Dynamics of entangled Greenberger — Horne — Zeilinger states in three qubits thermal Tavis — Cummings model
- Authors: Bagrov A.R.1, Bashkirov E.K.1
-
Affiliations:
- Samara National Research University
- Issue: Vol 30, No 1 (2024)
- Pages: 82-95
- Section: Physics
- URL: https://journals.rcsi.science/2541-7525/article/view/310440
- DOI: https://doi.org/10.18287/2541-7525-2024-30-1-82-95
- ID: 310440
Cite item
Full Text
Abstract
In this paper, we investigated the dynamics of systems of two and three identical qubits interacting resonantly with a selected mode of a thermal field of a lossless resonator. We found solutions of the quantum time-dependent Liouville equation for various three- and two-qubit entangled states of qubits. Based on these solutions, we calculated the criterion of the qubit entanglement — fidelity. The results of numerical calculations of the fidelity showed that increasing the average number of photons in a mode leads to a decrease in the maximum degree of entanglement. It is shown that the two-qubit entangled state is more stable with respect to external noise than the three-qubit entangled Greenberger — Horne — Zeilinger states (GHZ). Moreover, a genuine entangled GHZ-state is more stable to noise than a GHZ-like entangled state.
Full Text
Введение
Перепутанные состояния в настоящее время являются основным ресурсом физики квантовых вычислений, квантовых коммуникаций и квантовой криптографии, квантовой метрологии и т. д. [1–10]. Используя различные классы перепутанных состояний, можно ускорить вычисления, обеспечить безопасность коммуникаций и преодолеть стандартные квантовые пределы при измерениях. Для многокубитных систем существуют несколько неэквивалентных классов перепутанных состояний [11–13]. В частности, для простейшего случая трехкубитной системы существуют всего два подлинно перепутанных состояния [14–19]. К последним относятся перепутанные состояния Гринбергера — Хорна — Цайлингера (GHZ-состояния) и перепутанные состояния Вернера (W-состояния). Среди всех классов перепутанных состояний GHZ-состояния являются одними из наиболее востребованных состояний для целей квантовой информатики и квантовой метрологии [20–23]. В последние годы многочастичные GHZ-состояния были реализованы для различных физических систем кубитов: ионов в ловушках [24–26], ридберговских атомов [67], фотонов [28–30], сверхпроводящих кубитов [31–33]. Указанные работы открыли новые возможности в развитии масштабируемых квантовых компьютеров, квантовой метрологии и квантовой связи. В работах [22; 23] осуществлено перепутывание до 20 кубитов с точностью (степенью совпадения) выше 0,5. Точность и технические сложности в реализации перепутанных состояний кубитов растут экспоненциально с увеличением числа кубитов. Сложности теоретического анализа динамики GHZ-состояний также существенно возрастают с увеличением числа кубитов в системе. Поэтому при теоретическом рассмотрении таких состояний особое внимание уделяется анализу трехкубитных систем (см. ссылки в [74]). Для генерации, управления, контроля и измерения состояний систем кубитов используют электромагнитные поля резонаторов. При этом резонаторы функционируют при конечных температурах от мК для систем сверхпроводящих кубитов до комнатных в случае примесных спинов. Это означает, что кубиты взаимодействуют с тепловыми полями резонаторов. Такое взаимодействие приводит к осцилляциям Раби параметров перепутывания кубитов и, соответственно, к уменьшению степени их начального перепутывания. Еще одним эффектом, приводящим к ошибкам при измерении состояний кубитов, является мгновенная смерть перепутывания [75]. Указанный эффект экспериментально наблюдался для кубитов различной физической природы [36–38]. Поэтому представляет значительный интерес изучение методов, предотвращающих эффект мгновенной смерти перепутывания кубитов, вызванной взаимодействием с тепловыми полями резонаторов. Изучение указанного эффекта для кубитов, взаимодействующих с тепловыми шумами резонаторов, особенно важно в связи с тем, что в резонаторах всех квантовых устройств обязательно присутствуют тепловые фотоны.
В нашей работе [79] мы детально исследовали динамику перепутывания в системе трех кубитов, резонансно взаимодействующих с модой теплового квантового электромагнитного поля в идеальном резонаторе, для сепарабельных, бисепарабельных и истинно перепутанных состояний W-типа. При этом было показано, что эффект мгновенной смерти перепутывания имеет место для любых интенсивностей теплового поля резонатора. Представляет большой интерес изучить динамику трехкубитной модели в резонаторе для истинно перепутанного состояния кубитов GHZ-типа.
В настоящей статье мы исследовали динамику системы, состоящей из трех идентичных кубитов, резонансно взаимодействующих с модой теплового квантового электромагнитного поля идеального резонатора посредством однофотонных переходов, для перепутанных состояний кубитов GHZ-типа. При этом в качестве количественной меры перепутывания подсистемы кубитов использовались не отрицательности пар кубитов, а cтепень совпадения (fidelity) состояния подсистемы кубитов в произвольный момент времени и начального GHZ-состояния.
1. Модель и решение временного уравнения Шредингера
Рассмотрим систему трех идентичных кубитов , резонансно взаимодействующих с модой квантового электромагнитного поля идеального резонатора. Гамильтониан взаимодействия такой модели в дипольном приближении и приближении вращающейся волны можно представить в виде
(1)
где и — повышающий и понижающий операторы в -м кубите, – основное и — возбужденное состояние -го кубита (), и — операторы рождения и уничтожения фотонов резонаторной моды и — параметр кубит-фотонного взаимодействия.
Будем полагать, что в начальный момент времени кубиты приготовлены в истинно перепутанном состоянии -типа
(2)
или -подобном состоянии вида
(3)
где и — параметры, определяющие степень начального перепутывания кубитов. Начальные состояния кубитов вида (2) и (3) в резонаторах можно получить с помощью импульсов электромагнитного поля определенной длительностью.
В качестве начального состояния поля выберем одномодовое тепловое состояние с матрицей плотности вида
(4)
Здесь весовые функции в формуле (4) имеют вид
где — среднее число тепловых фотонов, определяемое формулой Бозе–Эйнштейна
здесь — постоянная Больцмана и — температура микроволнового резонатора.
Поставим перед собой задачу найти динамику рассматриваемой модели для начального состояния кубитов (2) и (3) и теплового поля резонатора (4). В качестве первого шага для решения поставленной задачи рассмотрим решение уравнения эволюции в случае фоковского начального состояния электромагнитного поля резонатора, а затем обобщим полученные результаты для теплового состояния поля резонатора (4).
В случае чистого фоковского состояния начальную волновую функцию поля резонатора выберем в виде
(5)
Найдем вначале временную волновую функцию системы для фоковского начального состояния поля (5), а потом обобщим результаты на случай теплового поля резонатора. Введем для нашей системы число возбуждений , равное , где — число кубитов, приготовленных в возбужденном состоянии. Для чисел возбуждения оператор эволюции рассматриваемой системы имеет вид
(6)
где
где
При записи оператора эволюции в матричной форме мы использовали базисные векторы вида
В рассматриваемом случае волновую функцию можно найти как
(7)
В дальнейшем при обобщении результатов на случай теплового поля резонатора нам потребуются также волновые функции, соответствующие числам возбуждения . Для базис гильбертова пространства должен быть сужен до набора
Соответствующая временная волновая функция есть
(8)
где коэффициенты есть
Здесь использовано обозначение .
Для выбираем базис гильбертова пространства в виде
Соответствующая временная волновая функция есть
(9)
где коэффициенты имеют вид
Здесь использованы обозначения
Наконец, для базис гильбертова пространства состоявляет вектор . Соответствующая временная волновая функция есть
(10)
2. Расчет степени совпадения состояний кубитов
Имея явный вид для временных волновых функций системы (7)–(10), мы можем вычислить временную матрицу плотности полной системы (три кубита+мода поля) в случае теплового состояния поля
(11)
Для вычисления параметра перепутывания кубитов нам потребуется редуцированная матрица плотности трех кубитов. Ее мы можем вычислить, усредняя выражение (11) по переменным поля
(12)
При исследовании перепутывания кубитов в рассматриваемой модели для сепарабельных, бисепарабельных и истинно перепутанных состояний -типа в качестве количественного критерия перепутывания мы использовали отрицательности пар кубитов. В случае -состояний такой критерий малоинформативен, поскольку при усреднении трехкубитной матрицы плотности по переменным одного из кубитов два оставшихся кубита оказываются неперепутанными. Поэтому в настоящей работе мы в качестве количественного критерия перепутывания кубитов используем cтепень совпадения (fidelity) текущего состояния кубитов в момент времени t и их начального -состояния. В случае теплового поля резонатора состояние кубитов в произвольный момент времени является смешанным. Количественная мера степени совпадения для смешанных состояний кубитов предложена в работе [80]
(13)
В формуле (13) – начальная матрица плотности системы и – матрица плотности кубитов в момент времени . Выражение (13) достаточно сложное, однако, если одна из матриц, допустим , описывает чистое состояние (), то формула сильно упрощается:
(14)
Выбранные начальные состояния кубитов (2) и (3) являются чистыми с матрицами плотности вида .
Рассчитаем параметр степени совпадения для начального -состояния кубитов вида (2). В трехкубитном базисе
матрица плотности кубитов для начального состояния вида (2) есть
(15)
где элементы матрицы плотности задаются формулами:
Запишем матрицу конечного смешанного состояния в произвольный момент времени t для состояния (3):
(16)
Тогда, подставляя матрицы (15) и (16) в формулу (14), получаем для степени совпадения следующее выражение:
(17)
где
Трехкубитная матрица плотности в начальный момент времени для начального состояния (3) выражается формулой:
(18)
где элементы матрицы плотности задаются формулами:
Запишем матрицу конечного смешанного состояния в произвольный момент времени для начального состояния (3):
(19)
Теперь, подставляя матрицы (18) и (19) в формулу (14), получаем для степени совпадения:
(20)
где элементы матрицы плотности задаются выражениями:
Сравним поведение степени совпадения для трехкубитных GHZ и GHZ-подобных состояний с поведением аналогичной величины для двухкубитного состояния вида
(21)
Двукубитная система с начальным состоянием кубитов (21) и полем в фоковском состоянии (5) эволюцинирует следующим образом:
а) для случая начального числа фотонов в моде :
б) для случая начального числа фотонов в моде :
в) для случая начального числа фотонов в моде :
Временные коэффициенты находятся из следующих систем дифференциальных уравнений:
(22)
(23)
Решая системы дифференциальных уравнений (21) со следующими начальными условиями: и , находим аналитические выражения для временных коэффициентов , :
Для того чтобы найти временные коэффициенты , нужно учесть следующее: при числе фотонов в моде и при числе фотонов в моде .
Для системы дифференциальных уравнений (23) используем следующие начальные условия: . В итоге получаем следующие аналитические формулы для :
Двухкубитная матрица плотности в начальный момент времени для начального состояния (21) выражается формулой:
(24)
где элементы матрицы плотности задаются формулами
Запишем матрицу конечного смешанного состояния в произвольный момент времени для начального состояния (21):
(25)
Теперь подставим матрицы (24) и (25) в формулу (14) и получим для степени совпадения следующую формулу:
(26)
где элементы матрицы плотности имеют следующий вид:
3. Результаты и их обсуждение
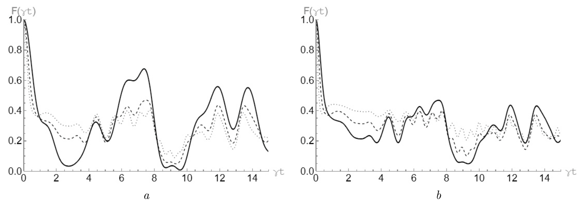
Результаты компьютерного моделирования временной зависимости степени совпадения от приведенного времени для начального истинно перепутанного -состояния (2) в случае и различных значений среднего числа фотонов представлены на рис. 1. Из рисунка хорошо видно, что взаимодействие кубитов с тепловым полем резонатора приводит к осцилляциям Раби параметра перепутывания кубитов. При этом увеличение среднего числа фотонов в моде приводит к уменьшению максимальной степени перепутывания. Это означает, что при увеличении интенсивности шума состояние трех кубитов все менее походит на начальное перепутанное GHZ-состояние и все ближе к сепарабельному состоянию. Для сравнения на рис. 2 показаны аналогичные зависимости степени совпадения для двухкубитной модели с начальным состоянием (20) в случае . Сравнение графиков показывает, что в случае двухкубитной системы тепловой шум приводит к существенно меньшему разрушению начального максимально перепутанного состояния, нежели в случае трехкубитной системы. Это говорит нам о том, что истинно перепутанное GHZ-состояние менее устойчиво по отношению к внешнему шуму, чем двухкубитное состояние вида (21). Временная зависимость степени совпадения от приведенного времени для начального -подобного перепутанного состояния (3) в случае и различных значений среднего числа фотонов представлена на рис. 3. Из рисунка видно, что, как и для двух предыдущих состояний, взаимодействие кубитов с тепловым полем резонатора приводит к осцилляциям Раби параметра перепутывания кубитов. Однако в отличие от начального истинно перепутанного GHZ-состояния в рассматриваемом случае увеличение среднего числа тепловых фотонов в моде приводит к более существенному уменьшению максимальной степени перепутывания кубитов. Таким образом, -подобное перепутанное состояние значительно менее устойчиво по отношению к разрушающему действию теплового шума.
Рис. 1: График зависимости параметра степени совпадения от приведенного времени для начального GHZ-состояния вида (2) с для различных средних чисел тепловых фотонов : (сплошная линия), (пунктирная линия), (точечная линия) ( a); (сплошная линия), (пунктирная линия), (точечная линия) ( b)
Fig. 1. Graph of the dependence of the fidelity on the reduced time for the initial GHZ state of the form (2) with for various average numbers of thermal photons : (solid line), (dashed line), (dotted line) ( a); (solid line), (dashed line), (dotted line) ( b)
Рис. 2: График зависимости параметра степени совпадения от приведенного времени для начального двухкубитного состояния вида (21) с для различных средних чисел тепловых фотонов : (сплошная линия), (пунктирная линия), (точечная линия) ( a); (сплошная линия), (пунктирная линия), (точечная линия) ( b)
Fig. 2. Graph of the dependence of the fidelity on the reduced time for the initial two-qubit state of the form (21) with for various average numbers of thermal photons : (solid line), (dotted line), (dotted line) ( a); (solid line), (dotted line), (dotted line) ( b)
Рис. 3: График зависимости параметра степени совпадения от приведенного времени для начального GHZ подобного состояния (3) с для различных средних чисел тепловых фотонов : (сплошная линия), (пунктирная линия), (точечная линия) ( a); (сплошная линия), (пунктирная линия), (точечная линия) ( b)
Fig. 3. Graph of the dependence of the fidelity on the reduced time for the initial GHZ like state (3) with for various average numbers of thermal photons : (solid line), (dotted line), (dotted line) ( a); (solid line), (dotted line), (dotted line) ( b)
Выводы
Таким образом, в данной статье нами исследована динамика перепутывания в системе, состоящей из трех идентичных кубитов, резонансно взаимодействующих с общей модой теплового поля идеального резонатора. В работе рассмотрены два типа начальных состояний кубитов: истинно перепутанноее состояние -типа (2) и -подобное перепутанное состояние (3). Нами найдено точное решение квантового уравнения Лиувилля для начальных состояний кубитов и теплового состояния поля резонатора. На основе точного решения нами рассчитана временная зависимость параметра перепутывания кубитов. В качестве критерия перепутывания кубитов выбран параметр, называемый степенью совпадения. В нашем случае данный параметр определяет степень совпадения трехкубитной матрицы плотности в произвольный момент времени и начальной трехкубитной матрицы плотности чистых состояний (2) и (3). Для сравнения результатов нами проведен также аналогичный расчет степени совпадения в случае двухкубитной системы с начальным состоянием вида (21) и теплового поля резонатора. Результаты численного моделирования степени совпадения показали, что для всех выбранных начальных состояний кубитов их взаимодействие с тепловым полем резонатора приводит к осцилляциям Раби параметра перепутывания кубитов с уменьшением амплитуд осцилляций в процессе эволюции. При этом увеличение интенсивности поля резонатора приводит к уменьшению максимальной степени перепутывания кубитов. Показано также, что наименее устойчивым по отношению к внешнему шуму является -подобное трехкубитное состояние (3), а наиболее устойчивым — двухкубитное перепутанное состояние (21).
About the authors
Alexander R. Bagrov
Samara National Research University
Author for correspondence.
Email: alexander.bagrov00@mail.ru
ORCID iD: 0000-0002-1098-0300
Master’s Degree Student of the Department of General and Theoretical Physics
Russian Federation, 34, Moskovskoye shosse, Samara, 443086Eugene K. Bashkirov
Samara National Research University
Email: bashkirov.ek@ssau.ru
ORCID iD: 0000-0001-8682-4956
Doctor of Physical and Mathematical Sciences, professor of the Department of General and Theoretical Physics
Russian Federation, 34, Moskovskoye shosse, Samara, 443086References
- X. Gu X., Kockum A.F., Miranowicz A., Liu Y.X., Nori F. Microwave photonics with superconducting quantum circuits. Physics Reports, 2017, vol. 718–719, pp. 1–102. DOI: http://doi.org/10.1016/j.physrep.2017.10.002.
- Wendin G. Quantum information processing with super-conducting circuits: a review. Reports on Progress in Physics, 2017, vol. 80, number 10, article number 106001. DOI: http://doi.org/10.1088/1361-6633/aa7e1a.
- Kjaergaard M., Schwartz M.E., Braumüller J., Krantz P., Wang J.-I., Gustavsson S., Oliver W.D. Superconducting Qubits: Current State of Play. Annual Reviews of Condensed Matter Physics, 2020, vol. 11, pp. 369–395. DOI: http://doi.org/10.1146/annurev-conmatphys-031119-050605.
- Huang H.-L., Wu D., Fan D., Zhu X. Superconducting quantum computing: a review. Science China Information Sciences, 2020, vol. 63, article number 180501. DOI: http://doi.org/10.1007/S11432-020-2881-9.
- Terhal B.M. Quantum error correction for quantum memories. Reviews of Modern Physics, 2015, vol. 87, issue 2, pp. 307–346. DOI: https://doi.org/10.1103/RevModPhys.87.307.
- Kimble H.J. The quantum internet. Nature, 2008, vol. 453, pp. 1023–1030. DOI: https://doi.org/10.1038/nature07127.
- Pezze` L., Smerzi A., Oberthaler M.K., Schmied R., Treutlein P. Quantum metrology with nonclassical states of atomic ensembles. Reviews of Modern Physics, 2018, vol. 90, article number 035005. DOI: https://doi.org/10.1103/RevModPhys.90.035005.
- Zou Y.-Q. [et al.] Beating the classical precision limit with spin-1 dicke states of more than 10,000 atoms. Proceedings of the National Academy of Sciences, 2018, vol. 115, pp. 6381–6385. DOI: http:///doi.org/10.1073/pnas.1715105115.
- Wang X.-L. [et al.] 18-qubit entanglement with six photons’ three degrees of freedom. Physical Review Letters, 2018, vol. 120, issue 26, article number 260502. DOI: https://doi.org/10.1103/PhysRevLett.120.260502.
- Zhong H.-S. [et al.] 12-photon entanglement and scalable scattershot boson sampling with optimal entangled-photon pairs from parametric downconversion. Physical Review Letters, 2018, vol. 121, issue 25, number 250505. DOI: https://doi.org/10.1103/PhysRevLett.121.250505.
- Seevinck M., Gühne O. Separability criteria for genuine multiparticle entanglement. New Journal of Physics, 2010, vol. 12, article number 053002. DOI: https://doi.org/10.1088/1367-2630/12/5/053002.
- Pereira L., Zambrano L., Delgado A. Scalable estimation of pure multi-qubit states. Npj Quantum Information, 2022, vol. 8, number 57. pp. 1–12. DOI: https://doi.org/10.1038/s41534-022-00565-9.
- Zhahir A.A., Mohd S.M., Shuhud M.I.M., Idrus B., Zainuddin H., Jan N.M., Wahiddin M. Entanglement Quantification and Classification: A Systematic Literature Review. International Journal of Advanced Computer Science and Applications, 2022, vol. 13, issue 5, pp. 218–225. DOI: https://doi.org/10.14569/ijacsa.2022.0130527.
- Dur W., Cirac J.I. Classification of multiqubit mixed states: Separability and distillability properties. Physical Review A: Atomic, molecular, and optical physics, 2000, vol. 61, issue 4, article number 042314. DOI: https://doi.org/10.1103/PhysRevA.61.042314.
- Dur W., Cirac J.I., Vidal G. Three qubits can be entangled in two inequivalent ways. Physical Review A: Atomic, molecular, and optical physics, 2000, vol. 62, issue 6, Article number 062314. DOI: https://doi.org/10.1103/PhysRevA.62.062314.
- Acin A., Bruβ D., Lewenstein M., Sanpera A. Classification of Mixed Three-Qubit States. Physical Review Letters, 2000, vol. 87, issue 4, Article number 040401. DOI: https://doi.org/10.1103/PhysRevLett.87.040401.
- Garcia-Alcaine G., Sabin C. A classification of entanglement in three-qubit systems. The European Physical Journal D, 2008, vol. 48, Article number 040401, pp. 435–442. DOI: https://doi.org/10.1140/epjd/e2008-00112-5.
- Siti Munirah Mohd S.M., Idrus B., Zainuddin H., Mukhtar M. Entanglement Classification for a Three-qubit System using Special Unitary Groups. International Journal of Advanced Computer Science and Applications, 2019, vol. 10, issue 7, pp. 374–379. DOI: https://doi.org/10.14569/IJACSA.2019.0100751.
- Akbari-Kourbolagh Y. Entanglement criteria for the three-qubit states. International Journal of Quantum Information, 2017, vol. 15, no. 7, article number 1750049. DOI: https://doi.org/10.1142/S0219749917500496.
- Gong M. [et al.] Genuine 12-qubit entanglement on a superconducting quantum processor. Physical Review Letters, 2019, vol. 122, article number 110501. DOI: https://doi.org/10.1103/PhysRevLett.122.110501.
- Song C. [et al.] 10-qubit entanglement and parallel logic operations with a superconducting circuit. Physical Review Letters, 2017, vol. 119, issue 18, Article number 180511. DOI: https://doi.org/10.1103/PhysRevLett.119.180511.
- Wei K.X. [et al.] Verifying multipartite entangled GHZ states via multiple quantum coherences. Physical Review A, 2020. vol. 101, issue 3, article number 032343. DOI: https://doi.org/10.1103/PhysRevA.101.032343.
- Song C. [et al.] Generation of multicomponent atomic Schrӧdinger cat states of up to 20 qubits. Science, 2019, vol. 365, no. 6453, pp. 574–577. DOI: https://doi.org/10.1126/science.aay0600.
- Leibfried D. [et al.] Toward heisenberg-limited spectroscopy with multiparticle entangled states. Science, 2004, vol. 304, issue 5676, pp. 1476–1478. DOI: https://doi.org/10.1126/science.10975.
- Roos C.F. [et al.] Control and measurement of three-qubit entangled states. Science, 2004, vol. 304, issue 5676, pp. 1478–1480. DOI: https://doi.org/10.1126/science.1097522.
- Monz T. [et al.] 14-qubit entanglement: creation and coherence. Physical Review Letters, 2011, vol. 106, issue 13, Article number 130506. DOI: https://doi.org/10.1103/PhysRevLett.106.130506.
- Omran A. [et al.] Generation and manipulation of Schrӧdinger cat states in Rydberg atom arrays. Science, 2019, vol. 365, issue 6453, pp. 570–574. DOI: https://doi.org/10.1126/science.aax9743.
- Lu C.-Y. [et al.] Experimental entanglement of six photons in graph states. Nature Physics, 2007, vol. 3, pp. 91–95. DOI: https://doi.org/10.1038/nphys507.
- Wang X.-L. [et al.] 18-qubit entanglement with six photons’ three degrees of freedom. Physical Review Letters, 2018, vol. 120, issue 26, Article number 260502. DOI: https://doi.org/10.1103/PhysRevLett.120.260502.
- Zhong H.-S. [et al.] 12-photon entanglement and scalable scattershot boson sampling with optimal entangled-photon pairs from parametric downconversion. Physical Review Letters, 2018, vol. 121, issue 25, Article number 250505. DOI: https://doi.org/10.1103/PhysRevLett.121.250505.
- Neeley M. Generation of three-qubit entangled states using superconducting phase qubits. Nature, 2010, vol. 467, pp. 570–573. DOI: https://doi.org/10.1038/nature09418.
- Gong M. [et al.] Genuine 12-qubit entanglement on a superconducting quantum processor. Physical Review Letters, 2019, vol. 122, issue 11, Article number 110501. DOI: https://doi.org/10.1103/PhysRevLett.122.110501.
- Song C. [et al.] 10-qubit entanglement and parallel logic operations with a superconducting circuit. Physical Review Letters, 2017, vol. 119, issue 18, Article number 180511. DOI: https://doi.org/10.1103/PhysRevLett.119.180511.
- Li D., Cheng M., Li X., Li S. A relation among tangle, 3-tangle, and von Neumann entropy of entanglement for three qubits. Quantum Information Processing, 2023, vol. 22, Article number 14. DOI: https://doi.org/10.1007/s11128-022-03759-4.
- Yu T., Eberly J.H. Sudden death of entanglement. Science, 2009, vol. 323, issue 5914, pp. 598–601. DOI: https://doi.org/10.1126/science.1167343.
- Wang F. [et al.] Observation of entanglement sudden death and rebirth by controlling a solid-state spin bath. Physical Review B, 2018, vol. 98, issue 6, Article number 064306. DOI: https://doi.org/10.1103/PhysRevB.98.064306.
- Sun G., Zhou Z., Mao B., Wen X., Wu P., Han S. Entanglement dynamics of a superonducting phase qubit coupled to a two-level system. Physical Review B, 2012, vol. 86, Issue 6, Article number 064502. DOI: https://doi.org/10.1103/PhysRevB.86.064502.
- Salles A., de Melo F., Almeida M. P., Hor-Meyll M., Walborn S.P., Souto Ribeiro P. H., Davidovich L. Experimental investigation of the dynamics of entanglement: Sudden death, complementarity, and continuous monitoring of the environment. Physical Review, 2008. vol. A78, number 022322. DOI: https://doi.org/10.1103/PhysRevA.78.022322.
- Bagrov A.R., Bashkirov E.K. Sudden death of entanglement in a thermal three-qubut Tavis-Cummings model. Proceedings of the 9th IEEE International Conference on Information Technology and Nanotechnology, 2023, Article number 23240901. DOI: https://doi.org/10.1109/ITNT57377.2023.10139206.
- Jozsa R. Fidelity for mixed quantum states. Journal of Modern Optics, 1994, vol. 41, issue 12, pp. 2315–2323. DOI: https://doi.org/10.1080/09500349414552171.
Supplementary files





