [4; 13].
Разрабатываются и другие тепловые индексы для молочного скота. Например, эквивалентный температурный индекс (ETIC), в котором учитываются во взаимодействии температура, относительная влажность и скорость движения воздуха, солнечная радиация [14].
Существенное влияние на формирование микроклимата, наряду с внешними климатическими факторами, оказывают объемно-планировочные и конструктивные решения зданий и технология содержания и обслуживания животных1 [15].
Длина, ширина, высота коровника составляют десятки метров, что может влиять на микроклимат в различных зонах помещения. Наиболее неблагоприятным является микроклимат в центре коровника [16].
Для эффективного управления микроклиматом на молочных фермах необходимо моделирование и создание автоматизированных систем для информирования о состоянии процессов. Однако ощущается большой недостаток теоретических и экспериментальных исследований, позволяющих разрабатывать модели, приемлемые для практического использования [17; 18].
Необходимо специализированное программное обеспечение, учитывающее зональные климатические условия, продуктивные и физиологические особенности местного молочного скота, технологии его содержания и обслуживания [19].
Материалы и методы
Исходными данными для разработки модели стали результаты исследований температурно-влажностных режимов воздуха в четырехрядном коровнике на 200 дойных коров с привязным, подстилочным содержанием, трехразовым доением на установке типа «Молокопровод», мобильной раздачей кормов, стационарной системой уборки навоза. Система вентиляции естественная с притоком через боковые окна и вытяжкой через вентиляционно-световой конек в центре коровника. Строение расположено в Волосовском районе Ленинградской области.
Основными контролируемыми параметрами микроклимата являются температура и относительная влажность воздуха, для чего используются специальные измерительные системы, расположенные непосредственно в коровнике [20–23]. Характерной особенностью этих систем является то, что они имеют один измерительный модуль, который устанавливается стационарно в одной точке. Такая система не позволяет одновременно в режиме реального времени измерять параметры микроклимата по всему помещению, имеющему существенную разницу измеряемых величин в различных его точках.
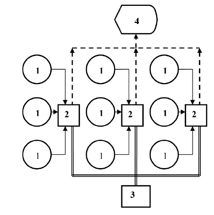
Разработанная нами система измерения параметров микроклимата коровника предусматривает регистрацию температуры и относительной влажности воздуха одновременно по всему помещению. Система имеет 9 точек установки комплектов датчиков, распределенных по длине и ширине коровника на высоте 2,5 м над стойлами животных (рис. 1) [24] . Система работает круглосуточно в режиме реального времени с интервалом опроса датчиков 10 минут [4].
Рис. 1. Схема системы измерения параметров микроклимата коровника: 1 – датчики температуры и влажности воздуха;
2 – устройство регистрации и архивации данных; 3 – блок электропитания системы; 4 – компьютер специалиста
Fig. 1. Diagram of the measuring system for the indoor climate variables in a cow barn: 1 – temperature and humidity sensors; 2 – data recording and storing device; 3 – power supply unit; 4 – specialist’s PC
Система для измерения параметров микроклимата имеет блочную структуру и состоит из девяти блоков датчиков, трех блоков регистрации-архивации и общего блока питания [24]. Датчики равномерно распределены по площади фермы, что обеспечивает регистрацию параметров в различных точках помещения в зависимости от объемно-планировочного решения, технологии содержания и обслуживания животных. Блок состоит из датчика температуры и влажности АМ2320 [25]. Датчики позволяют измерять температуру в диапазоне от –40 до +80 °С с максимальной погрешностью ±0,5 °С и разрешением шкалы 0,1 °С, относительную влажность 0–99,9 % ‒ с максимальной погрешностью ±3 % и разрешением шкалы 0,1 %. Блок регистратора-архиватора представляет собой устройство, созданное из электронных компонентов с микроконтроллером Atmel 328, и работает в соответствии с программой [24].
Данные из регистратора-архиватора раз в 2 недели заносятся в компьютер, обрабатываются в программе Excel и оформляются в графическом и табличном форматах для дальнейшего анализа2.
Данные о текущих и прогнозных климатических условиях (температуре и относительной влажности окружающего воздуха, скорости и направлении ветра, атмосферном давлении, количестве выпавших осадков и др.) получены с региональной государственной метеостанции с интервалом в 3 часа.
Результаты исследования
Все модели формирования микроклимата животноводческого помещения можно разделить на три вида. Во-первых, модели, использующие физические принципы термо-, гидро- и газодинамики. Они состоят из сложных дифференциальных уравнений с использованием различных коэффициентов, учитывающих особенности конкретного объекта [25]. Во-вторых, модели, построенные на результатах измерений. Они учитывают условия содержания и способность живых организмов адаптироваться к этим условиям, поддерживая свою жизнедеятельность и полезные человеку продуктивные свойства. В-третьих, на практике часто встречаются модели, построенные на теоретических зависимостях и результатах измерений, так называемые «гибридные модели» [25].
Животноводческие фермы – это сложные биотехнические, динамические системы, поэтому в нашей модели использованы принципы построения гибридных моделей. Функциональная схема модели температурно-влажностного режима коровника представлена на рисунке 2.
Tk – температура коровника; Wk – влажность коровника; Tm – температура наружного воздуха;
Wm – влажность наружного воздуха; 1 – база знаний; 2 – блок анализа текущих значений
параметров микроклимата; 3 – блок анализа расчетных параметров микроклимата; 4 – компьютер специалиста
Fig. 2. Functional diagram of the temperature and humidity model of a cow barn: Tk – cow barn
temperature; Wk – cow barn humidity; Tm – outdoor temperature; Wm – outdoor humidity;
1 – knowledge base; 2 – block for analyzing the current indoor climate variables; 3 – block for analyzing
the estimated indoor climate variables; 4 – specialist’s PC
Исходными данными модели являются значения текущих параметров микроклимата, поступающие в режиме реального времени с соответствующих датчиков, установленных в коровнике. Количество датчиков может быть различным, но минимальное количество датчиков температуры воздуха не менее 7, датчиков относительной влажности воздуха не менее 3 в зависимости от объемно-планировочного решения помещения для содержания животных. К исходным данным относятся текущие погодные условия и прогноз на 10 суток.
База знаний 1 содержит нормативно-справочную информацию для выполнения технологических процессов, архив данных за предшествующие периоды. В блоке анализа 2 выполняются операции сравнения текущих информативных значений параметров микроклимата. В блоке анализа 3 выполняются операции сравнения расчетных значений параметров микроклимата на соответствие установленным нормативам. Результат анализа транслируется на компьютер специалиста 4 для принятия управленческих решений и архивируется в базе знаний 1.
В качестве примера на рисунках 3 и 4 в графической форме представлены результаты суточного мониторинга температуры и относительной влажности воздуха в коровнике с учетом внешних погодных условий с временным интервалом 3 часа [4]. Значения параметров микроклимата в коровнике рассчитываются как среднее с 9 точек измерения. Данные о состоянии параметров микроклимата в коровнике и метеоусловиях в режиме реального времени отражаются на мониторах и информационных панелях персонала и специалистов.
1 – средняя температура воздуха в коровнике в течение суток, °С;
2 – средняя температура наружного воздуха в течение суток, °C
Fig. 3. Cow barn temperature for the current day:
1 – средняя относительная влажность воздуха в коровнике в течение суток, %;
2 – средняя относительная влажность наружного воздуха в течение суток, %
Fig. 4. Barn air humidity for the current day:
На рисунке 5 представлены экспериментальные зависимости температуры воздуха внутри коровника от температуры наружного воздуха для конкретной фермы по результатам мониторинга в течение года. График предоставляет возможность определить верхние и нижние границы температуры воздуха в коровнике при изменении температуры наружного воздуха.
Fig. 5. Dependence of the air temperature in a cow barn on the outdoor air temperature
В холодный (зимний) период года особое значение имеет определение нижней границы, чтобы не допустить переохлаждения животных, замерзания систем поения и уборки навоза. В теплый (летний) период верхней границей является вероятность наступления перегрева животных в отдельных неблагоприятных зонах коровника.
В результате исследований получены корреляционные модели формирования температурного режима коровника (1)–(3) в зависимости от температуры наружного воздуха.
при R2 = 0,951, (1)
при R2 = 0,940, (2)
при R2 = 0,905, (3)
где Tв.ср. – средняя температура воздуха в коровнике, °С; – средняя минимальная температура воздуха в коровнике, °С; – средняя максимальная температура воздуха в коровнике, °С; Tн.ср. – средняя температура наружного воздуха, °С.
В соответствии с моделями (1)‒(3) рассчитаны значения температуры на следующие сутки с учетом прогноза внешних погодных условий. На рисунке 6 результаты этих расчетов представлены в графической форме.
1 – ожидаемая средняя температура в коровнике, °С; 2 – ожидаемая максимальная температура
в коровнике, °С; 3 – ожидаемая средняя температура наружного воздуха, °C
Fig. 6. Estimated values of air temperature in the cow barn for the next day: 1 – expected average air
temperature in the cow barn, °С; 2 – expected maximal air temperature in the cow barn, °С;
3 – expected maximal outdoor air temperature, °С
Из графика (рис. 6) видно, что с 9 до 18 часов ожидается неблагоприятный микроклимат в коровнике и необходимо предусмотреть мероприятия по снижению температуры, организации активного воздухообмена в помещении.
Использование постоянного мониторинга функционирования фермы позволяет формировать модели и управлять микроклиматом коровника с учетом прогноза погоды на ближайшие сутки, изменяющихся внешних условий, технологии содержания и обслуживания животных.
Расчет ожидаемых параметров микроклимата фермы на следующие сутки, с учетом прогноза температуры наружного воздуха, позволит учесть вероятность возникновения критических ситуаций как в зимнее (низкие температуры), так и в летнее (высокие температуры) время.
В молочном скотоводстве для оценки совокупного влияния температуры и влажности воздуха, оценки стрессового состояния животного применяется индекс температуры и влажности THI и рассчитывается по зависимости (4) [4; 10]:
, (4)
где tab – температура по сухому термометру, ºС; tdp – точка росы, ºС.
Нижний порог наступления стрессового состояния для молочного скота наблюдается при THI >74; при 74 ≤ THI < 79 – стрессовое состояние; 79 ≤ THI < 84 – опасное стрессовое состояние; THI >84 – критическая ситуация, требующая немедленного принятия мер [26].
В результате исследований получена корреляционная модель (5) зависимости THI от температуры и относительной влажности воздуха в исследуемом коровнике:
при R2 = 0,999, (5)
где T – температура воздуха в коровнике в пределах от 10 до 30 °C; W – относительная влажность воздуха в коровнике в пределах от 50 до 100 %.
В соответствии с зависимостью (5) и температурным прогнозом (рис. 6) произведен расчет индекса THI на следующие сутки для исследуемого коровника. Результаты расчетов представлены в виде графической модели на рисунке 7. Расчеты выполнены для диапазона относительной влажности воздуха в коровнике 60–90 % [4].
1 – значения THI в коровнике при средней температуре и относительной влажности воздуха 60 %;
2 – значения THI в коровнике при средней температуре и относительной влажности воздуха
90 %; 3 – значения THI в коровнике при максимальной температуре и относительной влажности
воздуха 60 %; 4 – значения THI в коровнике при максимальной температуре и относительной
влажности воздуха 90 %; 5 – значения THI вне коровника
Fig. 7. Calculated values of the temperature and humidity index for the next day: 1 – THI in the
cow barn under the average air temperature and relative humidity of 60%; 2 – THI in the cow barn
under the average air temperature and relative humidity of 90%; 3 – THI in the cow barn under the
maximal air temperature and relative humidity of 60%; 4 – THI in the cow barn under the maximal air
temperature and relative humidity of 90%; 5 – THI outside the cow barn
Анализ графика (рис. 7) свидетельствует о том, что неблагоприятный для животных температурно-влажностный режим THI >75 в отдельных зонах коровника при высокой относительной влажности воздуха может присутствовать до 18 часов в сутки. В дневное время при THI >80 температурно-влажностный режим в коровнике может стать критическим и сопровождаться резким снижением молочной продуктивности коров.
Снизить влияние теплового стресса можно организацией повышенного воздухообмена коровника или выгулом скота на площадках, оборудованных солнцезащитными навесами, при поении животных водой.
Обсуждение и заключение
Разработана система для круглосуточного измерения параметров микроклимата, состоящая из девяти блоков датчиков, трех блоков регистрации-архивации и общего блока питания [24]. Интервал записи данных в регистратор-архиватор составляет 10 минут с дальнейшей аналитической обработкой в программе Excel.
С использованием системы измерения параметров микроклимата проведены экспериментальные исследования температурно-влажностных режимов в коровнике на 200 голов [4]. В результате исследований получены корреляционные модели формирования температурного режима коровника и расчета THI в зависимости от температуры и относительной влажности воздуха коровника и наружного воздуха.
Разработана информационно-прогнозная модель формирования температурно-влажностных режимов внутри коровника в зависимости от внешних погодных условий. Модель позволяет при постоянно обновляемой базе данных в режиме реального времени контролировать состояние температурно-влажностного режима коровника, формировать прогноз состояния параметров микроклимата на ближайшие несколько суток. Это поможет заблаговременно принимать управленческие решения при критических ситуациях, связанных с перегревом или переохлаждением животных.
1 Mylostyvyi R., Sejian V., Hoffmann G. Problems Related to Ensuring the Cow Comfort in Uninsulated Cowsheds during the Hot Season // Proceedings of the 1st International Scientific and Practical Conference AWCGCC, 21–22 April 2020, Dnipro. Dnipro, 2020. Pp. 75–77. URL: https://www.researchgate.net/publication/341114318_PROBLEMS_RELATED_TO_ENSURING_THE_COW_COMFORT_IN_UNINSULATED_COWSHEDS_DURING_THE_HOT_SEASON#fullTextFileContent (дата обращения: 01.03.2021).
2 Валге А. М. Использование систем Excel и Mathcad при проведении исследований по механизации сельскохозяйственного производства (Методическое пособие). СПб: ГНУ СЗНИИМЭСХ Россельхозакадемии, 2013. 200 с.
About the authors
Valeryij F. Vtoryi
Institute for Engineering and Environmental Problems in Agricultural Production – Branch of Federal Scientific Agroengineering Center VIM
Email: vvtoryj@yandex.ru
ORCID iD: 0000-0003-0026-6979
ResearcherId: Z-1809-2019
Senior Researcher, Institute for Engineering and Environmental Problems in
Agricultural Production,D.Sc. (Engineering)
Sergei V. Vtoryi
Institute for Engineering and Environmental Problems in Agricultural Production – Branch of Federal Scientific Agroengineering Center VIM
Author for correspondence.
Email: 2vt_1981@list.ru
ORCID iD: 0000-0002-7169-1625
ResearcherId: Z-1812-2019
Senior Researcher, Institute for Engineering and Environmental Problems in Agricultural Production, Cand.Sc. (Engineering)
Russian Federation, 3 Filtrovskoye Shosse, Saint Petersburg 196625Vladislav V. Gordeev
Institute for Engineering and Environmental Problems in Agricultural Production – Branch of Federal Scientific Agroengineering Center VIM
Email: vladgordeev@mail.ru
ORCID iD: 0000-0001-6181-396X
ResearcherId: Y-9104-2019
Head of the Research Departament for Technologies and Technical Means
in Animal Husbandry, Cand.Sc. (Engineering)
References
- Mylostyvyi R.V., Sejian V. Welfare of Dairy Cattle in Conditions of Global Climate Change. Theoretical and Applied Veterinary Medicine. 2019; 7(1):47-55. (In Ukr., abstract in Eng.) DOI: https://doi.org/10.32819/2019.71009
- Ivanov Yu.A., Novikov N.N. Improving the Quality of Wildlife Habitat by Improving Equipment Management Systems Climate. Vestnik VNIIMZh = Bulletin of the Russian Research Institute for Mechanisation of Animal Husbandry. 2013; (3):44-51. Available at: https://clck.ru/UJW8J (accessed 01.03.2021). (In Russ., abstract in Eng.)
- Vtoryy V.F., Vtoryy S.V., Ilin R.M. [Research on the Temperature and Humidity Conditions of the Barn in Winter and Spring]. Izvestiya Sankt-Peterburgskogo gosudarstvennogo agrarnogo universiteta =Izvestia of the St. Petersburg State Agrarian University. 2019; (1):134-140. (In Russ.) DOI: https://doi.org/10.24411/2078-1318-2019-11134 (дата обращения: 01.03.2021).
- Wtory V.F., Gordeev V.V., Wtory S.V., Lantsova E.O. The Cowshed’s Temperature -and- Humidity Conditions with Graphic Information Modeling Using Assessment. Vestnik VNIIMZh = Bulletin of the Russian Research Institute for Mechanisation of Animal Husbandry. 2016; (4):67-72. Available at: https://clck.ru/UJZK6 (accessed 01.03.2021). (In Russ., abstract in Eng.)
- Dahl G.E., Tao S., Monteiro A.P.A. Effects of Late-Gestation Heat Stress on Immunity and Performance of Calves. Journal of Dairy Science. 2016; 99(4):3193-3198. (In Eng.) DOI: https://doi.org/10.3168/jds.2015-9990
- Herbut P., Angrecka S., Walczak J. Environmental Parameters to Assessing of Heat Stress in Dairy Cattle – a Review. International Journal of Biometeorology. 2018; 62(12):2089-2097. (In Eng.) DOI:https://doi.org/10.1007/s00484-018-1629-9
- Tao S., Orellana R.M., Weng X., et al. Symposium Review: The Influences of Heat Stress on Bovine Mammary Gland Function. Journal of Dairy Science. 2018; 101(6):5642-5654. (In Eng.) DOI:https://doi.org/10.3168/jds.2017-13727
- Vtoryi S.V., Ilin R.M. Effect of External Weather Conditions on the Cow Productivity in Tied Housing Systems. AgroEkoInzheneriya = Agricultural and Environmental Engineering. 2019; (2):269-277.(In Russ., abstract in Eng.) DOI: https://doi.org/10.24411/0131-5226-2019-10172
- Müschner-Siemens T., Hoffmann G., Ammon C., Amon T. Daily Rumination Time of Lactating Dairy Cows under Heat Stress Conditions. Journal of Thermal Biology. 2020; 88. (In Eng.) DOI: https://doi.org/10.1016/j.jtherbio.2019.102484
- Algers B., Bertoni G., Broom D.M., et al. Scientific Report of EFSA Prepared by the Animal Health and Animal Welfare Unit on the Effects of Farming Systems on Dairy Cow Welfare and Disease. Annex to the EFSA Journal. 2009; 1143:1-38. Available at: https://clck.ru/UJbzm (accessed 01.03.2021). (In Eng.)
- Polsky L., Keyserlingk M.A.G. Invited Review: Effects of Heat Stress on Dairy Cattle Welfare.Journal of Dairy Science. 2017; 100(11):8645-8657. (In Eng.) DOI: https://doi.org/10.3168/jds.2017-12651
- Bohmanova J., Misztal I., Cole J.B. Temperature-Humidity Indices as Indicators of Milk Production Losses Due to Heat Stress. Journal of Dairy Science. 2007; 90(4):1947-1956. (In Eng.) DOI: https://doi.org/10.3168/jds.2006-513
- Schüller L.K., Burfeind O., Heuwiese W. Effect of Short- and Long-Term Heat Stress on the Conception Risk of Dairy Cows under Natural Service and Artificial Insemination Breeding Programs.Journal of Dairy Science. 2016; 99(4):2996-3002. (In Eng.) DOI: https://doi.org/10.3168/jds.2015-10080
- Wang X., Gao H., Gebremedhin K.G., et al. A Predictive Model of Equivalent Temperature Index for Dairy Cattle (ETIC). Journal of Thermal Biology. 2018; 76:165-170. (In Eng.) DOI: https://doi.org/10.1016/j.jtherbio.2018.07.013
- Hempel S., Menz C., Pinto S., et al. Heat Stress Risk in European Dairy Cattle Husbandry under Different Climate Change Scenarios – Uncertainties and Potential Impacts. Earth Syst. Dynam. Discuss.2019. (In Eng.) DOI: https://doi.org/10.5194/esd-2019-15
- Martynova E.N., Yastrebova E.A. Zone of Placement of Animals in the Building – Influence Factor on the Milk Productivity. Sovremennye problemy nauki i obrazovaniya = Modern Problems of Science and Education. 2013; (3). Available at: https://www.science-education.ru/pdf/2013/3/290.pdf (дата обращения: 01.03.2021). (accessed 01.03.2021). (In Russ., abstract in Eng.)
- Fedorenko I.Ya., Kapustin N.I., Kapustin V.N., Byrdin I.N. [Mathematical Modelling of Free (Natural) Convection in Large Capacity Animal Houses]. Vestnik Altayskogo gosudarstvennogo agrarnogo universitet = Bulletin of the Altai State Agrarian University. 2010; (11):66-70. Available at: https://clck.ru/UPiLR (accessed 01.03.2021). (In Russ., abstract in Eng.)
- Ji B., Banhazi T., Ghahramani A., et al. Modelling of Heat Stress in a Robotic Dairy Farm. Part 2: Identifying the Specific Thresholds with Production Factors. Biosystems Engineering. 2019; 199:43-57.(In Eng.) DOI: https://doi.org/10.1016/j.biosystemseng.2019.11.005
- Teles Junior C.G.S., Gates R.S., Barbari M., et al. A Software to Estimate Heat Stress Impact on Dairy Cattle Productive Performance. Agronomy Research. 2019; 17(3):872-878. (In Eng.) DOI: https://doi.org/10.15159/ar.19.110
- Teye F., Gröhn H., Pastell M., et al. Microclimate and Gas Emissions in Cold Uninsulated Dairy Buildings. In: Proceedings of ASAE Annual Meeting. Michigan: American Society of Agricultural and Biological Engineers; 2006. (In Eng.) DOI: https://doi.org/10.13031/2013.20936
- Papez J., Kic P. Heating and Ventilation in Milking Parlours. Agronomy Research. 2015;13(1):245-252. Available at: https://www.researchgate.net/publication/281735325_Heating_and_ventilation_in_milking_parlours (accessed 01.03.2021). (In Eng.)
- Kic P. Effect of Construction Shape and Materials on Indoor Microclimatic Conditions inside the Cowsheds in Dairy Farms. Agronomy Research. 2017; 15(2):426-434. Available at: https://www.researchgate.net/publication/317744473_Effect_of_construction_shape_and_materials_on_indoor_microclimatic_conditions_inside_the_cowsheds_in_dairy_farms (accessed 01.03.2021).(In Eng.)
- Vtoryi V., Vtoryi S., Ylyin R. Investigations of Temperature and Humidity Conditions in Barn in Winter. In: Proceedings of 17th International Scientific Conference “Engineering for Rural Development”,23–25 May 2018, Jelgava. Jelgava; 2018. Pp. 265-269. (In Eng.) DOI: https://doi.org/10.22616/ERDev2018.17.N300
- Ilin R.M. [Graphical Models of the Temperature and Humidity Conditions of a Livestock Building]. Izvestiya Sankt-Peterburgskogo gosudarstvennogo agrarnogo universiteta = St. Petersburg State Agrarian University Bulletin. 2019; (3):173-178. Available at: https://clck.ru/UQrpQ (accessed 01.03.2021). (In Russ.)
- Karpenko A.V., Petrova I.Yu. Model of Control Indoor Climate. Fundamentalnye issledovaniya =Fundamental Research. 2016; (7):224-229. Available at: http://www.fundamental-research.ru/ru/article/26. Damasceno F.A., Oliveira C.E.A., Ferraz G.A.S., et al. Spatial Distribution of Thermal Variables,Acoustics and Lighting in Compost Dairy Barn with Climate Control System. Agronomy Research. 2019;17(2):385-395. (In Eng.) DOI: https://doi.org/10.15159/ar.19.115
Supplementary files



























