Changes in the corn yield structure depending on genetic characteristics, background mineral nutrition and sowing time in the Khabarovsk Krai
- Authors: Lukashina A.A.1
-
Affiliations:
- Federal State Budgetary Institution of Science Khabarovsk Federal Research Center of the Far Eastern Branch of the Russian Academy of Sciences Far Eastern Agricultural Research Institute
- Issue: No 2 (2024)
- Pages: 36-41
- Section: Crop Production and Selection
- URL: https://journals.rcsi.science/2500-2082/article/view/255695
- DOI: https://doi.org/10.31857/S2500208224020083
- ID: 255695
Cite item
Full Text
Abstract
This study presents the results of a three-factor experiment on corn yield structure depending on the genetic characteristics and hybrids, mineral nutrition background and sowing dates. The experiment was carried out in Khabarovsk Krai in fourfold repetition on corn crops of local selection varieties Birsu, ALitet 2 and Guran 2 and hybrids of foreign selection Moldavsky 215 SV, P 7515, P 8521, P 7460; on three mineral nutrition backgrounds: № 1 (control) – N90P90K90, № 2 – N110P110K90, № 3 – N130P130K90; in 2 sowing dates with 5 days apart. The studies were carried out in 2021–2022 on the experimental field of the Far Eastern Agricultural Research Institute, the soil of the experimental section was meadow-brown, heavy loamy. The highest grain yield up to 125.3 c/ha was noted on the mineral nutrition background № 2 (N110P110K90) and № 3 (N130P130K90). Yield structure indicators depended more on varietal features of plants (46.0–73.4%) rather than on mineral nutrition background (6.2–17.8%) and sowing dates had sufficient influence (0.18–2.59%). However, the weight of 1000 grains was more influenced by additional application of nitrogen and phosphorus (40.67%) rather than varietal features (32.71%). In this study varieties of local breeding Alitet 2 and Guran 2 are recommended for cultivation in Khabarovsk Krai as they give a good grain yield, responsive to the additional application of nitrogen and phosphorus, correspond to the region conditions in terms of precocity, suitable both for harvesting silage and green fodder and for harvesting grain forage.
Full Text
Кукурузу широко используют в сельском хозяйстве как кормовую и продовольственную культуру. [8] В среднем в 1 кг ее зерна – 1,34 корм. ед. и 78 г переваримого протеина. В сухом веществе содержатся безазотистые экстрактивные вещества (БЭВ) – 65…70%, белок – 8…12, сахар – 2, крахмал – 65…75, пентозаны – 5, клетчатка – 2,5%, витамины. Зерно хорошо усваивается животными, поэтому его включают в комбикорма, также на корм идут стебли, листья и початки. В зеленой массе находится 12% сахара, много каротина и витамина С, что необходимо для качественной консервации корма. В мировом объеме на продовольственные нужды идет более 20% зерна, технические – 20, на корм скоту – около 60%. Кукурузу возделывают в большинстве регионов Российской Федерации. [1, 2, 4, 6, 8, 10]
Минеральные удобрения способны повысить урожай и качество получаемой продукции при рациональном использовании. Их внесение регламентируется потребностями растений в тепле, свете, влаге в зависимости от обеспеченности почв элементами питания. Оптимизация условий получения растениями микро- и макроэлементов приводит к росту продуктивности кукурузы и положительно влияет на обеспечение животноводческой отрасли сельского хозяйства качественными кормами. Для высокого и качественного урожая сорта и гибриды кукурузы должны быть адаптированы к условиям среды региона или быть местной селекции. Также важны фон минерального питания, срок сева, густота стояния и погодные условия. [7, 9]
Цель работы – оценить изменение структуры урожая кукурузы в зависимости от генетических особенностей, фона минерального питания и сроков посева в Хабаровском крае.
МАТЕРИАЛЫ И МЕТОДЫ
Объект изучения – сорта кукурузы местной селекции Бирсу, Алитет 2, Гуран 2 и гибриды зарубежной – Р 7515, Р 7460, Р 8521, Молдавский 215 СВ. Опыт провели в 2021 и 2022 годах на поле Дальневосточного научно-исследовательского института сельского хозяйства, предшественник – соя. Почва участка – лугово-бурая тяжелосуглинистая, рНсол пахотного слоя перед закладкой опыта – 4,7, содержание гумуса (по Тюрину) – 4,7%, Р2О5 (по Кирсанову) – 4,2 мг/100 г почвы, К2О5 (по Масловой) – 25 мг/100 г почвы. Кукурузу высевали на глубину 4…5 см, фоновая доза минеральных удобрений – N90P90K90 т/га действующего вещества. Агротехнические мероприятия проводили по рекомендациям общепризнанной технологии в Приамурье, возделывали гребне-грядовым методом. [3, 5] В 2021 году внесли почвенный гербицид Ацетал ПРО (1,8 л/га), 2022 – Дублон Голд (45 г/га) + прилипатель Адью (0,2 л/га) в фазе трех–пяти листьев.
Погодные условия 2021 и 2022 годов отличались от среднемноголетней нормы, но удовлетворяли потребности растений в тепле и влаге (рис. 1). Весной почва была прогрета хорошо благодаря теплой и сухой погоде. Средняя температура мая 2021 составила 12,12°С, 2022 – 12,60°С, что выше среднемноголетней на 0,12 и 0,6°С соответственно. Летом температура превышала норму в июне 2021 года на 0,7°С, 2022 – 0,1, июле – 4,3°С и 1,8°С соответственно, августе 2021 года – 1,2°С, в 2022 году превышения не было (19,6°С). В сентябре 2021 года температура была выше нормы на 1,5°С, 2022 – 1,0°С. В 2021 году была в основном сухая погода с недостатком влаги в июле (33% нормы), августе (96), сентябре (73) и некритичным переувлажнением в мае на 13 и июне на 22% выше нормы. Переизбыток влаги в мае 2022 года – 6%, августе – 142 и сентябре – 27%, недостаток – в июне (88) и июле (38%).
Рис. 1. Погодные условия 2021–2022 года
Таким образом, дефицит осадков в июле и повышенная температура воздуха привели к сокращению времени цветения, ухудшению условий опыления и оплодотворения, что отрицательно сказалось на завязывании семян.
Метод исследования – трехфакторный полевой опыт по схеме 3×2×7 м в четырехкратной повторности (табл. 1).
Таблица 1. Схема трехфакторного полевого опыта, 2021–2022 годы
Фактор А (удобрения) | Фактор В (срок сева) | Фактор С (гибриды) |
Фон № 1 (контроль N90P90K90) | 1 | Бирсу |
Алитет 2 | ||
Гуран 2 | ||
Р 7515 | ||
Р 8521 | ||
Р 7460 | ||
Молдавский 215 СВ | ||
2 | Бирсу | |
Алитет 2 | ||
Гуран 2 | ||
Р 7515 | ||
Р 8521 | ||
Р 7460 | ||
Молдавский 215 СВ | ||
Фон № 2 (N110P110K90) | 1 | Бирсу |
Алитет 2 | ||
Гуран 2 | ||
Р 7515 | ||
Р 8521 | ||
Р 7460 | ||
Молдавский 215 СВ | ||
2 | Бирсу | |
Алитет 2 | ||
Гуран 2 | ||
Р 7515 | ||
Р 8521 | ||
Р 7460 | ||
Молдавский 215 СВ | ||
Фон № 3 (N130P130K90) | 1 | Бирсу |
Алитет 2 | ||
Гуран 2 | ||
Р 7515 | ||
Р 8521 | ||
Р 7460 | ||
Молдавский 215 СВ | ||
2 | Бирсу | |
Алитет 2 | ||
Гуран 2 | ||
Р 7515 | ||
Р 8521 | ||
Р 7460 | ||
Молдавский 215 СВ |
Контроль – сорт Бирсу первого срока на фоновом удобрении N90P90K90 (№ 1). Было изучено дополнительное внесение азота и фосфора в дозе: N110P110K90 (№ 2) и N130P130K90 (№ 3). Разница между сроками сева пять дней (22 и 28 мая в 2021 году, 16 и 21 мая в 2022). Уборку на зерно проводили ручным способом после окончания вегетативного периода растений кукурузы в сентябре.
РЕЗУЛЬТАТЫ
Изучено влияние сортовых особенностей, удобрений и сроков сева на структуру урожая кукурузы в Хабаровском крае (табл. 2).
Таблица 2. Элементы структуры урожая кукурузы, 2021–2022 годы
Фон минерального питания | Срок сева | Сорт/гибрид | Масса 1000 зерен, г | Выход зерна% | Длина початка,см | Среднее число рядов в початке,шт. | Среднее число зерен в ряду, шт. | Средний вес одного початка, г |
№ 1 (контроль N90P90K90) | 1 | Бирсу | 220,0 | 66,7 | 16,1 | 11,6 | 28,0 | 150,0 |
Алитет 2 | 231,0 | 77,9 | 17,5 | 12,0 | 33,5 | 162,0 | ||
Гуран 2 | 242,5 | 76,2 | 15,8 | 12,8 | 32,3 | 157,0 | ||
Р 7515 | 232,5 | 80,9 | 17,2 | 14,2 | 34,6 | 212,5 | ||
Р 8521 | 212,5 | 81,0 | 15,5 | 14,5 | 36,0 | 202,5 | ||
Р 7460 | 232,5 | 81,9 | 16,7 | 14,3 | 41,2 | 224,5 | ||
Молдавский 215 СВ | 192,5 | 76,3 | 12,8 | 12,3 | 27,2 | 152,0 | ||
2 | Бирсу | 220,0 | 75,0 | 14,6 | 11,5 | 30,8 | 165,8 | |
Алитет 2 | 230,0 | 77,3 | 17,4 | 13,5 | 31,5 | 173,5 | ||
Гуран 2 | 240,0 | 73,7 | 16,6 | 13,5 | 25,4 | 171,0 | ||
Р 7515 | 195,0 | 81,5 | 15,2 | 14,5 | 31,8 | 222,5 | ||
Р 8521 | 237,5 | 80,7 | 15,9 | 14,7 | 37,7 | 243,5 | ||
Р 7460 | 217,5 | 80,6 | 15,5 | 14,3 | 33,5 | 177,5 | ||
Молдавский 215 СВ | 197,5 | 80,2 | 13,7 | 11,8 | 28,7 | 138,3 | ||
№ 2 (N110P110K90) | 1 | Бирсу | 243,0 | 78,8 | 16,3 | 12,5 | 31,8 | 179,2 |
Алитет 2 | 242,5 | 78,5 | 16,0 | 13,0 | 31,7 | 220,8 | ||
Гуран 2 | 237,5 | 80,6 | 16,2 | 13,0 | 33,1 | 185,0 | ||
Р 7515 | 235,0 | 83,1 | 17,9 | 15,3 | 41,8 | 285,0 | ||
Р 8521 | 255,0 | 80,5 | 17,2 | 14,4 | 38,2 | 246,3 | ||
Р 7460 | 235,0 | 81,7 | 16,7 | 15,1 | 37,8 | 254,3 | ||
Молдавский 215 СВ | 242,5 | 81,8 | 16,3 | 12,7 | 32,8 | 144,0 | ||
2 | Бирсу | 255,0 | 78,5 | 16,2 | 11,7 | 31,6 | 168,3 | |
Алитет 2 | 255,0 | 80,6 | 18,0 | 12,8 | 32,7 | 170,0 | ||
Гуран 2 | 240,0 | 81,4 | 17,5 | 13,4 | 29,3 | 169,0 | ||
Р 7515 | 237,5 | 84,1 | 16,6 | 16,2 | 36,6 | 228,6 | ||
Р 8521 | 252,5 | 82,0 | 16,6 | 15,2 | 37,3 | 260,0 | ||
Р 7460 | 245,0 | 80,8 | 17,1 | 14,7 | 41,7 | 257,1 | ||
Молдавский 215 СВ | 215,0 | 82,7 | 16,2 | 12,2 | 30,8 | 168,0 | ||
№ 3 (N130P130K90) | 1 | Бирсу | 260,0 | 74,7 | 15,7 | 12,2 | 29,6 | 159,0 |
Алитет 2 | 250,0 | 81,8 | 16,3 | 13,0 | 30,7 | 212,0 | ||
Гуран 2 | 245,0 | 78,6 | 17,0 | 12,6 | 33,5 | 194,0 | ||
Р 7515 | 267,5 | 82,6 | 17,2 | 14,5 | 39,2 | 292,7 | ||
Р 8521 | 260,0 | 82,0 | 16,7 | 13,8 | 38,7 | 233,7 | ||
Р 7460 | 245,0 | 80,9 | 16,2 | 14,8 | 39,0 | 251,6 | ||
Молдавский 215 СВ | 217,5 | 79,9 | 14,3 | 12,7 | 30,5 | 156,0 | ||
2 | Бирсу | 262,5 | 75,7 | 15,4 | 12,4 | 29,1 | 159,0 | |
Алитет 2 | 252,5 | 78,9 | 16,8 | 12,8 | 32,9 | 169,7 | ||
Гуран 2 | 260,0 | 76,4 | 15,5 | 12,8 | 30,5 | 159,5 | ||
Р 7515 | 252,5 | 79,9 | 16,1 | 14,8 | 36,8 | 195,2 | ||
Р 8521 | 255,0 | 81,8 | 16,6 | 14,3 | 38,3 | 228,4 | ||
Р 7460 | 260,0 | 81,0 | 16,1 | 14,5 | 37,8 | 231,1 | ||
Молдавский 215 СВ | 210,0 | 79,7 | 14,5 | 11,0 | 28,2 | 146,0 | ||
НСРА | 18,1 | 3,0 | 0,6 | 0,6 | 2,1 | 16,0 | ||
НСРВ | 14,7 | 2,5 | 0,5 | 0,5 | 1,7 | 12,7 | ||
НСРС | 27,6 | 4,6 | 0,9 | 0,9 | 3,2 | 23,8 | ||
НСРАС | 47,8 | 8,0 | 1,5 | 1,5 | 5,5 | 41,3 | ||
НСРСВ | 39,0 | 6,5 | 1,2 | 1,2 | 4,5 | 33,7 | ||
НСРАВ | 25,5 | 4,3 | 0,8 | 0,8 | 2,9 | 22,1 | ||
НСРАВС | 67,5 | 11,2 | 2,2 | 2,1 | 7,7 | 58,4 | ||
Значительное влияние на структуру урожая оказали генетические особенности сортов и гибридов.
Наибольший выход зерна среди гибридов зарубежной селекции был у Р 7515 (84,1%), сортов местной селекции Алитет 2 (80,6) и Гуран 2 (83,1%) на фоне минерального питания № 2 (N110P110K90), превысив контроль. На этот показатель самое сильное действие оказали сортовые особенности (53,56%) и фон минерального питания (17,52), срок сева – 0,22%. Взаимодействие факторов отмечали по парам: сорт-фон минерального питания (14,04%), срок сева-фон минерального питания (2,00), фон минерального питания-срок сева (4,72%). Взаимодействие всех факторов составило 7,69%.
Длина початка на 46,73% зависит от генетических особенностей (до 18,0 см у Алитет 2) и 17,80% от фона минерального питания, на 11,3% превышает контроль на фоне № 2 и 6% (№ 3), сроки сева не оказали значительного влияния (0,18%). Взаимодействие факторов: сорт-фон минерального питания – 14,04%, срок сева-фон минерального питания – 2,00, сорт-срок сева – 4,72%, тройное – 7,69%.
На число рядов в початке действует генетика (86,18%) и удобрения (2,80). При оценке двойного влияния наименьший эффект имел срок сева-фон минерального питания (0,5%), сорт-фон минерального питания – 3,75, фон минерального питания-срок сева – 3,99%. Тройное действие – 2,59%.
Среднее число зерен в ряду не превышало 16,2 у гибрида Р 8521 на фоне минерального питания № 2. На это повлияли сортовые особенности (73,42%), фон минерального питания – 6,23, срок сева – 2,59, срок сева-фон минерального питания – 0,23, фон минерального питания-удобрения – 5,23, срок сева-сорт – 5,04%. Тройное взаимодействие факторов было на уровне 7,26%.
Средний вес одного початка варьировал от 150,0 до 179,2 г (Бирсу) и от 224,0 до 285,0 г (Р 7515). Вес одного початка зависел от генетики на 71,92%, удобрений – 7,81, срока сева – 2,54%. Практически одинаковое влияние оказало взаимодействие факторов удобрения-срок сева и удобрения-сорт – 2,87% и 2,81% соответственно, срок сева-сорт были на уровне 6,15%. Тройное взаимодействие факторов – 5,89%.
На массу 1000 зерен большее влияние (40,67%) оказал фон минерального питания, чем сортовые особенности (32,71%), срок сева значения не имел (0,01%). Двойное действие распределилось следующим образом: удобрения-срок сева – 0,38%, срок сева-сорт – 12,30, удобрения-сорт– 4,99%, тройное – 8,93%. Лучшие результаты были на фоне минерального питания № 2 у Алитет 2 (255,0 г).
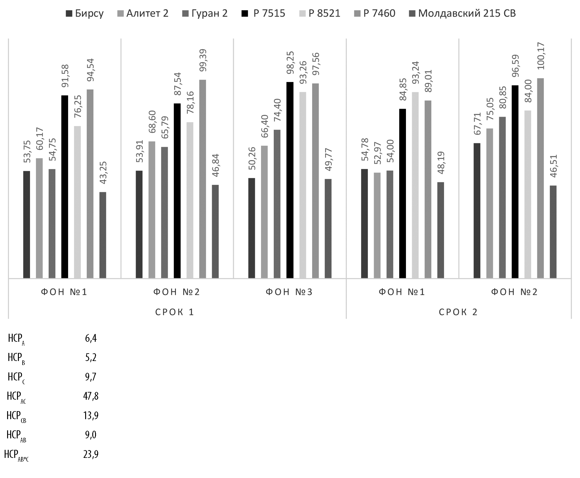
Наибольший урожай зерна 14% стандартной влажности был получен на фоне N110P110K90 от гибрида Р 7460 (100,2 ц/га), новые сорта Алитет 2 и Гуран 2 превысили контрольный Бирсу на 75,1 и 80,9 ц/га соответственно (рис. 2).
Рис. 2. Средняя урожайность зерна кукурузы, ц/га
На урожайность зерна 14% влажности влияли сортовые особенности на 69,98%, минеральное питание – 5,2, срок сева – 1,38%. Взаимодействие минерального питания и срока сева – 2,15%, минерального питания и сортовых особенностей – 9,8, срока сева и сорта – 3,75, трех факторов – 7,75%.
При оценке гибридов и сортов кукурузы необходимо учитывать сроки созревания до полной спелости зерна и молочно-восковой для заготовки силоса. Следует учитывать, что климат Хабаровского края – муссонный. Новые сорта Алитет 2, Гуран 2, стандартный Бирсу и гибрид Молдавский 215 СВ удовлетворяют погодным условиям, вызревают до полной спелости и достигают молочно-восковой до сезона дождей, у гибридов Р 7515, Р 8521 и Р 7460 эти периоды наступают позже, и они не могут быть заготовлены в виде качественного силоса и зернофуража на корм скоту.
Выводы. Показатели структуры урожая (выход зерна, длина початка, среднее число рядов в початке, число зерен в ряду, средний вес початка) зависят в первую очередь от сортовых особенностей растений (46,0…73,4%), в меньшей от фона минерального питания (6,2…17,8%) и срока сева (0,18…2,59%). На массу 1000 зерен больше повлияло дополнительное внесение азота и фосфора (40,67%), чем сортовые особенности (32,71%), срок сева – 0,01%.
Урожайность зерна 14% стандартной влажности была выше при дополнительном внесении азота и фосфора у гибридов иностранной селекции (Р 7460 до 100 ц/га) и среди местных сортов (Гуран 2 – 280,9 ц/га).
Установили, что для Хабаровского края наиболее оптимальные для выращивания в кормовых целях – новые сорта местной селекции Алитет 2 и Гуран 2, способные давать хороший урожай зерна, полностью вызревать в экстремальных погодных условиях.
About the authors
A. A. Lukashina
Federal State Budgetary Institution of Science Khabarovsk Federal Research Center of the Far Eastern Branch of the Russian Academy of Sciences Far Eastern Agricultural Research Institute
Author for correspondence.
Email: belokop.2011@mail.ru
ORCID iD: 0000-0002-4104-9498
Researcher, PhD Student
Russian Federation, Vostochnoye village, Khabarovsk TerritoryReferences
- Bagrinceva V.N., Ivashenenko I.N. Vliyanie pogodnyh uslovij v Stavropol’skom krae na effektivnost’ doz azotnogo udobreniya na kukuruze // Agrohimiya. 2020. № 2. S. 77–83.
- Bel’tyukov L.P., Kuvshinova E.K., Tyurin I.M., Kozlov V.A. Produktivnost’ gibridov kukuruzy v zavisimosti ot udobrenij gustoty stoyaniya rastenij. Zernograd: Azovo-Chernomorskij inzhenernyj institut FGBOU VPO DGAU, 2015. 182 s.
- Voloshin E.I., Avetisyan A.T. Primenenie udobrenij pri vozdelyvanii kukuruzy v Srednej Sibiri: metod. ukazaniya [Elektronnyj resurs], Krasnoyar. gos. agrar. un-t. Krasnoyarsk, 2018. 31 s.
- Govor E.M., Hatefov E.B. Ranzhirovanie kollekcii kukuruzy (Zea mays L.) VIR po selekcionno cennym priznakam v agroklimaticheskih usloviyah Respubliki Belarus’. Trudy po prikladnoj botanike, genetike i selekcii. 2020. № 181 (2). С. 28–34.
- Zubrev A.I. Intensivnaya tekhnologiya vozdelyvaniya kukuruzy v Habarovskom krae // Metodologicheskie rekomendacii VASKHNIL. Novosibirsk, 1990, 72 s.
- Kolomiec T.M., Kiseleva M.I., Zhemchuzhina N.S. i dr. Osobennosti vidovogo sostava patogennyh gribov roda Fusarium v biocenozah kukuruzy Voronezhskoj oblasti. Vavilovskij zhurnal genetiki i selekcii. 2022. № 26 (6). С. 583–592. doi: 10.18699/VJGB-22-71
- Panihin P.A., Sokolov V.A. Furazhnye kachestva geterozisnyh mezhrodovyh gibridov kukuruzy s gamagrassom. Trudy po prikladnoj botanike, genetike i selekcii. 2020; 181 (1): 17–23. doi: 10.30901/2227-8834-2020-1-17-23
- Sotchenko V.S. Perspektivy proizvodstva zerna kukuruzy v Rossijskoj Federacii. Mat. nauch.-prakt. konf. «Selekciya i semenovodstvo, proizvodstvo zerna kukuruzy». Pyatigorsk: Kavkazskaya zdravnica, 2002. С. 5–16
- Bumbar I.V., Shchegorets O.V., Sinigovskaya V.T. et al. Optimization of agrotechnical terms of harvesting of crops, design and operating parameters of crop-harvesting machines under conditions of the Amur region Russian // Federation Plant Archives Journal. 2018. Vol. 18 (2). P. 2567–2572.
- Strom N. Noah Interactions between Soil Properties, Fungal Communities, the Soybean Cyst Nematode, and Crop Yield under Continuous Corn and Soybean Monoculture // Applied Soil Ecology. 2020. Vol. 147. PP. 103–388.




