Micro-bending effect on the field and energy of weakly guiding optical fiber with a gradient profile in single-mode regime
- Authors: Gladkikh V.A.1, Vlasenko V.D.1
-
Affiliations:
- Computer Center of the Far Eastern Branch of the Russian Academy of Sciences
- Issue: Vol 34, No 3 (2024)
- Pages: 495-515
- Section: Optics
- Submitted: 03.07.2024
- Accepted: 08.07.2024
- Published: 24.09.2024
- URL: https://journals.rcsi.science/2658-4123/article/view/258537
- DOI: https://doi.org/10.15507/2658-4123.034.202403.495-515
- ID: 258537
Cite item
Full Text
Abstract
Introduction. Optical fibers are widely used for high-bandwidth transmitting communication signals over long distances. The key feature enabling this performance is signal low attenuation, that is signals experience minimal power loss propagating along the optical fiber. One of the factors influencing power loss during information transmission is the fiber bending. Bending can increase the signal transmission power loss of an optical fiber because of both macrobending and microbending. Studying the dependence of signal power losses when bending on waveguide parameters makes it possible to control the signal power losses of an optical fiber during information transmission.
Aim of the Study. The study ia aimed at evaluating the effect of microbending on the field and energy of a weakly guiding optical fiber with a gradient refractive index profile in a single-mode regime.
Materials and Methods. From the equations for the fields of straight and curved sections of weakly guiding fiber for an arbitrary gradient profile of the refractive index with the help of the subsequent solution of inhomogeneous Helmholtz equations by the Green’s function method, there were obtained expressions for relative energy: the ratio of the field energy of the fiber curved section to the field energy of the fiber straight section (in the first approximation for a single-mode regime).
Results. The obtained expression for the relative energy depends on two parameters: the waveguide parameter and the ratio of the optical fiber radius to the radius of curvature. For the quadratic case of a power-law profile, as the closest to the actually used one, numerical calculations were used to construct the dependences of the relative energy on the parameter characterizing the bending for different values of the waveguide
parameter.
Discussion and Conclusion. It has been shown that in the case of microbending, the longer the wavelength or the smaller the fiber radius, the lower the losses. The results obtained can be used in calculating optical fiber profiles designed to operate in a bent state and eliminate expensive experimental modeling of light guides and in designing waveguides to solve specific applications, in particular, to increase energy efficiency, reliability and performance of the measuring instruments.
Full Text
Введение. При изгибе оптического волокна появляются дополнительные потери энергии, быстро растущие после достижения определенного критического радиуса изгиба. Этот критический радиус может быть очень мал (всего несколько мм) у волокон с высокой числовой апертурой, тогда как допустимый радиус изгиба гораздо больше (часто десятки см) для волокон в одномодовом режиме с большой площадью поперечной моды.
Даже при отсутствии макроскопических изгибов волокна могут быть потери, вызванные микроизгибами, то есть микроскопическими неровностями (нарушениями структуры) в волокне.
Замечено, что изгибы являются также причиной уменьшения эффективной площади поперечной моды. Это особенно заметно у волокон со ступенчатым профилем, которые имеют большую площадь поперечной моды. Также изгибы вызывает двойное лучепреломление.
Нарушение требования минимального радиуса изгиба может привести к ухудшению рабочих свойств кабеля. Радиус изгиба оптического кабеля оказывает влияние на радиус изгиба оптического волокна, находящегося непосредственно внутри кабеля. При соблюдении минимального радиуса изгиба оптического волокна не нарушается принцип передачи оптического сигнала: эффект полного внутреннего отражения сохраняется, сигнал без лишнего затухания передается по оптическим волокнам. Когда минимальный радиус изгиба оптического волокна не соблюдается, на месте изгиба возникает макроизгиб, при котором свет выходит за пределы сердцевины волокна и затухает. Излишнее затухание в линии недопустимо, поэтому соблюдение минимально допустимого радиуса изгиба кабеля является обязательным условием при эксплуатации волоконно-оптической линии связи.
Целью работы является исследование зависимости энергии внутри волокна от радиуса изгиба слабонаправляющего оптоволокна с градиентным профилем показателя преломления в одномодовом режиме с различными значениями волноводного параметра при малых изгибах.
Обзор литературы. В классических монографиях А. Снайдера, Дж. Лава 1 и Х. Г. Унгера 2 представлена обширная информация о различных видах волноводов с кратким описанием как экспериментальных и теоретических результатов с большим количеством примеров, так и различных математических методов. Однако прошло немало времени с момента издания этих трудов. Исследование данной тематики значительно продвинулось. Отметим кратко некоторые направления.
В монографии K. Okamoto 3 доказано, что искривление одномодового оптического волокна приводит к двум основным формам дополнительных потерь при передаче: переходные потери и чистые потери на изгибе. Переходные потери и связанное с ними лучевое излучение, которое наблюдается в начале изгиба, могут быть объяснены с помощью модифицированной теории связанных мод [1]. Проблема потерь в волоконных световодах на изгибах малого радиуса возникла с их появлением. Одним из методов теоретического решения этой проблемы является метод конформного отображения изогнутого световода в прямолинейный с перекошенным профилем показателя преломления [2–4].
В работах [5; 6] предложен механизм полезный для настройки профиля поля в одномодовых оптических волокнах, предполагающий локальный и постоянный изгиб волокна с радиусом изгиба в несколько сотен мкм. В публикациях [7–9] представлен новый подход к разработке оптических волокон с градиентным профилем. В статье [10] рассмотрен круглый в поперечном сечении регулярный слабопроводящий волоконный световод с двойной оболочкой. Для одномодового режима такого волновода получено выражение, которое может дать оценку части мощности поля моды, проникающей во внешнюю сплошную оболочку, в стандартном подходе и в Гауссовой модели.
Новый и простой подход к разработке двумерного датчика смещения, основанный на потерях в макроизгибе и эффекте связи оптической мощности, представлен в работах [11–13]. В статье [14] рассмотрена проблема улучшения технических характеристик волоконно-оптических измерительных преобразователей, определяемых механической надежностью изогнутого оптического волокна. Установлена зависимость интенсивности светового потока от изменения радиуса изгиба оптического волокна. В статье [15] для степенного профиля с произвольным показателем степени в первом приближении методом функции Грина получено выражение для поля внутри градиентного волокна в одномодовом режиме.
Подходы к разработке оптических волокон и потери на изгибах исследованы в работах [16–18]. В статье [19] рассмотрен математический аппарат, позволяющий сформировать критерии качественной и количественной оценки несанкционированного доступа к построенным волоконно-оптическим линиям связи (ВОЛС) на основе определения показателей эффективности отвода оптического излучения из волоконных световодов. Один из простейших и очевидных методов «съема» информации можно осуществить путем отведения мощности оптического излучения из ВОЛС за счет макроизгиба его волоконных световодов.
В работе [20] численно и экспериментально исследовано расщепление линий резонатора Фабри-Перо, образованного участком стандартного изогнутого одномодового волоконного световода с металлизированными торцами. Публикация [21] посвящена характеристике профиля пучка, выходящего из оптического волокна с двойной оболочкой и имеющего разную геометрию сечения. В работе [22] рассмотрен слабонаправляющий градиентный световод в одномодовом режиме, решено уравнение для электрического поля в сердцевине световода в общем виде в первом приближении.
Волоконная брэгговская решетка представляет собой широко используемую чувствительную структуру оптического волокна. В работе [23] представлена простая структура, состоящая из обычного одномодового волокна и секции многомодового волокна с волоконной брэгговской решеткой. Она может одновременно осуществлять двухпараметрическое измерение микроизгиба и температуры. Различные аспекты оптических потерь на изгибах световодов подробно описаны в работах [24–26]. В публикациях [27–29] рассмотрен новый подход к моделированию оптического волокна. В обзоре [30] представлены результаты системного анализа существующих рекомендаций по волоконным световодам. Проведена систематизация физических параметров и эксплуатационных характеристик стандартизированных волоконных световодов.
Обеспечение малых потерь на границе соединения волокна с полой сердцевиной и традиционного волокна с твердой сердцевиной имеет большое значение для многих практических применений волокон с твердой сердцевиной. В работе [31] с помощью моста в виде волокна с градиентом показателя преломления исследуется высокотемпературное соединение оптических волокон двух типов – антирезонансного волокна с полой сердцевиной и волокна с твердой сердцевиной, обеспечивающих малые потери при прохождении лазерного излучения.
Пучки или жгуты оптических волокон находят все больше применений в различных областях волоконной оптики, несмотря на сравнительно низкое разрешение подобных устройств. Одним из способов решения указанной проблемы является использование материалов с высоким показателем преломления, что позволит добиться сильной локализации мод излучения в волокне. В обзоре [32] представлен способ применения для этих целей сапфировых волокон с высоким показателем преломления n > 3.
Волоконная оптика как научное направление начала активно развиваться с момента разработки технологии волоконных световодов. Научный интерес к изгибу оптововолокна возник практически вместе с появлением самих световодов. Изгиб оптического волокна является важным инструментом научных исследований в лазерной физике, оптической связи, технике обработки информации, оптических вычислительных машинах, оптических датчиках различных физических величин и т. д. Основываясь на анализе рассмотренных публикаций, делаем вывод, что большинство вопросов, связанных с изгибами оптического волокна, изучены недостаточно полно и требуют дополнительных исследований и экспериментов.
Материалы и методы. Пусть – электрическое поле прямого поляризованного участка по оси х слабонаправляющего световода с постоянной распространения основной моды β:
(1)
Здесь ось z направлена вдоль оси световода; (x; y) – координаты поперечного сечения; ω – циклическая частота; – единичный вектор вдоль оси x; Astr(r) – координатная часть электрического поля прямолинейного участка световода, где .
Согласно уравнениям Максвелла для диэлектрических прозрачных сред, Astr(r) удовлетворяет дифференциальному уравнению в декартовых координатах:
, (2)
где k = ω/c; с – скорость света; n2(r) – показатель преломления волоконного световода, который обычно записывается в виде:
(3)
Здесь Δ – высота профиля; NA – числовая апертура; V – волноводный параметр; h(r) – функция, принимающая значения от 0 до 1 при изменении r от 0 до ρ.
С учетом (3) запишем уравнение (2) в виде:
(4)
где 0 ≤ r ≤ ρ.
Рассмотрим однородное уравнение, соответствующее уравнению (4), и перейдем к полярным координатам, для основной моды получим:
где J0(χ1r) – функция Бесселя нулевого порядка. Таким образом, общее решение уравнения (4) для прямого участка световода можно записать в виде:
(5)
где Astr(r) – частное решение неоднородного уравнения (4).
В случае изогнутого участка световода пусть θ – угловая координата по изгибу, отчитываемая от оси x; Rc – радиус кривизны с центром в точке C вне волновода, постоянный относительно оси изгиба; z – расстояние вдоль изогнутого участка (рис. 1). Пунктирная линия – ось волновода, ось y направлена перпендикулярно плоскости рисунка.
Рис. 1. Схематическое изображение волоконного световода с профилем показателя преломления n(r), изогнутого в виде дуги с постоянным радиусом Rc и угловой координатой по изгибу θ (пунктирная линия проходит по оси световода)
Fig. 1. Schematic representation of a fiber-optic light guide with a refractive index profile n(r), bent in the form of an arc with a constant radius Rс and angular coordinate along the bend θ (the dotted line runs along the axis of the fiber-optic light guide)
Источник: составлено автором.
Source: the diagram was drawn up by the authors of the article.
На изгибе поле должно иметь угловую зависимость вида exp(iκθ), где κ – пунктирная постоянная, подлежащая определению. Установим локальную постоянную распространения соотношением:
(6)
Вводя полярные координаты в поперечном сечении, согласно рисунку 1 и учитывая соотношение (6), запишем:
(7)
Поскольку на оси световода (r = 0) в начале изгиба должно быть , то для постоянной κ находим κ = βRc и из предыдущего соотношения получаем:
Для слабонаправляющего световода:
(8)
Таким образом, заменяя изогнутый участок на эквивалентный прямой с заменой β на локальную постоянную распространения , аналогично (1) запишем:
,
где Acurv(r) – координатная часть электрического поля изогнутого участка световода.
Для Acurv(r) аналогично (4) и с учетом (9) получим:
(9)
где
Аналогично (5) общее решение уравнения (9) для изогнутого участка световода можно записать в виде:
(10)
где Acurv(r) – частное решение неоднородного уравнения (9).
Результаты исследования. Частные решения неоднородных уравнений типа (4) и (7) проще искать методом Грина [33]:
(11)
где – функция Ханкеля первого рода нулевого порядка от аргумента x. Переходя к полярным координатам и воспользовавшись частным случаем «теоремы сложения» для цилиндрических функций 4:
,
с помощью формул для уравнений (4) и (9) соответственно, запишем решения в виде:
(12)
и
(13)
где – функция Ханкеля первого рода k-го порядка; Jk(x) – функция Бесселя k-го порядка.
Согласно выражениям (12–13) для (5) и (10) в первом приближении запишем для общих решений:
(14)
и
В уравнении (5) и аналогичным с ним образом в выражении (10) .
Согласно данным технического руководства, для оптоволокон 2Δ ∈ (0,006; 0,060), поэтому для простоты расчетов из этого интервала выберем 2Δ ≈ 0,010 → Δ ≈ 0,005. Таким образом, формула принимает вид:
Поскольку функция Ханкеля первого рода порядка k имеет вид , где – соответственно функция Бесселя и функция Неймана порядка k, перепишем выражения (12‒13) в следующем виде для удобства дальнейших расчетов:
(15)
и
(16)
Учитывая выражения (15‒16), определим величину q (отношение энергии Wcurv изогнутого участка волокна к энергии Wstr прямого участка волокна):
(17)
где
(18)
и
(19)
Используем известные формулы из теории цилиндрических функций 5:
(20)
Здесь – любая цилиндрическая функция порядка p от аргумента x; С – постоянная Эйлера, ; p – целое число.
Запишем также легко вычисляемые интегралы (рассматриваемые как интегралы от параметра δ; Ф(х) – интеграл вероятностей ошибок):
(21)
Как известно, в одномодовом режиме работы волновода со ступенчатым профилем вместо функции Бесселя можно применять функцию Гаусса (r0 – радиус модового пятна) [34].
(22)
Распространяя формулу (22) на случай рассматриваемого градиентного профиля и комбинируя формулы (20–22), для интегралов (19) и для функций и из (14) и (16) получим:
Так как использовали формулы (22) для упрощения вычислений в рассматриваемом одномодовом режиме, то считаем, что при двух описаниях поток энергии через поперечное сечение одинаков:
.
С другой стороны, для левой части этого соотношения, согласно (15) и (18):
Сравнивая правые части, находим (подробней в работе [15]):
Используя формулы (14), (17‒18), для (13) получаем :
, (23)
где
(24)
Таким образом, полученные формулы (23‒24) описывают изменение энергии в волокне при малых изгибах для произвольного градиентного профиля в первом приближении.
Чтобы представить результат наглядно, необходимо знание конкретного профиля, описываемого функцией h(γ), входящей в величину Θ(α). Поскольку квадратичный профиль наиболее приближен к реально используемым градиентным профилям, то в качестве примера численные расчеты произведем именно для такого профиля, соответствующего функции h(γ)=γ2 (формулы (3), (10)). В этом случае для Θ(α) из (20) получаем:
(25)
Остался вопрос с выбором значений параметра . Исходим из того, что для оптоволоконного кабеля, согласно техническому руководству, существует общепринятое соотношение между диаметром кабеля Dcable и минимальным радиусом кривизны Rc(min). С другой стороны, для одномодовых волокон, также согласно техническому руководству, существует соотношение между Dcable и диаметром волокна d = 2p. Из этих соотношений находим:
(26)
На этом основании выберем для β значения:
. (27)
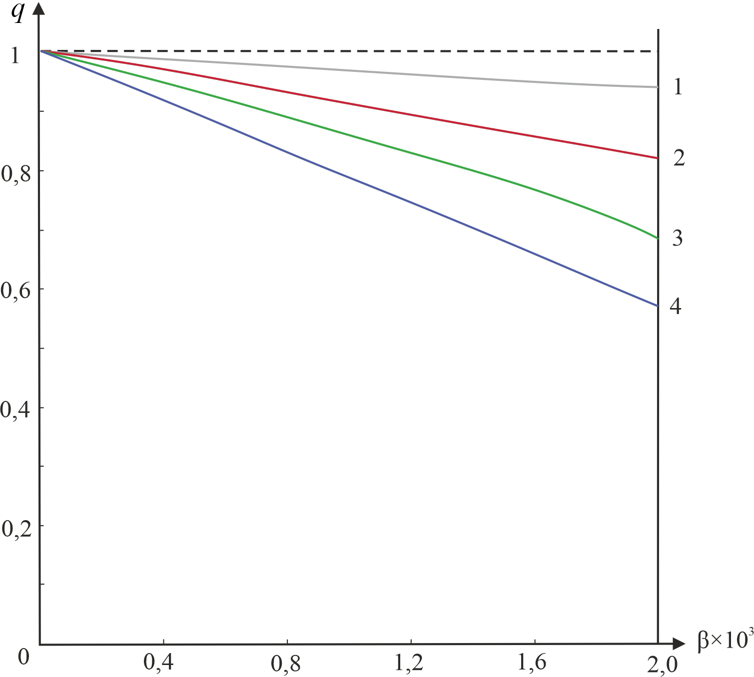
С использованием формул (23–27) проведены вычисления. Они приводят к зависимости относительной энергии q от параметра β = ρ/Rc для различных значений волноводного параметра V при высоте профиля Δ ≈ 0,005 (рис. 2).
Рис. 2. Зависимость отношения q от параметра β для различных значений волноводного параметра V: (кривая 1 – V1 = 0,5; кривая 2 – V2 = 0,9; кривая 3 – V3 = 1,3; кривая 4 – V4 = 1,7)
Fig. 2. Dependence of the ratio q on the parameter β for different values of the waveguide parameter V: (curve 1 – V1 = 0.5; curve 2 – V2 = 0.9; curve 3 – V3 = 1.3; curve 4 – V4 = 1.7)
Источник: составлено автором.
Source: the diagram was drawn up by the authors of the article.
На рисунке 2 показана зависимость отношения q от параметра β для различных значений волноводного параметра V: (кривая 1 – V1 = 0,5; кривая 2 – V2 = 0,9; кривая 3 – V3 = 1,3; кривая 4 – V4 = 1,7).
Обсуждение и заключение. В первом приближении для квадратичного профиля построены зависимости относительной энергии q от параметра β при различных значениях волноводного параметра V. Энергия q убывает с увеличением β при этом тем быстрее, чем больше V. Предложенный метод исследования влияния микроизгибов на передаваемую энергию – замена изогнутого участка на эквивалентный прямолинейный – позволяет в конечном итоге анализировать энергетические потери в зависимости от радиуса изгиба не только для рассмотренного квадратичного, но и для любого градиентного профиля в первом приближении методом функции Грина, что может быть использовано как при конструировании волноводов с заранее заданными свойствами, так и в различных технических приложениях (волоконно-оптические датчики в технике и медицине, проблема безопасности передачи данных и т. д.).
1 Снайдер А., Лав Дж. Теория оптических волноводов / пер. с англ. под ред. Е. М. Дианова, В. В. Шевченко. М. : Радио и связь, 1987. 656 с.
2 Унгер Х. Г. Планарные и волоконные оптические волноводы / пер. с англ. под ред. В. В. Шевченко. М.: Мир, 1980. 656 с.
3 Okamoto K. Fundamentals of Optical Waveguides. Elsevier Inc, 2006. 561 p. https://doi.org/10.1016/B978-0-12-525096-2.X5000-4
4 Градштейн И. С., Рыжик И. М. Таблицы интегралов, сумм, рядов и произведений. СПб. : БХВ-Петербург, 2011. 1232 с.
5 Градштейн И. С., Рыжик И. М. Таблицы интегралов, сумм, рядов и произведений.
About the authors
Vyacheslav A. Gladkikh
Computer Center of the Far Eastern Branch of the Russian Academy of Sciences
Email: gladkih@as.khb.ru
ORCID iD: 0000-0002-3922-9609
ResearcherId: GLU-2712-2022
Cand.Sc. (Phys.-Math.), Senior Researcher
Russian Federation, 65 Kim Yu Chen St., Khabarovsk 680000Victor D. Vlasenko
Computer Center of the Far Eastern Branch of the Russian Academy of Sciences
Author for correspondence.
Email: vlasenko@as.khb.ru
ORCID iD: 0000-0001-7782-4532
ResearcherId: E-2432-2019
Cand.Sc. (Phys.-Math.), Scientific Secretary
Russian Federation, 5 Kim Yu Chen St., Khabarovsk 680000References
- Gambling W.A., Matsumura H., Ragdale C.M. Curvature and Microbending Losses in Single-Mode Optical Fibres. Optical and Quantum Electronics. 1979;11:43–59. https://doi.org/10.1007/BF00624057
- Aksenov V.A., Voloshin V.V., Vorobyev I.L., Ivanov G.A., Isaev V.A., Kolosovskii A.O., et al. [Losses in Single-Mode Optical Fibers Occurring in Isolated Bends of Small Radius: Rectangular Profile of Refractive Index]. Journal of Communications Technology and Electronics. 2004;49(6):734–742. (In Russ.) EDN: OWHJWF
- Wang Q., Farrell G., Freir T. Theoretical and Experimental Investigations of Macro-Bend Losses for Standard Single Mode Fibers. Optics express. 2005;13(12):4476–4484. Available at: https://opg.optica.org/oe/fulltext.cfm?uri=oe-13-12-4476&id=84325 (accessed 17.11.2023).
- Wen-Ming C., Shyh-Lin T. Performance Enhancement on Mechanical and Electrical Effects for On-line Fiber-Optic Bending Loss Measurement. Optik. 2005;116(5):201–210. https://doi.org/10.1016/j.ijleo.2005.01.013
- Wang Z., Jiang M., Xu H., Du R. New Optical Fiber Micro-Bend Pressure Sensors Based on Fiber-Loop Ringdown. Procedia Engineering. 2012;29:4234–4238. https://doi.org/10.1016/j.proeng.2012.01.649
- Iadicicco A., Paladino D., Moccia M., Quero G., Campopiano S., Bock W.J., et al. Mode Coupling and Field Distribution in Sub-mm Permanently Bent Single Mode Optical Fibers. Optics & Laser Technology. 2013;47:292–304. https://doi.org/10.1016/j.optlastec.2012.08.012
- Buczyński R., Klimczak M., Stefaniuk T., Kasztelanic R., Siwicki B., Stępniewski G., et al. Optical Fibers with Gradient Index Nanostructured Core. Optics Express. 2015; 23(20):25588–25596. https://doi.org/10.1364/OE.23.025588
- Mukhtar W.M., Marzuki N.A., Rashid A.R. Manipulating Microbending Losses in Single Mode Optical Fiber for Pressure Sensing. Journal of Advanced Research in Applied Sciences and Engineering Technology. 2017;9(1):14–21. Available at: https://www.akademiabaru.com/doc/ARASETV9_N1_P14_21.pdf (accessed 15.11.2023).
- Tong Y., Chen S., Tian H. A Bend-Resistant Low Bending Loss and Large Mode Area Two-Layer Core Single-Mode Fiber with Gradient Refractive Index Ring and Multi-Trench. Optical Fiber Technology. 2018;45:235–243. https://doi.org/10.1016/j.yofte.2018.07.010
- Gladkikh V.A. Calculation of the Power of the Fied, Peneting into the External Environment of the Weaknessing Guide of a Single-Mode Fiber. Computer Optics. 2019;43(4):557–561. (In Russ., abstract in Eng.) https://doi.org/10.18287/2412-6179-2019-43-4-557-561
- Ghaffar A., Hou Y.-L., Liu W.-Y., Dharejo F.A., Zhang H-X., Jia P., et al. Two-Dimensional Displacement Optical Fiber Sensor Based on Macro-Bending Effect. Optics & Laser Technology. 2019;120:105688. https://doi.org/10.1016/j.optlastec.2019.105688
- Mosunova I.D., Seleznev D.A., Remennikova M.V. Research of the Spectral Transmittance of Optical Fibers at Small Bends. Applied Photonics. 2019;6(1–2):17–23. (In Russ., abstract in Eng.) EDN: KYIJVJ
- Meng L., Wang L., Xiong H., Wang H., Guo X. An Investigation in the Influence of Helical Structure on Bend Loss of Pavement Optical Fiber Sensor. Optik. 2019;183:189–199. https://doi.org/10.1016/j.ijleo.2019.02.102
- Polyakova E.A., Badeeva E.A., Murashkina T.I., Badeeva A.V., Slavkin I.E. Influence of Optical Fiber Bends on Metrological and Operational Characteristics of Fiber-Optic Measuring Transducers. Models, Systems, Networks in Economics, Technology, Nature and Society. 2020;1(33):126–135. (In Russ., abstract in Eng.) https://doi.org/10.21685/2227-8486-2020-1-10
- Gladkikh V.A., Vlasenko V.D. Investigation of the Dependence of the Field Energy in a Low Conductive Fiber Optic with a Gradient Profile of the Refractive Index. Optik. 2021;245:167735. https://doi.org/10.1016/j.ijleo.2021.167735
- Zheng Y., Yu J., Zhu Z.-W., Zeng B., Yang C. Design, Sensing Principle and Testing of a Novel Fiber Optic Displacement Sensor Based on Linear Macro-Bending Loss. Optik. 2021;242:167194. https://doi.org/10.1016/j.ijleo.2021.167194
- Khisamov D.V., Smirnova A.N., Azanova I.S. Influence of the Bend Radiusfor PANDA PM Specialty optical Fibers Reliability. Bulletin of Perm University. Physics. 2021;(4):52–57. (In Russ., abstract in Eng.) Available at: https://clck.ru/3CFDWe (accessed 17.11.2023).
- Zhu P., Liu P., Wang Z., Peng C., Zhang N., Soto M.A. Evaluating and Minimizing Induced Microbending Losses in Optical Fiber Sensors Embedded Into Glass-Fiber Composites. Journal of Lightwave Technology. 2021;39(2):7315–7325. https://doi.org/10.1109/JLT.2021.3112484
- Denisov I.V., Sedov V.A., Sedova N.A., Lisovskiy N.V., Kiper A.V. [Calculation of the Parameters of Macrobending Optical Output From Optical Fibers]. Radio Engineering. 2021;85(2):18−26. (In Russ.) Available at: https://radiotec.ru/ru/journal/Radioengineering/number/2021-2/article/19457 (accessed 15.11.2023).
- Dyshlyuk A.V., Eryusheva U.A., Vitirk O.B. Splitting of Resonances in a Curved Optical Fiber-Based Fabry-Perot Resonator. Computer Optics. 2021;45(1):38–44. (In Russ, abstract in Eng.) Available at: https://computeroptics.ru/KO/PDF/KO45-1/450105.pdf (accessed 17.11.2023).
- Kashina R.R., Konin Yu.A., Velikotsky Yu.A., Rakhmatullina A.R., Petukhova A.Yu., Shcherbakova V.A., et al. Dependence of the Output Laser Radiation on Geometry of the Optical Fiber. Photonics. 2021;15(2):144–150. Available at: https://www.photonics.su/files/article_pdf/8/article_8768_161.pdf (accessed 17.11.2023).
- Gladkikh V.A., Vlasenko V.D. Investigation of Field and Energy in a Weakly-Conducting Optical Fiber with an Arbitrary Degree of Refractive Index Profile. Engineering Technologies and Systems. 2022;32(4):588–599. (In Russ., abstract in Eng.) EDN: LARQQM
- Sun X., Zhang L., Zeng L., Hu Y., Duan J. Micro-Bending Sensing Based on Single-Mode Fiber Spliced Multimode Fiber Bragg Grating Structure. Optics Communications. 2022;505:127513. https://doi.org/10.1016/j.optcom.2021.127513
- Liao K., Li Y., Lei M., Li X. A Liquid Level Sensor Based on Spiral Macro-Bending Plastic Optical Fiber. Optical Fiber Technology. 2022;70:102874 https://doi.org/10.1016/j.yofte.2022.102874
- Zheng Y., Zeng B., Yu J., Yang C., Li Z. Investigation of a Spring-Shaped Fiber Modulation Based on Bending Loss for Detecting Linear Displacement. Measurement. 2022;194:10976. https://doi.org/10.1016/j.measurement.2022.110976
- Ivanov D.A. Fiber Optical WDM Multiplexers/Demultiplexers with Low Bending Losses. Russian Technological Journal. 2022;10(2):7–13. (In Russ., abstract in Eng.) https://doi.org/10.32362/2500-316X-2022-10-2-7-13
- Ivanov S.A., Zakalkin P.V., Smirnov I.Yu. [Optical Fiber Modeling Based on Phase-Loop Substitution Schemes]. Journal of communications technology and electronics. 2022;67(5):500–508. (In Russ.) Available at: https://sciencejournals.ru/view-article/?j=radel&y=2022&v=67&n=5&a=RadEl2205007Ivanov (accessed 17.11.2023).
- Chen X., Huang L., Yang H., Xi X., An Y. Yan Z., et al. Large-Mode-Area Multi-Resonant All-Solid Photonic Bandgap Fiber with Low Bending Loss and Robust Single-Mode Operation. Optics & Laser Technology. 2023;157:108668. https://doi.org/10.1016/j.optlastec.2022.108668
- Funnell A.C., Thomas P.J. Design of a Flexible Weight Sensor Using Optical Fibre Macrobending. Sensors. 2023;23(2):912. https://doi.org/10.3390/s23020912
- Denisov I.V., Lisovsky N.V. The Systematization of Bending-Sensitive Fiber Light Guides. Applied Photonics. 2023;10(1):131–148. (In Russ., abstract in Eng.) Available at: https://applied.photonics.pstu.ru/_res/fs/4561file.pdf (accessed 14.11.2023).
- Zhang Z., Li R., Wang C., Zhou M., Liu Y., Pang Y. Fusion Splicing of Hollow-Core to Standard Single-Mode Fibers Using a Gradient-Index Bridge Fiber. Journal of Optical Technology. 2023;90(1):76–83. https://doi.org/10.17586/1023-5086-2023-90-01-76-83
- Melikyants D.G., Kurlov V.N., Zaytsev K.I., Katyba G.M. [Bundles of Optical Fibers with a High Refractive Index for Conducting thz Visualization with Subwavelength Resolution]. Optics and Spectroscopy. 2023;131(6):762–781. (In Russ.) Available at: https://journals.ioffe.ru/articles/viewPDF/55910 (accessed 17.11.2023).
- Vlasenko V.D., Ivanov V.I., Aulov V.F., Konevtsov L.A., Martynova E.G., Hasan I.H. Modeling the Temperature Field of a Surface in Using Electrospark Alloying of Metals. Engineering Technologies and Systems. 2019;29(2):218–233. (In Russ., abstract in Eng.) https://doi.org/10.15507/2658-4123.029.201902.218-233
- Treshchikov V.N., Listvin V.N. [DWDM-systems]. Photon Express. 2012;(7):30–32. (In Russ.) EDN: PIBPEO
Supplementary files






















