Первичный скрининг ростостимулирующих свойств ризосферных микроорганизмов по отношению к семенам томата
- Авторы: Гальперина А.Р.1, Сопрунова О.Б.1, Пархоменко А.Н.1
-
Учреждения:
- ФГБОУ ВО «Астраханский государственный технический университет»
- Выпуск: № 5 (2024)
- Страницы: 37-41
- Раздел: Растениеводство и селекция
- URL: https://journals.rcsi.science/2500-2082/article/view/268566
- DOI: https://doi.org/10.31857/S2500208224050083
- EDN: https://elibrary.ru/ztfkfl
- ID: 268566
Цитировать
Аннотация
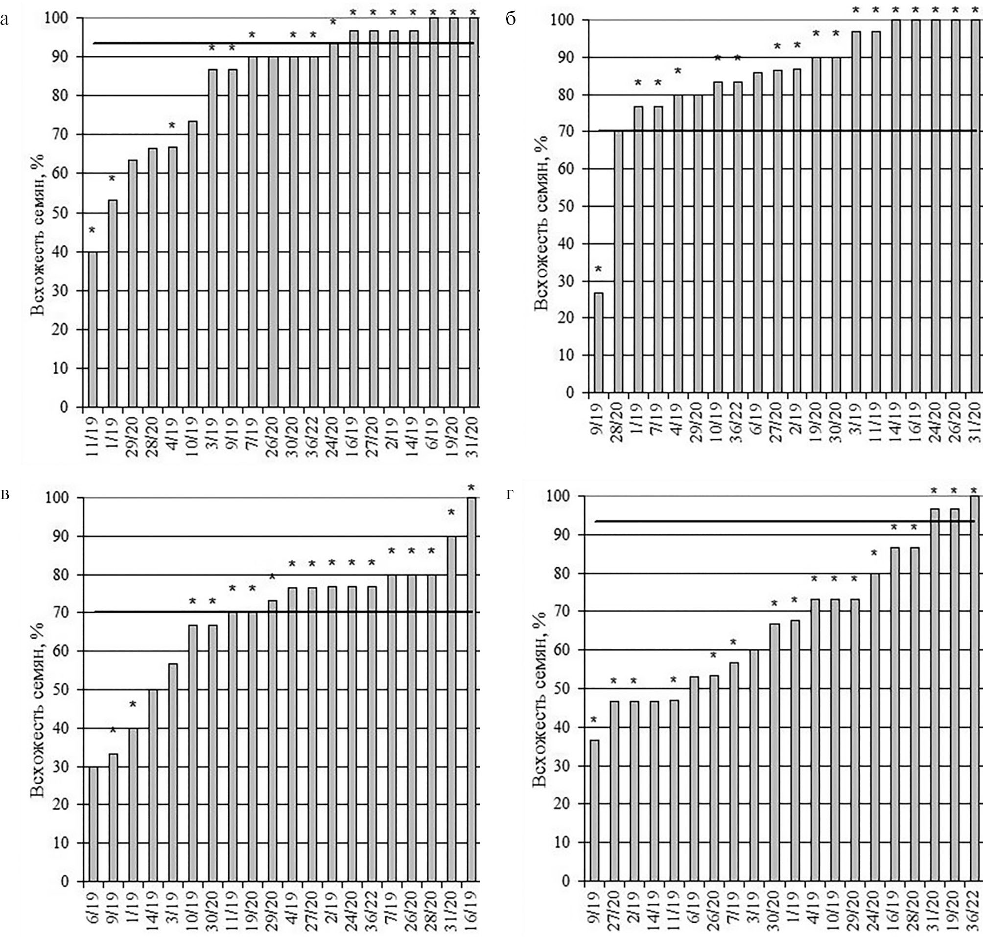
Исследованы бактериальные изоляты, выделенные из ризосферы культурных и дикорастущих растений аридных экосистем Астраханской области, обладающие способностью к триптофаниндуцируемому синтезу индолил-3-уксусной кислоты, стимулированию прорастания семян томатов сортов Санька, Волгоградский, Космонавт Волков, Новичок. Семена инкубировали во влажных камерах, оценивали лабораторную всхожесть и морфометрические показатели проростков. Высокую всхожесть (90% и более) семян сорта Санька наблюдали при обработке суспензиями 12 изолятов, Волгоградский – 9, Космонавт Волков – 2, Новичок – 3. Суспензии изолятов 16/19 и 31/20 обеспечивают высокую всхожесть семян всех сортов: до 86,6 – 100 и 90 – 100% соответственно, 9/19 – существенно снижает ее у Волгоградского, Космонавта Волкова и Новичка на 66,6 – 56,7%. Отмечено, что суспензия изолята 16/19 помогает увеличивать биомассу у Саньки, Волгоградского и Космонавта Волкова до 273 – 449%, 31/20 обладает стимулирующим эффектом по отношению к морфометрическим показателям проростков всех сортов (увеличивает развитие корня на 73,3 – 183,3%, стебля – 46,8 – 100,5%). Суспензия изолята 9/19 ингибирует не только всхожесть семян, но и вызывает пониженное накопление биомассы проростков, угнетает развитие корней и стеблей сортов Волгоградский, Космонавт Волков и Новичок. Таким образом, изоляты 16/19 и 31/20 ризосферных бактерий оказывают стимулирующее действие как на всхожесть семян томатов, так и морфометрические параметры проростков.
Полный текст
Об авторах
Алина Равильевна Гальперина
ФГБОУ ВО «Астраханский государственный технический университет»
Автор, ответственный за переписку.
Email: alina_r_s@rambler.ru
кандидат биологических наук, доцент
Россия, г. АстраханьОльга Борисовна Сопрунова
ФГБОУ ВО «Астраханский государственный технический университет»
Email: alina_r_s@rambler.ru
доктор биологических наук, профессор
Россия, г. АстраханьАнна Николаевна Пархоменко
ФГБОУ ВО «Астраханский государственный технический университет»
Email: alina_r_s@rambler.ru
кандидат биологических наук, доцент
Россия, г. АстраханьСписок литературы
- Ахмедова П.М. Оценка новых гибридов томата в защищенном грунте // Вестник российской сельскохозяйственной науки. 2021. №1. С. 37-41. https://doi.org/10.30850/vrsn/2021/1/37-41
- ГОСТ 12038-84. Семена сельскохозяйственных культур. Методы определения всхожести = Agriculturalseeds. Methods for determination of germination: издание официальное: утвержден и введен в действие Постановлением Государственного комитета СССР по стандартам от 19.12.84 № 4710: дата введения 1986-07-01. М.: Стандартинформ, 2011.
- Церковняк Л.С. Фосфатмобилизирующие бактерии Bacillus subtilis – продуценты соединений фенольной природы // Прикладная биохимия и микробиология. 2009. Т. 45. С. 311–317.
- Юсупова Д.М., Бареева А.Ш., Гальперина А.Р., Сопрунова О.Б. Изучение способности ризосферных микроорганизмов к продукции ИУК и влиянию на рост растений // Инновации и продовольственная безопасность. 2023. № 3. С. 83–90. https://doi.org/10.31677/2311-0651-2023-41-3-83-90
- Almaghabi O.A., Massoud S.I., Abdelmoneim T.S. Influence of inoculation with plant growth promoting rhizobacteria (PGPR) on tomato plant growth and nematode reproduction under greenhouse conditions // Saudi Journal of Biological Sciences. 2013. V. 20. № 1. P. 57–61. https://doi.org/10.1016/j.sjbs.2012.10.004
- Dutta, S., Podile, A.R., Plant growth promoting rhizobacteria (PGPR): the bugs to debug the root zone // Critical Reviews in Microbiology. 2010. Vol. 36. № 3. Р. 232–244. https://doi.org/10.3109/10408411003766806
- Gupta, G., Parihar, S.S., Ahiwar, N.K. et al. Plant growth promoting Rhizobacteria (PGPR): Current and Future Prospects for Development of Sustainable Agriculture // Journal of Microbial Biochemical Technology. 2015. Vol. 7. № 2. P. 96–102. https://doi.org/10.4172/1948-5948.1000188
- Hayat R., Ahmed I., Sheirdil R.A. An overview of plant growth promoting rhizobacteria (PGPR) for sustainable agriculture. In: M. Ashraf, M. Oztürk, M.S.A. Ahmad, and A. Aksoy (eds.) Crop production for agricultural improvement. Berlin: Springer, 2012. P. 557–579. https://doi.org/ 10.1016/B978-0-443-16030-1.00017-1.
- Moustaine M., Elkahkahi R., Bebbouazza A. et al. Effect of plant growth promoting rhizobacterial (PGPR) inoculation on growth in tomato (Solanum lycopersicum L.) and characterization for direct PGP abilities in Morocco. International Journal of Environment, Agriculture and Biotechnology. 2017. Vol. 2. № 2. P. 590–596. https://doi.org/10.22161/ijeab/2.2.5
- Perez-Rodriguez M.M., Mariela P., Victor L. Et al. Pseudomonas fluorescens and Azospirillum brasilense increase the yield and fruit quality of tomatoes under field conditions // Journal of Soil Science and Plant Nutrition. 2020. V. 20. № 4. P. 1614–1624. https://doi.org/10.1007/s42729-020-00233-x
- Ramavath K., Hameeda B., Reddy G. Enhancement of Plant Growth in Tomato by Inoculation with Plant Growth Promoting Bacillus spp // World Journal of Agricultural Research. 2019. Vol. 7. № 2. P. 69–75. https://doi.org/10.12691/wjar-7-2-5
- Teale W.D., Paponov I.A., Palme K. Auxin in action: signalling, transport and the control of plant growth and development // Natures reviews. Molecular cell Biology. 2006. V. 7. № 11. P. 847–859. https://www.doi.org/10.1038/nrm2020
Дополнительные файлы





