Влияние дефицита азота на рост и развитие ярового двурядного ячменя, выращенного в условиях светокультуры*
- Авторы: Сурин Н.А.1, Герасимов С.А.1, Липшин А.Г.1, Ушакова С.А.2, Тихомиров А.А.2,3, Величко В.В.2,3, Грибовская И.В.2
-
Учреждения:
- Красноярский научно-исследовательский институт сельского хозяйства – обособленное подразделение ФИЦ КНЦ СО РАН
- Институт биофизики – обособленное подразделение ФИЦ КНЦ СО РАН
- Федеральное государственное бюджетное образовательное учреждение высшего образования «Сибирский государственный университет науки и технологий имени академика М.Ф. Решетнева
- Выпуск: № 4 (2024)
- Страницы: 13-21
- Раздел: Растениеводство и селекция
- URL: https://journals.rcsi.science/2500-2082/article/view/262617
- DOI: https://doi.org/10.31857/S2500208224040031
- EDN: https://elibrary.ru/xlwnlo
- ID: 262617
Цитировать
Полный текст
Аннотация
Цель работы – изучить в контролируемых условиях среды влияние дефицита азота в поливных растворах на структурные и функциональные характеристики ярового ячменя (Hordeum vulgare L.) сортов Оплот и Такмак (с 2022 года стандарт на всех сортоиспытательных участках Красноярского края). Растения выращивали в условиях светокультуры методом гидропоники на керамзите с постоянными условиями внешней среды при фотопериоде 17 ч день / 7 ч ночь. За основу приготовления поливных растворов взят раствор Кнопа (контроль) и раствор, в котором для уменьшения концентрации N-NO3 в два раза изменили содержание солей, чтобы сохранить концентрацию остальных макроэлементов. Сравнение скорости поглощения макроэлементов растениями ячменя сортов Оплот и Такмак в зависимости от состава поливного раствора показывает более высокую требовательность сорта Оплот к наличию элементов минерального питания в поливном растворе, чем Такмак. Дефицит азота в поливном растворе привел к снижению общего кущения примерно в 2,5 раза, но продуктивное кущение у Оплота уменьшилось в большей степени, чем у Такмака. При выращивании на растворе Кнопа у Оплота более высокая продуктивность, чем у сорта Такмак, на растворах с дефицитом азота урожай зерна уменьшился в 2,8 раза (Оплот), а у Такмака отличия между контрольным и опытным вариантами были недостоверными. Сорт Такмак показал более высокую устойчивость к дефициту азота в поливном растворе, проявив лучшую пластичность, по сравнению с Оплотом.
Ключевые слова
Полный текст
Яровой ячмень в Восточной Сибири – одна из главных фуражных культур. Его кормовая ценность определяется сбалансированным составом зерна по белку (15%) и жиру (2…3%). Основные площади сосредоточены в Красноярском крае – 144,7 тыс. га (13,0%). В региональных производственных посевах по уровню урожайности ячмень лидирует среди зерновых (более 24,0 ц/га), превышая этот показатель у пшеницы и овса на 2…4 ц/га. Вместе с тем урожайность по отдельным земледельческим зонам края варьирует от 12 до 50 ц/га. Это связано с большой контрастностью почвенно-климатических зон Красноярского края и Восточной Сибири, которые характеризуются засушливым климатом в южных районах и увлажненным в подтаежных и таежных зонах на севере. Более 33% пахотных земель региона подвергаются ветровой, водной и комплексной эрозии. Сдерживающий фактор широкого распространения ячменя в северных подтаежных и таежных районах, где он практически не пригоден для возделывания, – повышенная кислотность почв. Указанные обстоятельства ограничивают его распространение в Восточной Сибири, тем не менее увеличение объемов производства связано с внедрением новых высокоурожайных сортов, приспособленных к местным условиям. [6] Решить эту проблему может селекция – экологически безопасный прием повышения урожайности. [6, 11] Большое значение имеет рациональное использование доз минеральных удобрений, внесение которых должно разрабатываться не под конкретную культуру, а с учетом особенностей сорта, что может быть одним из способов увеличения производства биологически полноценного и экологически безопасного зерна ячменя. [4, 9, 16] Поглощение минеральных элементов за вегетацию происходит неравномерно. Недостаточная обеспеченность минеральным питанием в тот или иной период вегетации приводит к снижению урожая и ухудшению его качества. У всех растений критический период – фаза всходов. В прикорневой зоне в это время питательные элементы должны находиться в доступной форме, но невысокой концентрации. Второй период, в котором растения чувствительны к недостатку элементов минерального питания, – интенсивный прирост вегетативной массы, у зерновых культур это выход в трубку и колошение. [1] Важнейший питательный элемент, содержание которого в растениях зависит от их вида, возраста, почвенно-климатических условий, приемов агротехники – азот (N). [2, 12–14] Наибольшее содержание N отмечается в вегетативных органах молодых растений. Между содержанием N в определенные фазы роста в вегетативных частях растений и урожае установлена коррелятивная зависимость. [16] Предварительная оценка реакции растений на дефицит азота, проведенная в условиях светокультуры, вне зависимости от почвенно-климатических условий выращивания, позволит оценить перспективность районирования тех или иных селекционных образцов на почвах с определенным типом сложения и состава, более рационально использовать минеральные удобрения.
Цель работы – сравнить в контролируемых условиях среды влияние дефицита азота в поливных растворах на структурные и функциональные характеристики ярового ячменя (Hordeum vulgare L.) сортов Оплот и Такмак.
МАТЕРИАЛЫ И МЕТОДЫ
Объект исследования – сорта Оплот и Такмак ярового двурядного ячменя селекции КрасНИИСХ ФИЦ КНЦ СО РАН.
Сорт Такмак (Приазовский 9 × [(Винер × Омский 13709) × (Винер × Донецкий 650)] включен в Госреестр по Восточно-Сибирскому региону. [5] Куст полупрямостоячий. Растение высокорослое. C 2022 года – стандарт на всех сортоиспытательных участках Красноярского края.
Оплот – новый сорт двурядного гладкоостого ячменя, передан на Государственное сортоиспытание в 2023 году. Создан в Красноярском НИИСХ – обособленном подразделении ФГБНУ «Федеральный исследовательский центр «Красноярский научный центр СО РАН» методом гибридизации с последующим индивидуальным отбором из гибридной комбинации Золотник × Миг 16. Растение низкорослое (60,8 см в среднем за годы испытаний). Колос двурядный цилиндрический, рыхлый, желтый. Зерно от среднего до крупного (масса 1000 зерен – 37,0…51,3 г), удлиненной формы, желтое. Сорт раннеспелый, вегетационный период – 77…82 дня. Отличается высоким потенциалом продуктивности. В 2018 году на Тулунской ГСС показал максимальный урожай – 72,2 ц/га. Авторы: Н.А. Сурин, Н.Е. Ляхова, С.А. Герасимов, А.Г. Липшин, А.В. Бобровский, С.С. Голубев.
В условиях интенсивной светокультуры растения выращивали в трех вегетационных камерах с регулируемыми параметрами внешней среды. Площадь посева в первой и второй камерах – по 0,512 м2. В одной из них выращивали сорт Оплот, другой – Такмак, в третьей – оба сорта с площадью посева каждого 0,384 м2. Метод выращивания – гидропоника на керамзите. В качестве источников света использовали лампы ДРФ-1000 [15], расположенные вне камер. Между источниками света и растениями находился прозрачный потолок из оргстекла с проточной водой, поглощающий значительную часть инфракрасной радиации. Интенсивность фотосинтетической радиации (ФАР) (690 ± 70) мкммоль·м–2·с–1. Фотопериод – 17 ч день / 7 ч ночь. Температуру воздуха поддерживали днем на уровне 23 ± 1,5°С, ночью 14 ± 1,5°С. Для полива растений три раза в течение светового дня брали питательные растворы на основе модифицированной смеси Кнопа (табл. 1). В первых двух камерах приготовили раствор Кнопа, третьей – с уменьшенной в два раза концентрацией N-NO3 (табл. 1). В питательные растворы добавляли микроэлементы и Fe – ЭДТА. [3]
Таблица 1.
Состав солей для приготовления питательных растворов и содержание в них макроэлементов при выращивании растений ячменя сортов Оплот и Такмак в условиях светокультуры
Соль | Раствор, г/л | Элемент | Контроль, мг/л | Опыт, мг/л | |
Кнопа (контроль) | с дефицитом N (опыт) | ||||
KNO3 | 0,25 | - | N | 153 | 77 |
MgSO4·7H2O | 0,25 | 0,25 | K | 169 | 167 |
Ca(NO3)2·4H2O | 1,00 | 0,65 | Ca | 170 | 139 |
KH2PO4 | 0,25 | 0,30 | Mg | 25 | 25 |
CaCl2 | - | 0,08 | P | 57 | 68 |
K2SO4 | - | 0,18 | S | 33 | 33 |
Перед посевом семена обеззараживали смесью перекиси водорода и этанола, проращивали во влажной камере в чашках Петри. [7] Проклюнувшиеся семена высевали на глубину 2 см от верхнего уровня керамзита в вегетационные сосуды – 375 шт/м2. Были выбраны основные морфометрические параметры: высота растений и главного побега, количество побегов, сырая и сухая биомасса отдельных частей растений. Состояние фотосинтетического аппарата верхних листьев главного побега оценивали по массе и площади листьев, содержанию и соотношению фотосинтетических пигментов. Экстракцию пигментов проводили 96% этанолом. Навеска – не менее 0,4 г. Содержание фотосинтетических пигментов в листьях главного побега ячменя определяли на спектрофотометре UV-2804 (UNICO, США) и рассчитывали по формулам Wintermans, DeMots, общее содержание углеводов в пробах – модифицированным антроновым методом, липидов – гравиметрически, органический азот – методом Къельдаля. [7] Количество минеральных элементов в растениях устанавливали с помощью спектрометра ICP-OES iCAP 6300 Duo (Thermo Scientific, England, 2010) (EPA 200.7). Сырой протеин в расчете на сухое вещество рассчитывали после определения содержания органического азота методом Кьельдаля с последующим умножением на коэффициент 6,25. Результаты статистически обрабатывали общепринятыми методами с использованием стандартного программного пакета Microsoft Excel. В статье приведены средние значения показателей ± стандартная ошибка.
РЕЗУЛЬТАТЫ И ОБСУЖДЕНИЕ
Влияние концентрации N-NO3 в поливных растворах на поглощение макроэлементов
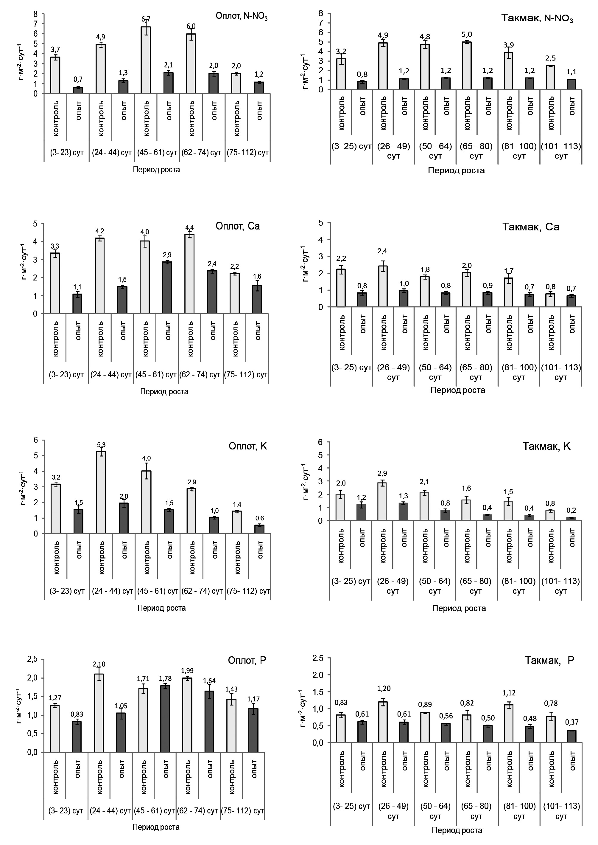
Поглощение N-NO3 растениями ячменя сортов Оплот и Такмак на протяжении первых 44 сут. вегетации в контроле практически не отличалось (рис. 1). В последующие 30 сут. скорость потребления N-NO3 растениями сорта Оплот была выше, чем у Такмака (td = 3 и 2,6 > tst = 2,4 при α ≤ 0,05 и n = 6) (рис. 1). Затем из-за более раннего срока созревания (Оплот) скорость поглощения N стала меньше, чем у сорта Такмак. Выращивание на растворах с дефицитом N-NO3 (концентрация в два раза меньше, чем в контроле) привело к снижению поглощения N растениями обоих сортов. В первые 25 сут. вегетации интенсивность поглощения азота у Оплота и Такмака уменьшилась в 5,6 и 4,3 раза соответственно, в последующие три периода роста снижение интенсивности поглощения N-NO3 по мере роста растений у Оплота составило от 3,0 до 3,8 раза, Такмака – от 3,2 до 4,0 раза. В последний период роста (75…112 сут. – Оплот и 101…113 сут. – Такмак) разница между интенсивностью поглощения N-NO3 в контрольном и опытном вариантах уменьшилась до 1,7 (Оплот) и 2,3 (Такмак) раза (рис. 1). В поливных растворах перед их сменой концентрации N-NO3 в опыте – 15 ± 5 мг/л, контроле – 65 ± 25 мг/л.
Рис. 1. Поглощение макроэлементов растениями ячменя сортов Оплот и Такмак в процессе роста и развития в зависимости от концентрации N-NO3 в поливном растворе. Над столбиками диаграмм указаны средние значения показателей (то же на рис. 2–7).
При выращивании на растворе Кнопа у Оплота более высокая потребность в Ca, K, и P, по сравнению с сортом Такмак. Уменьшение концентрации N-NO3 в поливном растворе привело к снижению интенсивности поглощения этих макроэлементов. В фазы кущения и выхода в трубку интенсивность поглощения Ca уменьшилась в три раза, по сравнению с контролем, далее – 1,7...1,9 раза (рис. 1). У сорта Такмак уменьшение этого показателя было в пределах 2,3 ... 2,5 раз. На последней фазе развития значимых отличий между поглощением Ca в опыте и контроле не наблюдали. В опыте интенсивность поглощения K у Оплота на протяжении всего вегетационного периода была в 2,5...2,8 раза ниже, чем в контроле, у Такмака в период от 3 до 48 сут. – 2,5...2,8, а затем в 3,5...3,7 раза ниже, чем в контроле.
На поглощение P двукратное снижение концентрации N-NO3 в поливном растворе сказалось несущественно. Интенсивность поглощения P растениями сорта Оплот до 44- суточного возраста уменьшилась в 1,5 и 2 раза (td = 4,5 > tst = 2,4 при α ≤ 0,05 и n = 6), а затем достоверных отличий от контроля не наблюдали. У Такмака до фазы выхода в трубку достоверных отличий в интенсивности поглощения P между контролем и опытом не было. Вплоть до периода созревания, отличия были достоверными (td – 3,1…8,0 > tst = 2,4 при n = 6). На протяжении всей вегетации при выращивании растений сортов Оплот и Такмак на растворах с дефицитом N потребности ячменя сорта Оплот в Ca, K, и P, как и в контроле, превышали потребности ячменя сорта Такмак, при этом особенно значительные различия между сортами связаны с потреблением P (рис. 1).
Влияние концентрации N-NO3 в поливных растворах на рост и развитие растений ячменя
Начиная с периода кущения, в опытном варианте переход от одной фазы развития к последующей у Оплота наступал на несколько суток раньше, чем в контроле (рис. 2). У Такмака развитие протекало в контроле и опыте почти одновременно вплоть до выхода в трубку. Но фаза трубкования оказалась в первом случае длиннее, чем во втором почти на 10 сут.
Рис. 2. Переход к очередной фазе развития (сутки от всходов) и количество побегов в зависимости от концентрации N-NO3 в поливном растворе.
В условиях светокультуры оба сорта проявили высокую способность к побегообразованию, но у Оплота она была выражена в меньшей степени, чем у Такмака. На фоне пониженного содержания в поливном растворе N-NO3 происходило значительное снижение побегообразования, количество побегов в опытном варианте до фазы колошения между сортами практически не отличалось. Более сильное угнетение побегообразования, по сравнению с контролем, было у Такмака, количество побегов в фазе колошения у него было в 9 раз меньше, Оплота – 2,6 раза, чем в контроле (рис. 2). Количество побегов в опытных вариантах у Оплота в этой фазе было в 1,6 раза больше, чем у Такмака.
Дефицит N в поливном растворе привел к снижению сырой массы растений обоих сортов, особенно во второй фазе трубкования перед началом колошения: в 3,7 и 4,5 раза у сортов Оплот и Такмак соответственно. Сухие массы растений в этот период уменьшились в 2,6 и 4,3 раза соответственно.
Снижение массы растений при выращивании на растворах с дефицитом N связано, в основном, с уменьшением побегообразования, при этом реакция обоих сортов была близка по отношению к контролю (рис. 3).
Рис. 3. Надземная масса растений ячменя сортов Оплот и Такмак в зависимости от фазы роста и концентрации N-NО3 в питательном растворе.
Влияние концентрации N-NO3 в поливных растворах на формирование фотосинтетического аппарата верхних листьев главного побега растений ячменя
Массы листьев верхнего яруса главного побега растений сорта Оплот, выращенных на растворе Кнопа, меньше чем у Такмака (рис. 4). У Оплота с увеличением ярусности листьев от 6 до 8 от уровня субстрата сырая и сухая масса уменьшалась, при этом у листьев 8 яруса (флаг-листья) в 4,9 и 4,0 раза соответственно оказалась меньше аналогичных масс листьев 6 яруса (рис. 4). У сорта Такмак отличия в сырой массе листьев 6 и 7 ярусов находились в пределах ошибки, 8 яруса (флаг-листья) в 1,9 раза меньше массы листа 6 яруса. Сухие массы листьев 7 и 8 ярусов главного побега у сорта Такмак достоверно от сухой массы листьев 6 яруса не отличались (td = 1,95 < tst= 2,23 при n = 12 и α < 0,05). Характеристика площадей листьев верхнего яруса контрольных растений сортов Оплот и Такмак повторяет закономерности, описанные при сравнении сырых масс соответствующих листьев. Поэтому разница в величине УПП соответствующих листьев у Оплота и Такмака в пределах ошибки эксперимента (рис. 4).
Рис. 4. Характеристика листьев верхнего яруса главного побега растений ячменя сортов Оплот и Такмак в зависимости от концентрации N-NО3 в питательном растворе.
Недостаток N в поливном растворе повлиял на формирование фотосинтетического аппарата листьев главного побега. Сырая и сухая масса листьев 6 яруса у сорта Оплот уменьшилась в 3,9 и 2,5 раза соответственно против 2,1 и 1,6 раза у Такмака. Сырая масса листьев 7 и 8 ярусов у Оплота уменьшилась в 2,4 и 3,1 раза, у Такмака в 4,0 и 5,3 раза соответственно. Снижение сухой массы листьев 7 и 8 ярусов также было менее значительным у Оплота, площади листьев верхнего яруса главного побега сорта Оплот – в пределах 2,5...2,7, Такмак – 1,5...3,4 раза. Из-за того, что сырая масса листьев и их площадь уменьшались в опытных вариантах непропорционально, наблюдалось снижение УПП листьев, но различия между контрольными и соответствующими опытными вариантами были недостоверными (рис. 4).
Концентрация хлорофиллов в листьях 6 и 7 ярусов главного побега ячменя сорта Оплот в контроле была несколько выше, чем в контроле у соответствующих листьев сорта Такмак, но в листьях 8 яруса (флаг-лист) концентрация хлорофиллов у Оплота была на 26% ниже, чем у Такмака (рис. 5). Выращивание ячменя на растворах с дефицитом N не повлияло на концентрацию хлорофиллов в листьях двух верхних ярусов, но в листьях 6 яруса сортов Оплот и Такмак наблюдали достоверное снижение их концентрации в 1,5 и 1,9 раза соответственно, по сравнению с контролем (td = 4,3 и 5,2 соответственно > tst = 2,4 при n = 6 и α ≤ 0,05). С учетом меньшей площади листьев в опытных вариантах обоих сортов общее содержание фотосинтетических пигментов в них было меньше, чем в аналогичных листьях соответствующих контрольных вариантов (рис. 5). Дефицит азота не оказал достоверного влияния на соотношение фотосинтетических пигментов в листьях верхнего яруса главных побегов ячменя обоих сортов (рис. 6).
Рис. 5. Содержание хлорофиллов в листьях верхнего яруса главного побега растений ячменя сортов Оплот и Такмак в зависимости от концентрации N-NО3 в питательном растворе.
Рис. 6. Соотношение фотосинтетических пигментов в листьях верхнего яруса главного побега растений ячменя сортов Оплот и Такмак в зависимости от концентрации N-NО3 в питательном растворе.
Влияние концентрации N-NO3 в поливных растворах на урожай растений ячменя
Из сравнения растений ячменя сортов Оплот и Такмак, выращенных на растворах Кнопа видно, что высота растений и длина стебля главного побега ячменя сорта Оплот превышает аналогичные показатели Такмака на 13 см, а длина колоса близка к данному показателю сорта Такмак (табл. 2).
Таблица 2.
Влияние концентрации N-NО3 в питательном растворе на характеристику растений ячменя сорта Такмак, достигших технической зрелости
Показатель | Оплот | Такмак | ||
Контроль | Опыт | Контроль | Опыт | |
Высота растения, см | 93,2 ± 0,7 | 60,1 ± 1,2 | 80,1 ± 1,0 | 75,1 ± 0,7 |
Длина стебля главного побега, см | 83,4 ± 0,8 | 52,8 ± 1,1 | 69,9 ± 1,0 | 66,7 ± 0,7 |
Длина колоса главного побега, см | 9,2 ± 0,1 | 7,7 ± 0,1 | 9,8 ± 0,3 | 8,4 ± 0,1 |
Общее кущение, шт./м2 | 9170 ± 511 | 4025 ± 210 | 9870 ± 735 | 4025 ± 385 |
Продуктивное кущение, шт./м2 | 4494 ± 165 | 1680 ± 70 | 3185 ± 315 | 2135 ± 105 |
Масса зерна главного побега, г/раст. | 0,80 ± 0,03 | 0,75 ± 0,04 | 0,73 ± 0,03 | 0,74 ± 0,04 |
Масса зерна боковых побегов, г/раст. | 6,31 ± 0,42 | 1,74 ± 0,13 | 2,80 ± 0,34 | 2,16 ± 0,17 |
Масса 1000 зерен главного побега, г | 55,3 ± 4,8 | 56,9 ± 2,6 | 39,9 ± 1,2 | 49,4 ± 5,3 |
Масса 1000 зерен боковых побегов, г | 44,8 ± 2,4 | 45,2 ± 3,2 | 35,0 ± 1,8 | 39,2 ± 2,7 |
Урожай зерна, кг/м2 | 2,5 ± 0,1 | 0,9 ± 0,1 | 1,2 ± 0,1 | 1,0 ± 0,1 |
Масса растений, кг/м2 | 7,5 ± 0,4 | 2,2 ± 0,1 | 7,4 ± 0,7 | 3,0 ± 0,2 |
Коэффициент хозяйственной эффективности, % | 33,3 ± 1,5 | 39,1 ± 2,0 | 16,6 ± 2,2 | 33,4 ± 2,3 |
К моменту уборки урожая разница в общем кущении между сортами в контрольных вариантах находилась в пределах ошибки, но продуктивное кущение у Оплота было достоверно в 1,4 раза выше, чем у Такмака (td = 3,68 > tst = 2,2 при n = 10 и α ≤ 0,05). Доля продуктивных побегов у Оплота – 49, Такмака – 33%. Масса 1000 зерен у ячменя сорта Оплот больше, чем у сорта Такмак. Масса зерна с колоса главного побега между сортами достоверно не отличалась, но масса зерна, полученная с боковых побегов у Оплота, была почти в 2,3 раза больше, чем у Такмака. В результате Кхоз. и урожай зерна ячменя сорта Оплот оказались в два раза выше, чем у Такмака (табл. 2).
Выращивание растений на растворах с дефицитом N привело к уменьшению высоты растений на 33 (Оплот) и 5 см (Такмак) (td = 24 и 4,1 соответственно > tst = 2,1 при n = 30 и α ≤ 0,05). Длина стебля главного побега у Оплота стала короче на 31, Такмака – 3 см (td = 22 и 2,6 соответственно > tst = 2,1 при n = 30 и α ≤ 0,05). Общее кущение, по сравнению с контролем, уменьшилось у обоих сортов в 2,4 раза, но продуктивное кущение уменьшилось в 2,7 (Оплот) и 1,5 раза (Такмак). Если продуктивное кущение в расчете на 1 м2 посева в контрольных вариантах у Оплота было на 1300 побегов больше, чем у Такмака, то в опытных, напротив, у Такмака оказалось на 500 продуктивных побегов больше, чем у Оплота (табл. 2).
Изменения массы зерна главных побегов ячменя обоих сортов опытных вариантов находились в пределах ошибки эксперимента, но масса зерна боковых побегов опытных растений у Оплота и Такмака уменьшилась в 3,6 и 1,3 раза соответственно. При выращивании на растворах с дефицитом азота урожаи зерна практически не отличались. Общая биомасса уменьшилась в 3,4 (Оплот) и 2,5 раза (Такмак), а Кхоз. увеличился в 1,2 (Оплот) и 2,0 раза (Такмак) (табл. 2).
Выращивание растений ячменя на растворах с дефицитом азота привело к увеличению содержания крахмала в зерне главных побегов. В зерне боковых побегов обоих сортов несколько уменьшилось содержание липидов (рис. 7).
Рис. 7. Биохимический состав зерна растений ячменя сортов Оплот и Такмак в зависимости от концентрации N-NО3 в питательном растворе.
Выводы. Сравнение скорости поглощения макроэлементов растениями ячменя сортов Оплот и Такмак в зависимости от состава поливного раствора показывает более высокую требовательность первого к наличию элементов минерального питания в поливном растворе.
Дефицит азота в поливном растворе не оказывал существенного влияния на концентрацию и соотношение фотосинтетических пигментов в верхних листьях главного побега обоих сортов, но значительное снижение массы и площади листьев привело к уменьшению содержания пигментов в расчете на лист, что не повлияло достоверно на массу зерен главных побегов обоих сортов.
При выращивании ячменя на растворе с достаточным обеспечением элементами минерального питания у Оплота наблюдали более высокую продуктивность, чем у Такмака. На растворах с дефицитом азота урожай зерна уменьшился в 2,8 раза (Оплот), у сорта Такмак отличия между контрольным и опытным вариантами были недостоверными, что связано с разницей между сортами в количестве продуктивных побегов в опытных вариантах. Такмак показал наиболее высокую устойчивость к дефициту N в поливном растворе и лучшую пластичность, по сравнению с Оплотом.
Об авторах
Николай Александрович Сурин
Красноярский научно-исследовательский институт сельского хозяйства – обособленное подразделение ФИЦ КНЦ СО РАН
Email: sofya-ushakova@yandex.ru
академик РАН
Россия, КрасноярскСергей Александрович Герасимов
Красноярский научно-исследовательский институт сельского хозяйства – обособленное подразделение ФИЦ КНЦ СО РАН
Email: sofya-ushakova@yandex.ru
кандидат сельскохозяйственных наук
Россия, КрасноярскАлексей Геннадьевич Липшин
Красноярский научно-исследовательский институт сельского хозяйства – обособленное подразделение ФИЦ КНЦ СО РАН
Email: sofya-ushakova@yandex.ru
кандидат сельскохозяйственных наук
Россия, КрасноярскСофья Аврумовна Ушакова
Институт биофизики – обособленное подразделение ФИЦ КНЦ СО РАН
Email: sofya-ushakova@yandex.ru
кандидат биологических наук
Россия, КрасноярскАлександр Аполлинарьевич Тихомиров
Институт биофизики – обособленное подразделение ФИЦ КНЦ СО РАН; Федеральное государственное бюджетное образовательное учреждение высшего образования «Сибирский государственный университет науки и технологий имени академика М.Ф. Решетнева
Email: sofya-ushakova@yandex.ru
доктор биологических наук
Россия, Красноярск; КрасноярскВладимир Владимирович Величко
Институт биофизики – обособленное подразделение ФИЦ КНЦ СО РАН; Федеральное государственное бюджетное образовательное учреждение высшего образования «Сибирский государственный университет науки и технологий имени академика М.Ф. Решетнева
Email: sofya-ushakova@yandex.ru
кандидат биологических наук
Россия, Красноярск; КрасноярскИлиада Владимировна Грибовская
Институт биофизики – обособленное подразделение ФИЦ КНЦ СО РАН
Автор, ответственный за переписку.
Email: sofya-ushakova@yandex.ru
кандидат биологических наук
Россия, КрасноярскСписок литературы
- Артюхова О.А., Гладышева О.В., Свирина В.А. Влияние элементов технологий возделывания на урожайность новых пивоваренных сортов ярового ячменя // Вестник российской сельскохозяйственной науки. 2020. № 2. С. 21–25. https://doi.org/10.30850/vrsn/2020/2/21-25.
- Кафтан Ю.В. Влияние засорённости посевов ячменя и минерального питания на урожайность в центральной зоне Оренбургской области // Известия Оренбургского государственного аграрного университета. 2021. № 4 (90). С. 104–108. doi: 10.37670/2073-0853-2021-90-4-104-108.
- Коваль С.В., Шаманин В.П. Растение в опыте. Омск: Издательство ИЦиГ СО РАН. ОмГАУ, 1999. 201 с.
- Пискарева Л.А., Чевердин А.Ю. Урожайность и качественные показатели зерна ячменя в зависимости от сортовых особенностей и уровня минерального питания // Journal of Agriculture and Environment. 2021. (17). https:/doi.org/10.23649/jae.2021.1.17.8 элект. форма.
- Сорт Такмак (ячмень яровой). ФГБУ Госсорткомиссия.[Электронный доступ]. – Режим доступа: https: // reestr.gossortrf.ru/sorts/8356368/, свободный. – (дата обращения: 16.05.2023).
- Сурин Н.А., Ляхова Н.Е. Культура ячменя в Восточной Сибири // Вестник КРАСГАУ. 2017. № 4. С. 52–65.
- Тихомиров А.А., Ушакова С.А., Величко В.В. и др. Особенности роста и развития сортов двурядного (v. nutans) и шестирядного ячменя (v. rikotense) в условиях светокультуры // Российская сельскохозяйственная наука. 2022. № 2. С. 19–24. doi: 10.31857/ S2500262722020041.
- Юсова О.А., Николаев П.Н. Изменение урожайности и качества зерна ячменя ярового с повышением адаптивности сортов // Зерновое хозяйство России. 2021. № 2. С. 75–80. https://doi.org/10.31367/2079-8725-2021-74-2-75-80.
- Якубышина Л.И., Логинов Ю.П. Урожайность семян сортов ячменя в зависимости от уровня минерального питания в северной лесостепи Тюменской области // Известия Оренбургского государственного аграрного университета. 2021. № 6 (92). С. 51–58. https://doi.org/10.37670/2073-0853-2021-92-6-51-58.
- Alqudah A.M., and Schnurbusch T. Awn primordium to tipping is the most decisive developmental phase for spikelet survival in barley // Funct. Plant Biol. 2014. 41. P. 424–436. https://doi.org/10.1071/Fp13248.
- Borras-elonch G., Slafer G. A., Casas A. M. et al. Genetic control of pre-heading phases and other traits related to development in a double-haploid barley (Hordeum vulgare L.) population // Field Crops Res. 2010. Vol. 119. PP. 36–47. doi: 10.1016/j.fcr.2010.06.013.
- Creissen H.E., Jorgensen T.H., Brown J.K.M. Increased yield stability of field-grown winter barley (Hordeum vulgare L.) varietal mixtures through ecological processes // Crop Protection. 2016. 85. PP. 1–8. http://dx.doi.org/10.1016/j.cropro.2016.03.001.
- Jia Q., Yang L., An H. et al. Nitrogen fertilization and planting models regulate maize productivity, nitrate and root distributions in semi-arid regions // Soil and Tillage Research. 2020. V. 200. 104636. https://doi.org/10.1016/j.still.2020.
- O’Donovan J.T, Turkington T.K., Edney M.J. et al. Seeding rate, nitrogen rate, and cultivar effects on malting barley production /// Agronomy journal. 2011. Vol. 103. No. 3. PP. 709–716. doi: 10.2134/agronj2010.0490.
- Prikupets L.B. Technological Lighting for AgroIndustrial Installation in Russia // Light &Engineering. 2018. Vol. 26. No. 4. PP. 7–17. doi: 10.33383/2017-079.
- Vaziritabar Y., Frei M., Yan F. et al. Enhancing nitrogen use efficiency and plant productivity in long-term precrop/crop rotation and fertilization management // Field Crops Research Vol. 306. 1 February 2024, 109210. https://doi.org/10.1016/j.fcr.2023.109210.
Дополнительные файлы










