Dynamics of an energy harvester with hysteresis friction
- Authors: Borzunov S.V.1, Reshetova O.O.1
-
Affiliations:
- Voronezh State University
- Issue: Vol 29, No 2 (2023)
- Pages: 19-29
- Section: Mathematical Modelling
- URL: https://journals.rcsi.science/2541-7525/article/view/243595
- DOI: https://doi.org/10.18287/2541-7525-2023-29-2-19-29
- ID: 243595
Cite item
Full Text
Abstract
A model of an energy harvester converter with hysteresis viscous friction is considered. The mechanical part of the energy harvester is made in the form of an inverted pendulum. The hysteresis is formalized within the framework of the Preisach model, which is a continuum analogue of a system of non-ideal relays connected in parallel. Within the framework of numerical experiments, the dependences of the dynamic parameters, in particular, the angle of deflection of the pendulum and the voltage on the load, as well as phase portraits, on the value of the coefficient characterizing the effect of hysteresis friction, were investigated. The role of nonlinear effects is demonstrated.
Full Text
Введение
Современные преобразователи-запасатели энергии создаются на основе достижений физики, химии, материаловедения, электроники и теории управления. В такого рода устройствах происходит преобразование механической энергии, как правило, кинетической энергии колеблющегося тела, в электрическую форму энергии. Один из важнейших способов преобразования энергии основан на прямом пьезоэлектрическом эффекте, заключающемся в возникновении поляризации диэлектрического образца под действием механических напряжений. Пьезоэлектрические материалы характеризуются нелинейной зависимостью между приложенным механическим напряжением и создаваемым электрическим полем [1; 2].
С одной стороны, относительно небольшие механические напряжения приводят к линейному отклику электрических характеристик пьезоэлектрического образца. С другой стороны, в практической задаче конструирования преобразователей-запасателей энергии, как правило, достигаются значения внешнего воздействия, превышающее порог линейного отклика. Таким образом, возникает гистерезисная зависимость напряжения, заряда и других электрических характеристик от динамических параметров механической подсистемы [3; 4].
Петля гистерезиса возникает при рассмотрении зависимости поляризации сегнетоэлектрического образца от приложенного электрического поля, причем в переменном поле параметры петли существенно зависят от частоты изменения поля. Также гистерезисная связь проявляется на вольт-фарадных характеристиках некоторых сегнетоэлектрических пленок, т. е. в зависимостях емкости от приложенного к образцу напряжения [5; 6]. Интересно, что образцы сегнетоэлектрических пленок, напылённые на кремниевые пластины p - и n - типа проводимости, отличаются направлением обхода петли (по часовой стрелке и против часовой стрелки соответственно).
Моделирование динамики систем с гистерезисом представляет собой сложную математическую задачу, привлекающую внимание многих исследователей. Применяются как конструктивные модели — неидеальное реле, преобразователь Прейзаха, модель Ишлинского [7; 9–12], так и феноменологические — модель Боука–Вена, Айвана, Дьюема и др. [13; 14]. Среди конструктивных моделей гистерезисных нелинейностей важную роль играет преобразователь Прейзаха [15–17]. Первоначально эта модель была сформулирована для описания свойств ферромагнитных материалов [18], позже была доказана ее применимость к широкому спектру явлений из различных научно-практических задач [19; 20]. Модель Прейзаха хорошо зарекомендовала себя для аналитического описания наблюдаемых свойств ферромагнитных и сегнетоэлектрических материалов. Известны многочисленные технические приложения — модели накопителей энергии, других систем, использующих пьезоэффект, модели систем с долговременной памятью. Также известны результаты применения преобразователя Прейзаха в биологии и медицине, а также экономике [8].
Основу модели Прейзаха составляет нелинейный преобразователь, представляющий собой континуальную систему реле, соединенных параллельно. Выходом преобразователя Прейзаха Γ[u(t)] (где u(t) — непрерывная функция времени) считают функцию x(t), значение которой в каждый момент времени определяется, как и для всех гистерезисных преобразователей, не только значением входа u(t), но и всей предысторией.
1. Гистерезисные зависимости в модели преобразователя-запасателя энергии
При практической реализации конструирования запасателей энергии, как правило, имеют место гистерезисные зависимости различного вида как в механической подсистеме, так и электромагнитной природы. В настоящем разделе рассматривается электромеханическая система запасателя энергии с гистерезисным демпфированием, иными словами, предполагается, что трение в механической подсистеме подчиняется гистерезисному закону (рис. 1.1).
Рис.1.1. Преобразователь-запасатель энергии, механически связанный c классическим осциллятором посредством гистерезисного звена
Fig. 1.1. Energy harvester mechanically connected to a classical oscillator by means of a hysteresis link
Рассмотрим простую модель преобразователя-запасателя энергии в виде перевернутого математического маятника, закрепленного на легкой горизонтальной платформе. Маятник соединен механической связью с одной из обкладок сегнетоэлектрического конденсатора, который включен в замкнутую электрическую цепь (рис. 1.2).
Рис.1.2. Математический маятник, связанный с пьезоэлектрическим генератором
Fig. 1.2. Mathematical pendulum associated with a piezoelectric generator
Платформа P может перемещаться в горизонтальном направлении. Угол отклонения маятника относительно вертикали равен φ(t), координата платформы — u(t). Длина маятника равна l, масса его груза равна m.
Пьезоэлектрический материал, образующий конденсатор с емкостью C, включен в электрическую цепь с внешней нагрузкой R. Напряжение на нагрузке обозначим через V(t).
Рассматриваемая динамическая система описывается системой обыкновенных дифференциальных уравнений (первое из которых есть уравнение движения груза m под действием сил механического происхождения и силы инерции, второе — баланс токов в электрической цепи)
(1.1)
Точкой над символом здесь и далее будем обозначать производную по времени t.
При небольших отклонениях маятника от положения равновесия sinφ ∼ φ получаем:
(1.2)
здесь γ₀ = c/(2m), = g/l, A и B — параметры связи механической и электрической подсистем.
1.1 Система с гистерезисным трением в рамках модели Прейзаха
На рис. 1 схематически представлена модель преобразователя-запасателя энергии, основанного на классическом осцилляторе m, связанного с электрической подсистемой посредством гистерезисного демпфирующего звена. Внешнее воздействие определялось посредством периодической силы Fext = K sin(Ωτ), приложенной к m.
В настоящем разделе гистерезисный преобразователь введем с помощью подхода, развитого М. А. Красносельским и А. В. Покровским [7]. В рамках указанного подхода гистерезисный преобразователь трактуется как оператор, определенный на пространстве непрерывных функций, динамика которых описывается соотношениями: “вход–состояние” и “состояние–выход”.
Обозначим через R[α, β, x0, t0] гистерезисный преобразователь, отвечающий неидеальному реле с пороговыми числами α и β, где x₀ ∈ {0, 1} — начальное состояние преобразователя, t₀ — начальный момент времени. Пространством состояний неидеального реле является двухэлементное множество {0,1}. Входом системы является непрерывная при t ≥ t₀ функция u(t), выходом — ступенчатая функция x(t), определяемая соотношением:
, (1.3)
Заметим, что начальное состояние x0 преобразователя должно удовлетворять условию:
(1.4)
В случае выполнения неравенств α ≤ u(0) ≤ β величина x₀ может принимать любое значение из множества {0,1}. Значения выхода x(t) при непрерывном входе u(t) для t ∈ (t₀, ∞) при каждом t = τ определяются согласно правилу:
(1.5)
Будем говорить, что реле включено, если выход равен единице, и что реле находится в выключенном состоянии в противном случае.
Примечание. Заметим, что выбор элементов двухэлементного множества может быть произведен и другим способом, например, как {-0.1}. За исключением абсолютных значений выхода реле, определение (5) и свойства неидеального реле не изменятся. Легко видеть, что биективное отображение f:[-1.1]→[0.1], заданное согласно правилу f(x) = (1+x)/2, делает выбор конкретных значений элементов полностью эквивалентным.
Рассмотрим набор из N неидеальных реле, занумерованных индексом j, где 1 ≤ j ≤ N . Система реле ℛN, соединенных параллельно, схематично представлена на рис. 1.3. Выход определяется естественным образом как взвешенная сумма выходов, получаемых от каждого из индивидуальных реле:
(1.6)
где — множество начальных состояний конечной системы реле.
Рис. 1.3. Параллельное соединение N экземпляров реле Rj[α, β, x0, t0], взятых с весами γj > 0, где j = 1, . . . , N
Fig. 1.3. Parallel connection of N relay instances Rj[α, β, x0, t0], taken with weights γj > 0, where j = 1, . . . , N
Определение такой системы реле основано на реализации трехэтапной конструкции. На первом шаге выход системы определим на монотонных входах , на втором шаге с помощью полугруппового тождества на кусочно-монотонных входах, затем на третьем этапе выполним переход к произвольным непрерывным входам.
Справедливо свойство монотонности конечной системы неидеальных реле относительно функции входа u(t), что является непосредственным следствием линейности конструкции (6) и монотонности по входу одного гистерона. Система не является управляемой, как легко видеть в частном случае двух неидеальных реле.
В самом деле, параллельное соединение двух реле R₁[α₁, β₁, x₀₍₁₎, t₀] и R₂[α₂, β₂, x₀₍²₎, t₀],
где β₁.₂ = α₁.₂ + ε (при условии 0 < ε < |β − α|), x₍₀₎ = 1, x₍₁₎ = 0, характеризуется следующим поведением: легко видеть, что для любых допустимых входов u(t) справедлива импликация
(R₁[α₁, β₁, x₀₍₁₎, t₀] u(t) = 1) ⇒ R₂[α₂, β₂, x₀₍²₎, t₀] = 1, (1.7)
т. е. событие “первое реле выключено, а второе — включено” является невозможным.
Преобразователь Прейзаха является континуальным аналогом семейства неидеальных реле, соединенных параллельно. Пространство состояний этого преобразователя состоит из пар {u(t), z(α, β, t)},
где u(t) — значение входа в момент времени t, а z(α, β, t) — характеристическая функция подмножества полуплоскости α < β, принимающая значения 0,1. Входно-выходные соответствия оператора Прейзаха определяются соотношениями: вход-состояние
(1.8)
где z₀ = z(α, β, t₀) и состояние-выход
(1.9)
Указанный преобразователь широко применяется для формализации различных гистерезисных зависимостей, его свойства, а также различные приложения можно найти, например, в [21].
Будем предполагать, что носитель меры преобразователя Прейзаха ограничен, и, следовательно, пространство состояний состоит из характеристических функций, носитель которых содержится на ограниченных множествах.
Результаты численного решения представленной на рис. 1 системы (в обезразмеренном виде) с гистерезисным трением в рамках модели Прейзаха
(1.10)
где H — коэффициент, характеризующий <<влияние>> гистерезисного трения. Численные эксперименты при значениях коэффициента H ∈ {0, 0.5, 1.0, 8.0} представлены на рис. 1.4–1.7. В расчетах в качестве носителя меры преобразователя Прейзаха было выбрано множество [−1, 1] × [−1, 1], количество элементарных гистеронов равно 20 100.
Рис. 1.4. Зависимость динамических переменных от безразмерного времени и фазовые портреты в условиях отсутствия гистерезисного слагаемого. Значения параметров σ = 1.5, ω = 1.2, K = 2.0, H = 0. Начальные условия φ(0) = 1, ψ(0) = 0, σ(0) = 0: a — угол отклонения маятника φ(τ) и напряжение v(τ), Ω = 1.3; b — фазовый портрет колебаний маятника ψ(φ) при Ω = 1.3; c — угол отклонения маятника φ(τ) и напряжение v(τ), Ω = 5.0; d — фазовый портрет колебаний маятника ψ(φ) при Ω = 5.0
Fig. 1.4. The dependence of dynamic variables on dimensionless time and phase portraits in the absence of a hysteresis term. Parameter values σ = 1.5, ω = 1.2, K = 2.0, H = 0. Initial conditions φ(0) = 1, ψ(0) = 0, σ(0) = 0: a — angle of deflection of the pendulum φ(τ) and voltage v(τ), Ω = 1.3; b — phase portrait of pendulum oscillations ψ(φ) at Ω = 1.3; c — angle of deflection of the pendulum φ(τ) and voltage v(τ), Ω = 5.0; d — phase portrait of pendulum oscillations ψ(φ) at Ω = 5.0
Рис. 1.5. Зависимость динамических переменных от безразмерного времени и фазовые портреты при H = 0.5. Значения параметров σ = 1.5, ω = 1.2, K = 2.0. Начальные условия φ(0) = 1, ψ(0) = 0, σ(0) = 0: a — угол отклонения маятника φ(τ) и напряжение v(τ) при Ω = 1.3; b — фазовый портрет колебаний маятника ψ(φ) при Ω = 1.3; c — угол отклонения маятника φ(τ) и напряжение v(τ) при Ω = 5.0; d — фазовый портрет колебаний маятника ψ(φ) при Ω = 5.0
Fig. 1.5. The dependence of dynamic variables on dimensionless time and phase portraits at H = 0.5. Parameter values σ = 1.5, ω = 1.2, K = 2.0. Initial conditions φ(0) = 1, ψ(0) = 0, σ(0) = 0: a — angle of deflection of the pendulum φ(τ) and voltage v(τ) at Ω = 1.3; b — phase portrait of pendulum oscillations ψ(φ) at Ω = 1.3; c — angle of deflection of the pendulum φ(τ) and voltage v(τ) at Ω = 5.0; d — phase portrait of pendulum oscillations ψ(φ) at Ω = 5.0
Рис. 1.6. Зависимость динамических переменных от безразмерного времени и фазовые портреты при H = 1.0. Значения параметров σ = 1.5, ω = 1.2, K = 2.0. Начальные условия φ(0) = 1, ψ(0) = 0, σ(0) = 0: a — угол отклонения маятника φ(τ) и напряжение v(τ) при Ω = 1.3; b — фазовый портрет колебаний маятника ψ(φ) при Ω = 1.3; c — угол отклонения маятника φ(τ) и напряжение v(τ) при Ω = 5.0; d — фазовый портрет колебаний маятника ψ(φ) при Ω = 5.0
Fig. 1.6. The dependence of dynamic variables on dimensionless time and phase portraits at H = 1.0. Parameter values σ = 1.5, ω = 1.2, K = 2.0. Initial conditions φ(0) = 1, ψ(0) = 0, σ(0) = 0: a — angle of deflection of the pendulum φ(τ) and voltage v(τ) at Ω = 1.3; b — phase portrait of pendulum oscillations ψ(φ) at Ω = 1.3; c — angle of deflection of the pendulum φ(τ) and voltage v(τ) at Ω = 5.0; d — phase portrait of pendulum oscillations ψ(φ) at Ω = 5.0
Рис. 1.7. Зависимость динамических переменных от безразмерного времени и фазовые портреты при H = 8.0. Значения параметров σ = 1.5, ω = 1.2, K = 2.0. Начальные условия φ(0) = 1, ψ(0) = 0, σ(0) = 0: a — угол отклонения маятника φ(τ) и напряжение v(τ) при Ω = 1.3; b — фазовый портрет колебаний маятника ψ(φ) при Ω = 1.3; c — угол отклонения маятника φ(τ) и напряжение v(τ) при Ω = 5.0; d — фазовый портрет колебаний маятника ψ(φ) при Ω = 5.0
Fig. 1.7. The dependence of dynamic variables on dimensionless time and phase portraits at H = 8.0. Parameter values σ = 1.5, ω = 1.2, K = 2.0. Initial conditions φ(0) = 1, ψ(0) = 0, σ(0) = 0: a — angle of deflection of the pendulum φ(τ) and voltage v(τ) at Ω = 1.3; b — phase portrait of pendulum oscillations ψ(φ) at Ω = 1.3; c — angle of deflection of the pendulum φ(τ) and voltage v(τ) at Ω = 5.0; d — phase portrait of pendulum oscillations ψ(φ) at Ω = 5.0
Из графиков видно, что в области частот Ω ≫ ω амплитуда колебаний меньше, чем в резонансном случае Ω ≃ ω. При относительно больших значениях H (H=8) длительность переходного процесса, приводящего к установившимся колебаниям, увеличивается. Сравнение мощности внешнего возбуждения Pext и мощности, передаваемой гистерезисным звеном системы, представлено в таблице.
Таблица. Мощность внешнего возбуждения и передаваемая мощность в случае гистерезисного звена в рамках модели Прейзаха
Table. Power of external excitation and transmitted power in the case of hysteresis link within the framework of the Prezah model
Значения параметров системы | Мощность внешнего возбуждения Pext | Мощность, передаваемая гистерезисным звеном S/T | Электрическая мощность Pavr | Отношение Pavr/Pext |
K = 1.0, Ω=1.8, ω=1.2, H=1.0 | 0.232048 | 0.193251 | 1.9193589 | 8.27139 |
K = 1.0, Ω=1.9, ω=1.2, H=1.0 | 0.272911 | 0.203482 | 1.3663276 | 5.0065 |
K = 1.0, Ω=2.0, ω=1.2, H=1.0 | 0.31831 | 0.133638 | 0.76924010 | 2.41664 |
K = 2.0, Ω = 1.7, ω=1.2, H=1.0 | 0.781928 | 0.181108 | 7.84558034 | 10.0336 |
K = 2.0, Ω=1.8, ω=1.2, H=1.0 | 0.928192 | 0.196008 | 6.20816887 | 6.68845 |
K = 2.0, Ω=1.9, ω=1.2, H=1.0 | 1.09164 | 0.205938 | 4.12163400 | 3.77563 |
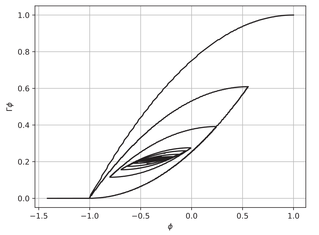
На рис. 1.8 представлена гистерезисная кривая в координатах (φ, Γφ). Из рисунка видно, что после нескольких циклов колебаний достигается установивший режим.
Рис. 1.8. Зависимость Γφ от φ при значениях параметров K = 2.0, ω = 1.2, Ω = 5.0, σ = 1.5, H = 2.5. Начальные условия: φ(0) = 1, ψ(0) = 0, σ(0) = 0
Fig. 1.8. Dependence of the Γφ on φ at K = 2.0, ω = 1.2, Ω = 5.0, σ = 1.5, H = 2.5. Initial conditions: φ(0) = 1, ψ(0) = 0, σ(0) = 0
Заключение
В статье исследована модель преобразователя-запасателя энергии с гистерезисным вязким трением. Механической частью системы является обратный маятник, гистерезисное вязкое трение присутствует в передаточном механическом звене. Исследованы зависимости динамических параметров, в частности, угла отклонения маятника и напряжения на нагрузке, а также фазовых портретов от значения коэффициента, характеризующего влияние гистерезисного трения. С использованием конструктивной модели Прейзаха продемонстрирована роль нелинейных эффектов.
Информация о конфликте интересов: авторы и рецензенты заявляют об отсутствии конфликта
Information about the conflict of interests: authors and reviewers declare no conflict of interests.
About the authors
Sergei V. Borzunov
Voronezh State University
Email: sborzunov@gmail.com
ORCID iD: 0000-0002-5099-9655
Candidate of Physical and Mathematical Sciences, associate professor of the Department of Digital Technologies
Russian Federation, 1, Universitetskaya Square, Voronezh, 394018Olga O. Reshetova
Voronezh State University
Author for correspondence.
Email: tribunskih1993@mail.ru
ORCID iD: 0000-0002-8257-7836
associate professor of the Department of Digital Technologies
Russian Federation, 1, Universitetskaya Square, Voronezh, 394018References
- Damjanovic D. Ferroelectric, dielectric and piezoelectric properties of ferroelectric thin films and ceramics. Reports on Progress in Physics, 1998, vol. 61, no. 9, pp. 1267–1324. DOI: https://doi.org/10.1088/0034-4885/61/9/002.
- Dawber M. Physics of thin-film ferroelectric oxides. Reviews of Modern Physics, 2005, vol. 77, issue 4, article number 1083. DOI: https://doi.org/10.1103/RevModPhys.77.1083.
- Juhász L., Maas J., Borovac B. Parameter identification and hysteresis compensation of embedded piezoelectric stack actuators. Mechatronics, 2011, vol. 21, issue 1, pp. 329–338. DOI: https://doi.org/10.1016/j.mechatronics.2010.12.006.
- Montegiglio P., Maruccio C., Acciani G., Rizzello G., Seelecke S. Nonlinear multi-scale dynamics modeling of piezoceramic energy harvesters with ferroelectric and ferroelastic hysteresis. Nonlinear Dynamics, 2020, vol. 100, pp. 1985–2003. DOI: https://doi.org/10.1007/s11071-020-05660-0.
- Kwak D.H., Jang B.T., Cha S.Y., Lee S.H., Lee H.C., Yu B.G. Hysteresis analysis in capacitance-voltage characteristics of Pt/(Ba, Sr)TiO /Pt structures. Integrated Ferroelectrics, 1996, vol. 13, issue 1–3, pp. 121–127. DOI: https://doi.org/10.1080/10584589608013086.
- Myasnikov É.N., Tolstousov S.V., Frolenkov K.Yu. Memory Effect in Ba Sr TiO Ferroelectric Films on Silicon Substrates. Physics of the Solid State, 2004, vol. 46, pp. 2268–2274. DOI: https://doi.org/10.1134/1.1841392.
- Krasnosel’ski M.A., Pokrovski A.V. Systems with Hysteresis. Moscow: Nauka. Glavnaya redaktsiya fiziko-matematicheskoi literatury, 1983, 272 p. (In Russ.)
- Cross R., McNamara H., Pokrovskii A., Rachinskii D. A new paradigm for modelling hysteresis in macroeconomic flows. Physica B: Condensed Matter, 2008, vol. 403, no. 2–3, pp. 231–236. DOI: https://doi.org/10.1016/j.physb.2007.08.017. EDN: https://elibrary.ru/klcqwd.
- Lacarbonara W., Talò M., Carboni B., Lanzara G. Tailoring of Hysteresis Across Different Material Scales. In: Belhaq M. (Eds.) Recent Trends in Applied Nonlinear Mechanics and Physics. Springer Proceedings in Physics, vol 199. Cham: Springer, 2018, pp. 227–250. DOI: https://doi.org/10.1007/978-3-319-63937-6_13.
- Medvedsky A.L., Meleshenko P.A., Nesterov V.A., Reshetova O.O., Semenov M.E. Dynamics of hysteric-related Van-der-Pol oscillators: the small parameter method. Journal of Computer and Systems Sciences International, 2021, vol. 60, no. 4, pp. 511–529. DOI: https://doi.org/10.1134/S1064230721040092. EDN: https://www.elibrary.ru/cscifj. (In English; original in Russian)
- Semenov M.E., Solovyov A.M., Meleshenko P.A., Reshetova O.O. Efficiency of Hysteresis Damper in Oscillating Systems. Mathematical Modelling of Natural Phenomena, 2020, vol. 15, article number 43. DOI: https://doi.org/10.1051/mmnp/2019053.
- Semenov M.E., Solovyov A.M., Meleshenko P.A. Stabilization of coupled inverted pendula: From discrete to continuous case. Journal of Vibration and Control, 2021, vol. 27, issues 1–2, pp. 43–56. DOI: https://doi.org/10.1177/1077546320923436.
- Ikhouane F., Mañosa V., Pujol G. Minor loops of the Dahl and LuGre models. Applied Mathematical Model, 2020, vol. 77, part 2, pp. 1679–1690. DOI: https://doi.org/10.1016/j.apm.2019.08.031.
- Ismail M., Ikhouane F., Rodellar J. The hysteresis Bouc–Wen model, a survey. Archives of Computational Methods in Engineering, 2009, vol. 16, pp. 161–188. DOI: https://doi.org/10.1007/s11831-009-9031-8.
- Mayergoyz I.D., Friedman G. Generalized Preisach model of hysteresis. IEEE Transactions on Magnetics, 1988, vol. 24, issue 1, pp. 212–217. DOI: https://doi.org/10.1109/20.43892.
- Krej P., O’Kane J.P., Pokrovskii A., Rachinskii D. Properties of solutions to a class of differential models incorporating Preisach hysteresis operator. Physica D: Nonlinear Phenomena, 2012, vol. 241, issue 22, pp. 2010–2028. DOI: https://doi.org/10.1016/j.physd.2011.05.005.
- Krej P., Monteiro G.A. Inverse parameter-dependent Preisach operator in thermo-piezoelectricity modeling. Discrete & Continuous Dynamical Systems.–B, 2019, vol. 24, issue 7, pp. 3051–3066. DOI: https://doi.org/10.3934/dcdsb.2018299.
- Preisach F. Über die magnetische Nachwirkung. Zeitschrift für Physik, 1935, vol. 94, pp. 277–302. DOI: https://doi.org/10.1007/BF01349418.
- Semenov M.E., Borzunov S.V., Meleshenko P.A. Stochastic Preisach operator: Definition within the design approach. Nonlinear Dynamics, 2020, vol. 101, pp. 2599–2614. DOI: https://doi.org/10.1007/s11071-020-05907-w.
- Borzunov S.V., Semenov M.E., Sel’vesyuk N.I., Meleshenko P.A., Solovyev A.M. Stochastic model of the hysterisis converter with a domain structure. Mathematical Models and Computer Simulations, 2021, vol. 33, no. 9, pp. 60–86. DOI: https://doi.org/10.20948/mm-2021-09-05. EDN: https://www.elibrary.ru/xtialm. (In Russ.)
- Bertotti G., Mayergoyz I.D. The Science of Hysteresis: 3-Volume Set. Amsterdam, the Netherlands: Elsevier, Academic Press, 2005, 2160 p. ISBN: 9780080540788.
Supplementary files










