Evaluation of the effects of quercetin and dihydroquercetin on cellular behavior and biomarkers of senescence in mesenchymal stem/stromal cells obtained from elderly patients
- Authors: Novoseletskaya E.S.1,2, Klementyeva A.G.1, Fedotov D.A.1, Alexandrushkina N.A.1, Basalova N.A.1, Grigoryeva O.A.1, Vigovsky M.A.1, Daudov I.S.1, Orlova I.A.1, Efimenko A.Y.1
-
Affiliations:
- Lomonosov Moscow State University
- Shenzhen MSU-BIT University
- Issue: Vol 20, No 3 (2025)
- Pages: 264-277
- Section: Original Study Articles
- URL: https://journals.rcsi.science/2313-1829/article/view/320380
- DOI: https://doi.org/10.17816/gc678269
- EDN: https://elibrary.ru/TDWIJG
- ID: 320380
Cite item
Abstract
BACKGROUND: The accumulation of senescent cells in human tissues and organs leads to a decrease in the ability of tissues to renew and function normally, which affects the aging of the organism as a whole and contributes to the development of age-associated diseases. Selective elimination of senescent cells using senolytics may be a potential therapeutic approach in the prevention of such diseases.
AIM: The main aim of this study was to investigate the effects of promising senolytics (quercetin and dihydroquercetin) on the behavior of senescent mesenchymal stem/stromal cells (sMSCs) obtained from elderly donors.
METHODS: During the study of the effect of senolytics on sMSCs, tests assessing such characteristics and aspects of cell behavior as cell ageing markers, apoptosis, mitochondrial activity, and secretory activity were performed. We used the following research methods: light microscopy, fluorescence microscopy, real-time PCR with reverse transcription, timelapse, XTT test, ICC, and ELISA.
RESULTS: In the heterogeneous population of primary isolated sMSCs obtained from elderly patients, cells with markers of cell aging (β-galactosidase, p21 expression, secretory senescence-associated phenotype (SASP)) prevail in comparison with the control. The addition of senolytics to sMSCs can contribute to the change of functional properties of these cells, including a decrease in the expression of p21 and production of SASP components. Based on IHC results for the cellular senescence marker p21, the mean elimination efficiency was 20.35% for quercetin and 57.36% for dihydroquercetin. Significant changes in SASP components (PAI-1, IL-6, MCP-1) in the conditioned medium of sMSCs were observed only with dihydroquercetin treatment.
CONCLUSION: The results also demonstrate that quercetin induces statistically significant apoptosis in sMSCs compared to untreated controls, partially confirming its senolytic properties. In contrast, dihydroquercetin does not induce apoptosis and maintains cell viability. Thus, dihydroquercetin exhibits senomorphic properties — the ability to revert senescent cells to their original phenotype.
Full Text
ВВЕДЕНИЕ
Прогресс позволил значительно улучшить условия жизни многих людей, что неизбежно повлияло на увеличение продолжительности их жизни. Данное утверждение справедливо и в отношении населения Российской Федерации. Согласно данным Федеральной службы государственной статистики (Росстат) за 2022 год, количество людей старше трудоспособного возраста с 2002 года (20,5%) увеличилось и на 2022 год составляло 24% населения1. Однако с увеличением продолжительности жизни у людей часто наблюдаются возраст-ассоциированные заболевания и состояния, такие как сердечно-сосудистые и онкологические заболевания, нейродегенеративные заболевания, заболевания опорно-двигательной системы, сахарный диабет 2-го типа и др. [1]. По данным Росстата, с 2018 года среди лиц, являющихся инвалидами, больше всего людей старше трудоспособного возраста2. В 2022 году данный показатель составил 64%, и 24% — относительно общего количества лиц старше трудоспособного возраста. В связи с вышесказанным повышение качества и продолжительности жизни пожилых людей представляет собой одну из ключевых задач регенеративной медицины.
Старение организма — это ухудшение всех физиологических функций, которое носит мультифакторный характер. Важный вклад в этот процесс вносит накопление сенесцентных (старых) клеток в органах и тканях. Сенесцентная клетка обладает следующими характерными свойствами: утрата способности к делению, изменение фенотипа (она становится больше, увеличивается её метаболическая и лизосомальная активность). В конечном итоге она приобретает секреторный фенотип, ассоциированный со старением (senescence-associated secretory phenotype, SASP) [2]. Секретом клеток с SASP включает целый перечень различных биологически активных веществ, таких как провоспалительные цитокины, ростовые факторы, хемокины и протеазы. Состав секретома сенесцентных клеток зависит от триггера или первопричины запуска процессов изменения клетки в сторону сенесцентности. Выделяют несколько механизмов, индуцирующих старение клетки: повреждение ДНК, дисфункция митохондрий, перестройка хроматина и прочие причины. При этом компоненты секретома клеток с SASP могут запустить старение окружающих клеток, а затем и старение микроокружения клетки [3].
Мезенхимные стволовые/стромальные клетки (МСК) обеспечивают клеточный гомеостаз и поддержание самообновления тканей. Ранее нами было показано, что МСК играют важную роль в регуляции дифференцировки стволовых клеток за счёт секреторной активности, в то же время секретом сенесцентных МСК (сМСК) подавляет адипогенную дифференцировку контрольных МСК от молодых доноров [4]. Предполагается, что, восстановив физиологический баланс между МСК и сМСК за счёт элиминации избыточного количества сМСК, можно активировать обновление тканей и повысить их способность к регенерации.
Вещества, позволяющие избирательно элиминировать сенесцентные клетки, называются сенолитиками. В данной работе мы выбрали сенолитики кверцетин и дигидрокверцетин для оценки эффективности воздействия на сМСК. Данные сенолитики относятся к флавоноидам, обладающим антиоксидантной активностью. Безопасность их применения была неоднократно изучена, и в настоящий момент проводятся клинические испытания с этими сенолитиками (девять с использованием кверцетина и три с использованием дигидрокверцетина) [5]. Однако эффект воздействия данных соединений на поведение человеческих стволовых и стромальных сенесцентных клеток остаётся малоизученным. В данном исследовании мы провели сравнительный анализ эффективности сенолитиков кверцетина и дигидрокверцетина при воздействии на сМСК человека.
ЦЕЛЬ
Главной целью данного исследования являлось изучение воздействия сенолитиков (кверцетина и дигидрокверцетина) на свойства сМСК, полученных от пожилых доноров.
МЕТОДЫ
Сенолитики
В работе использованы водные растворы сенолитиков, относящихся к группе флавоноидов: кверцетин (ООО «Продвинутые технологии», Россия), а также дигидрокверцетин (ООО «Продвинутые технологии», Россия).
Выделение и культивирование мезенхимных стволовых клеток
В работе использованы МСК, иммортализованные с помощью человеческой теломеразы (ATCC® SCRC-4000TM) (иМСК), а также первично выделенные МСК жировой ткани человека. Все первично выделенные клетки были получены от относительно здоровых доноров, соответствующих критериям включения и исключения, подробно описанным ранее [6], и криоконсервированы в биобанке Центра регенеративной медицины Медицинского научно-образовательного института Московского государственного университета имени М.В. Ломоносова. Возраст молодых доноров — менее 40 лет, в то время как возраст пожилых пациентов составлял более 65 лет.
Способ выделения МСК описан в ранее опубликованных работах [6, 7]. Выделенные МСК обладали характерным фенотипом для этих клеток согласно рекомендациям международного общества клеточной и генной терапии (International Society for Cell & Gene Therapy, ISCT), а именно способностью адгезии к пластику, экспрессией маркеров CD73, CD90 и CD105, отсутствием экспрессии гемопоэтических и эндотелиальных маркеров CD11b, CD14, CD19, CD34, CD45, CD79a и HLA-DR, способностью к дифференцировке in vitro.
Все МСК культивировали с использованием базальной среды AdvanceSTEM (HyClone, США) с добавлением 10% Mesenchymal Stem Cell Growth Advance Supplement (HyClone, США), 1% раствора пенициллина–стрептомицина (HyClone, США), 1% GlutaMAX-1 (Gibco, США). Культивирование осуществляли при условиях поддержания 5% CO2 и 37 °С. Среду меняли каждые 3 дня. Все эксперименты были проведены на клетках 3–4-го пассажа.
Модель воздействия сенолитиков на клетки
Все МСК высаживали в количестве 3000 кл./лунку 96-луночного планшета. Затем культивировали в питательной среде (200 мкл на лунку) в течение нескольких часов до полной адгезии клеток к культуральному пластику. После чего меняли среду на депривационную и оставляли культивировать в течение ночи. Для депривации и в качестве базальной среды оценки воздействия сенолитиков использовали среду DMEM с низким содержанием глюкозы (Gibco, США) с добавлением 1% раствора пенициллина–стрептомицина (HyClone, США) и 1% GlutaMAX-1 (Gibco, США). По истечении депривации клеткам меняли среду на депривационную или с добавлением одного из сенолитиков в следующих концентрациях: в случае оценки цитотоксичности — 2,5, 5, 10, 20 и 40 мкМ; в эксперименте по оценке жизнеспособности клеток по активности митохондрий с помощью XTT-теста (Biological Industries, Израиль) — 10 мкМ. Все растворы сенолитиков добавляли 1 раз в начале эксперимента.
Определение цитотоксичности разных концентраций сенолитиков
С целью определения безопасных концентраций для клеток была использована клеточная линия иМСК. В связи с тем, что, согласно литературным данным, возможно использование разных концентраций сенолитиков в зависимости от типа клеток (например, для эндотелиальных клеток человека — от 0 до 20 мкМ [8], в случае сенесцентных фибробластов — 6 мкМ [9] или 50 мкМ [10]), а также учитывая тот факт, что при повышении концентрации возможен просенесцентный эффект воздействия на клетки [11], был выбран диапазон концентраций, включающий 2,5; 5; 10; 20 и 40 мкМ.
Кроме того, для оценки цитотоксичного воздействия параллельно с основной схемой эксперимента использовали дополнительные дубликаты лунок с сенолитиками и флуоресцентным красителем — этидиумом гомодимером-1 в количестве 2 мкМ (Sigma-Aldrich, США), который окрашивает ядра мёртвых клеток, не проникая при этом в живые. Далее планшет помещали в систему BioSpa 8 (Bio-Tek, США) и проводили прижизненную съёмку в течение 4 дней с помощью Cytation 5 (Bio-Tek, США). Обработку и анализ полученных изображений производили с помощью программного обеспечения ImageJ Fiji.
Оценка жизнеспособности первично выделенных мезенхимных стволовых клеток по активности митохондрий и влияние сенолитиков на апоптоз этих клеток
Первично выделенные клетки от молодых (МСК) и пожилых доноров (сМСК) были высажены в количестве 3000 кл./лунку 96-луночного планшета. При оценке воздействия сенолитиков была использована концентрация 10 мкМ. Тестирование на жизнеспособность проводили на 1, 4, 7 и 14-й день культивирования с помощью XTT-теста (Biological Industries, Израиль). Измерения оптической плотности выполняли на длинах волн 450 нм и 630 нм на спектрофотометре EnVision Multilabel Plate Readers (PerkinElmer, США). Для оценки цитотоксичного воздействия к клеткам добавляли флуоресцентный краситель — этидиум гомодимер-1 (2 мкМ) — и проводили прижизненную съёмку в течение 7 дней с помощью Cytation 5. Обработку и анализ полученных изображений производили с помощью программного обеспечения ImageJ Fiji.
Сравнение уровней экспрессии генов плюрипотентности и биомаркеров сенесцентности в мезенхимных стволовых клетках с помощью полимеразной цепной реакции с обратной транскрипцией в реальном времени
Тотальная РНК была выделена из 500 тыс. клеток (~ 90% конфлюэнт) с использованием набора RNeasy Mini Kit (QIAGEN, Великобритания) согласно инструкции производителя. Для исключения возможности отжига псевдогенов в случае с маркерами плюрипотентности пробы были обработаны ДНКазой I (Optizyme DNase I; Thermo Fisher Scientific, США) согласно инструкции производителя. Синтез комплементарной ДНК из тотальной РНК выполняли с помощью набора для проведения обратной транскрипции MMLV Reverse Transcription Kit («Евроген», Россия). Температурный режим поддерживали с помощью прибора Mastercycler R nexus gradient (Eppendorf, Германия). Полученную комплементарную ДНК использовали в количественной полимеразной цепной реакции в реальном времени при помощи набора qPCRmix-HS SYBR + LowROX («Евроген», Россия) согласно протоколу производителя. Экспрессия генов представлена относительным количественным методом с нормировкой на ген домашнего хозяйства RPLP0 (ΔCT). Праймеры были сконструированы с помощью сайта Primer Designing Tool (NCBI, США). Последовательности праймеров приведены в табл. 1.
Таблица 1. Праймеры и условия проведения полимеразной цепной реакции в реальном времени
Table 1. Primers and conditions for real-time polymerase chain reaction
Ген | Праймеры 5’→3’ (П — прямой, О — обратный) | Длина продукта, п. н. | Температура отжига, °C |
Рибосомный фосфопротеин P0 (RPLP0) | П: GCTGCTGCCCGTGCTGGTG О: TGGTGCCCCTGGAGATTTTAGTGG | 130 | 60–64 |
Транскрипционный фактор NANOG | П: CCTGTGATTTGTGGGCCTG О: GACAGTCTCCGTGTGAGGCAT | 78 | 60 |
Транскрипционный фактор Octamer-binding transcription factor 4 (OCT4) | П: TGAGAGGCAACCTGGAGAA О: CCACACTCGGACCACATC | 110 | 60 |
Транскрипционный фактор SRY (sex determining region Y)-box 2 (SOX2) | П: CATCACCCACAGCAAATGACA О: GCTCCTACCGTACCACTAGAACTT | 242 | 60 |
Ингибитор циклин-зависимой киназы 2A (p16) | П: GATCCAGGTGGGTAGAAGGTC О: CCCCTGCAAACTTCGTCCT | 74 | 60 |
Ингибитор циклин-зависимой киназы 1A (p21) | П: CGATGGAACTTCGACTTTGTCA О: GCACAAGGGTACAAGACAGTG | 220 | 60 |
Изучение изменения компонентов SASP в кондиционированной среде мезенхимных стволовых клеток под воздействием сенолитиков методом иммуноферментного анализа
В качестве наиболее представленных компонентов SASP были выбраны интерлейкин 6 (IL) IL-6, ингибитор активатора плазминогена 1-го типа (plasminogen activator inhibitor 1, PAI-1), моноцитарный хемотаксический протеин-1 (monocyte chemoattractant protein-1, MCP-1). Клетки культивировали в течение 4 дней с добавлением сенолитиков, после чего собирали кондиционированную среду и замораживали на –80 °С с добавлением ингибитора протеаз (Roche, Швейцария). Для определения концентрации данных компонентов SASP образцы кондиционированной среды анализировали с помощью иммуноферментного анализа согласно инструкции производителя набора реактивов для иммуноферментного анализа (R&D Systems, США). Чувствительность анализа составляла 0,7 пг/мл для IL-6; 0,142 нг/мл для PAI-1 и 10 пг/мл для MCP-1.
Оценка изменения сенесцентных биомаркеров мезенхимных стволовых клеток (экспрессия p21 и активность бета-галактозидазы) при воздействии сенолитиков
На 4-й день воздействия сенолитиков на первично выделенные МСК клетки фиксировали 4% формальдегидом (PanReac Applichem, США) на натрий-фосфатном буфере («ПанЭко», Россия) в течение 10 мин при комнатной температуре. Далее и после каждого описанного шага следовала процедура отмывки с помощью натрий-фосфатного буфера, включающая инкубирование 3 раза по 5 мин при комнатной температуре. Затем проводили пермеабилизацию 0,1% Triton X-100 в течение 10 мин при комнатной температуре. Следующим шагом было инкубирование образцов в растворе 10% козлиной сыворотки (Abcam, Великобритания), сделанной на 1% растворе бычьего сывороточного альбумина («ПанЭко», Россия), при комнатной температуре в течение часа. Затем образцы инкубировали в растворе первых кроличьих поликлональных антител, обеспечивающих специфическое связывание с p21 (Cell Signaling Technology, США) на 1% растворе бычьего сывороточного альбумина («ПанЭко», Россия) при 4 °С в течение ночи. Следующую инкубацию проводили со вторыми козлиными антителами против кролика (A11034, A11037; Invitrogen, США) при комнатной температуре в течение часа. Ядра были мечены с помощью DAPI (DAKO, США). Микроскопию и анализ выполняли на инвертированном флуоресцентном микроскопе Leica DMi8 (Leica Microsystems, Германия). Оценка активности β-галактозидазы была проведена с помощью окрашивания коммерческим набором Senescence b-Galactosidase Staining Kit (Cell Signaling Technology, США) согласно инструкции производителя.
Статистический анализ
Для статистического анализа использовали программное обеспечение Prism 8.0 (GraphPad, США). В случае, когда данные соответствовали нормальному распределению (критерий Колмогорова–Смирнова, критерий Шапиро–Уилка), сравнение независимых групп проводили с помощью теста Стьюдента, критерия Фишера, а также выполняли однофакторный дисперсионный анализ с поправкой Тьюки для учёта множественных сравнений. В случае, когда данные соответствовали ненормальному распределению, сравнение независимых групп проводили с помощью теста Манна–Уитни, а также теста Краскела–Уоллиса с применением критерия Данна для учёта множественных сравнений. Данные представлены в виде средних значений ± стандартное отклонение в случае нормального распределения данных и в виде медианы и перцентилей (Me [25%; 75%]) — для ненормального распределения. Статистически значимыми различия считали при p < 0,05 (представлены следующим образом ** p < 0,05; *** p < 0,005; **** p < 0,0005 и ***** p < 0,0001).
РЕЗУЛЬТАТЫ
Сенесцентные мезенхимные стволовые клетки характеризуются наличием биомаркеров клеточного старения
В гетерогенной популяции первично выделенных сМСК от пожилых пациентов преобладают сенесцентные клетки, что подтверждается окрашиванием на активность β-галактозидазы, одного из биомаркеров старения клеток в культуре, а также тенденцией к снижению экспрессии NANOG — гена, ответственного за плюрипотентность клеток, в сМСК по сравнению с иМСК и МСК. Уровень экспрессии транскрипционного фактора OCT4 статистически значимо не изменялся в разных типах образцов. Анализ уровня экспрессии биомаркера старения клеток p16 не выявил статистически значимой разницы между разными типами МСК, однако можно отметить тенденцию к снижению уровня его экспрессии от иМСК к МСК и от МСК к сМСК. В культуре сМСК статистически значимо повышается экспрессия биомаркера старения клеток p21, также можно отметить повышенную продукцию ключевых компонентов SASP по сравнению с МСК (рис. 1, 2). В данном исследовании мы изучали воздействие сенолитиков на первично выделенные МСК от пожилых пациентов (сМСК). Для этого мы первоначально проверили допустимые пределы концентраций на иМСК (приложение 1), а также определили оптимальную концентрацию (10 мкМ) сенолитиков — кверцетина и дигидрокверцетина — для последующих экспериментов.
Рис. 1. Определение сенесцентных клеток у пациентов с помощью окраски на активность β-галактозидазы: a — иммортализованные мезенхимные стволовые/стромальные клетки (иМСК), b — МСК, c — МСК от пожилого пациента (сенесцентные, сМСК), а также с помощью оценки экспрессии биомаркеров плюрипотентности (NANOG, OCT4) в иМСК, МСК и сМСК (d) и оценки экспрессии биомаркеров клеточного старения (p16, p21) в иМСК, МСК и сМСК (e). Данные графиков (d) и (e) получены с помощью полимеразной цепной реакции с обратной транскрипцией в реальном времени с нормировкой на ген домашнего хозяйства (RPLP0). Данные представлены как среднее значение со стандартным отклонением, а статистические значимые различия между группами обозначены следующим образом: ** и ▲ p < 0,05; *** p < 0,005. Сравнение, обозначенное **, приведено относительно иМСК.
Fig. 1. Detection of senescent cells by staining for β-galactosidase activity: a, immortalized mesenchymal stem/stromal cells; b, mesenchymal stem/stromal cells; c, mesenchymal stem/stromal cells obtained from an elderly patient (senescent mesenchymal stem/stromal cells); and by evaluating the expression of pluripotency biomarkers (NANOG, OCT4) in immortalized mesenchymal stem/stromal cells, mesenchymal stem/stromal cells, and senescent mesenchymal stem/stromal cells (d) and the expression of biomarkers of cellular senescence (p16, p21) in immortalized mesenchymal stem/stromal cells, mesenchymal stem/stromal cells, and senescent mesenchymal stem/stromal cells (e). The plots (d) and (e) were obtained using a real-time reverse transcription polymerase chain reaction with normalization to the housekeeping gene RPLP0. The data are presented as means and standard deviations, whereas statistically significant differences between the groups are indicated as follows: ** and ▲, p < 0.05; ***, p < 0.005. The comparison marked with ** is given relative to immortalized mesenchymal stem/stromal cells.
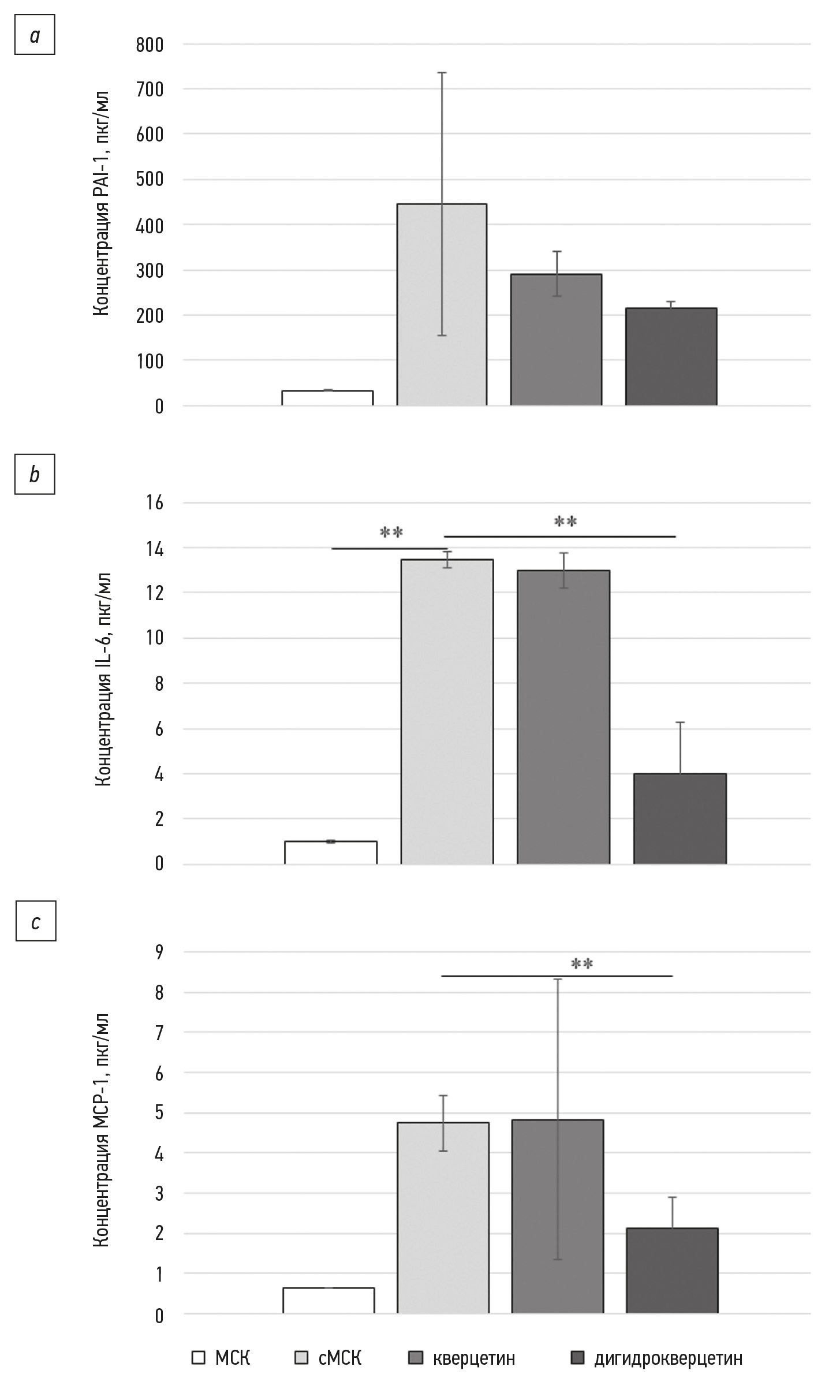
Рис. 2. Изменение компонентов секреторного фенотипа, ассоциированного со старением, в кондиционированной среде сМСК под воздействием сенолитиков: а — изменения концентрации ингибитора активатора плазминогена-1 (PAI-1); b — изменения интерлейкина 6 (IL-6); c — изменения моноцитарного хемотаксического протеина-1 (MCP-1) в кондиционированной среде каждой из экспериментальных групп. Данные представлены как среднее значение со стандартным отклонением, а статистические значимые различия между группами обозначены ** p < 0,05. МСК — мезенхимные стволовые/стромальные клетки от молодых доноров; сМСК — сенесцентные МСК, полученные от пожилых доноров; кверцитин — сМСК под воздействием кверцетина; дигидрокверцитин — сМСК под воздействием дигидрокверцетина.
Fig. 2. Differences in senescence-associated secretory phenotype components in the conditioned medium of senolytic-treated senescent mesenchymal stem/stromal cells: a, difference in plasminogen activator inhibitor-1; b, difference in interleukin 6; c, difference in monocytic chemotactic protein-1 in the conditioned medium between the experimental groups. The data are presented as means and standard deviations, whereas statistically significant differences between the groups are indicated as **, p < 0.05. МСК, mesenchymal stem/stromal cells from young donors; сМСК, senescent MSCs obtained from elderly donors; кверцитин, quercetin-treated sMSCs; дигидрокверцитин, dihydroquercetin-treated sMSCs.
Сенолитики индуцируют апоптоз сенесцентных мезенхимных стволовых клеток с отличием в динамике и регулируют активность митохондрий
Для того чтобы оценить влияние сенолитиков на активацию программируемой клеточной гибели в первично выделенных сМСК, было установлено количество случаев развития апоптоза в популяции МСК относительно общего количества клеток в динамике в течение 7 дней культивирования (рис. 3, a, b и приложение 2). В результате данного эксперимента было показано, что, во-первых, по количеству апоптозов сМСК как с добавлением сенолитиков, так и без добавления сенолитиков статистически значимо отличаются от МСК в течение всего эксперимента (см. рис. 3, b). Во-вторых, каждая из экспериментальных групп клеток статистически значимо была подвержена переходу в апоптоз в динамике. Однако момент обнаружения апоптотических событий для каждой экспериментальной группы клеток отличался. Так, наиболее устойчивой к апоптозу в данном эксперименте была контрольная группа МСК от молодых доноров, при этом первой группой, для которой был зарегистрирован переход клеток в апоптоз, была контрольная группа сМСК. Следующими в апоптоз переходили сМСК под воздействием кверцитина, а затем сМСК под воздействием дигидрокверцетина. Стоит отметить, что при воздействии дигидрокверцетином на сМСК количество апоптозов увеличивалось по S-образной кривой на 5-е сутки, что сопоставимо с результатами для МСК от молодых доноров. В-третьих, при воздействии кверцетином процент апоптотических событий сМСК был статистически значимо выше на 7-е сутки по сравнению с контрольными сМСК. Значимых отличий в количестве апоптозов на 7-е сутки между сМСК без сенолитиков и при воздействии дигидрокверцетином не выявлено.
Рис. 3. Оценка влияния сенолитиков на апоптоз и жизнеспособность первично выделенных сМСК: a — микрофотографии клеток на 7-й день культивирования в среде с сенолитиками, верхняя панель: фазово-контрастные изображения клеток, нижняя панель: окраска ядер мёртвых клеток с помощью этидиума гомодимера-1 (×10); b — оценка количества апоптозов относительно общего количества клеток на поле зрения в процентном соотношении в динамике в течение 7 дней культивирования; c — жизнеспособность клеток в течение 7 дней при культивировании в среде с сенолитиками (ХТТ-тест). Данные представлены как медиана с квартилями [25%; 75%] для диаграммы b и как среднее значение со стандартным отклонением для диаграммы c, а статистические значимые различия между группами относительно контролей (МСК и сМСК без воздействия сенолитиков) обозначены следующим образом: ** p < 0,05; **** p < 0,0001. МСК — мезенхимные стволовые/стромальные клетки от молодых доноров; сМСК — сенесцентные МСК, полученные от пожилых доноров; кверцитин — сМСК под воздействием кверцетина; дигидрокверцитин — сМСК под воздействием дигидрокверцетина.
Fig. 3. Evaluation of the effects of senolytics on apoptosis and viability of primary senescent mesenchymal stem/stromal cells: a, micrographs on the 7th day of cultivation in the senolytic medium; upper panel, phase contrast images of cells; lower panel, dead cell nuclear staining with ethidium homodimer-1 (×10); b, evaluation of the number of apoptotic cells relative to the total number of cells in the field of view during the 7-day cultivation, expressed as a percentage; c, cell viability during the 7-day cultivation in senolytic medium (XTT assay). The data are presented as medians and interquartile ranges [25%; 75%] for the plot b, and as means and standard deviations for the plot c, whereas statistically significant differences between the experimental and control groups (untreated mesenchymal stem/stromal cells and senescent mesenchymal stem/stromal cells) are indicated as follows: **, p < 0.05; ****, p < 0.0001. МСК, mesenchymal stem/stromal cells from young donors; сМСК, senescent MSCs obtained from elderly donors; кверцитин, quercetin-treated sMSCs; дигидрокверцитин, dihydroquercetin-treated sMSCs.
Мы также оценили активность митохондрий клеток при воздействии сенолитиков с помощью XTT-теста. Так, в начале культивирования сМСК вне зависимости от добавления сенолитиков статистически значимо проявляют сниженную активность митохондрий по сравнению с МСК. Кверцетин не оказывал статистически значимого эффекта на активность митохондрий в данном эксперименте. При этом в группе сМСК с дигидрокверцетином активность митохондрий увеличивалась в течение всего срока эксперимента (рис. 3, c). Данный эффект дигидрокверцетина на сМСК сохранялся в течение 14 дней (приложение 3, a).
Сенолитики влияют на представленность в популяции сенесцентных мезенхимных стволовых клеток с биомаркерами клеточного старения
Мы оценили влияние сенолитиков на изменение сенесцентного фенотипа сМСК с помощью биомаркеров клеточного старения — активности β-галактозидазы, экспрессии p21 в клетках, а также по продукции некоторых компонентов SASP в кондиционированной среде сМСК (IL-6, PAI-1, MCP-1). В результате не выявлено значимых отличий в окраске на активность β-галактозидазы на 4-й день эксперимента между группами сМСК и сМСК с добавлением сенолитиков (данные не приведены). В случае же иммуноцитохимической окраски на p21 было выявлено статистически значимое снижение количества клеток, позитивных по данному биомаркеру клеточного старения, после добавления сенолитиков к сМСК относительно контрольной группы сМСК (рис. 4). Иммуноферментный анализ кондиционированной среды на содержание компонентов SASP выявил, что при добавлении дигидрокверцетина и кверцетина продукция PAI-1 имеет тенденцию к сокращению. А статистически значимое снижение концентрации IL-6 и MCP-1 в составе кондиционированной среды сМСК было обнаружено только в случае добавления дигидрокверцетина (см. рис. 2). Далее, на 14-е сутки, воздействие дигидрокверцетина на секретом сМСК сохранялось на уровне тенценции для PAI-1, IL-6 и MCP-1 (см. приложение 3, b).
Рис. 4. Оценка влияния сенолитиков на экспрессию сенесцентного биомаркера p21 первично выделенных сМСК: a — микрофотографии клеток на 4-й день культивирования в среде с сенолитиками, верхняя панель: окраска ядер клеток с помощью DAPI, нижняя панель: иммуноцитохимическая окраска ядер p21-позитивных клеток (×10); b — оценка количества p21-позитивных клеток относительно общего количества клеток на поле зрения в процентном соотношении. Данные представлены как среднее значение со стандартным отклонением, а статистические значимые различия между группами обозначены следующим образом: ** p < 0,05; **** p < 0,0005; ***** p < 0,0001. МСК — мезенхимные стволовые/стромальные клетки от молодых доноров; сМСК — сенесцентные МСК, полученные от пожилых доноров; кверцитин — сМСК под воздействием кверцетина; дигидрокверцитин — сМСК под воздействием дигидрокверцетина.
Fig. 4. Evaluation of the effects of senolytics on the expression of the senescence biomarker p21 in primary senescent mesenchymal stem/stromal cells: a, micrographs on the 4th day of cultivation in the senolytic medium; upper panel: DAPI nuclear staining; lower panel: immunocytochemical nuclear staining of p21-positive cells (×10); b, evaluation of the number of p21-positive cells relative to the total number of cells in the field of view, expressed as a percentage. The data are presented as means and standard deviations, whereas statistically significant differences between the groups are indicated as follows: **, p < 0.05; ****, p < 0.0005, and *****, p < 0.0001. МСК, mesenchymal stem/stromal cells from young donors; сМСК, senescent MSCs obtained from elderly donors; кверцитин, quercetin-treated sMSCs; дигидрокверцитин, dihydroquercetin-treated sMSCs.
ОБСУЖДЕНИЕ
Элиминация сенесцентных клеток позволяет эффективно увеличить продолжительность жизни, что было показано in vivo [12], однако также может снизить регенерацию тканей [13]. В связи с этим необходимо тщательно исследовать возможные эффекты сенолитиков на клетки пожилых пациентов.
В нашем исследовании в прямом сравнительном эксперименте мы оценили влияние сенолитиков — кверцетина и дигидрокверцетина — на сМСК, полученные от пожилых доноров. Мы обнаружили, что кверцетин вызывал апоптоз сМСК и в то же время не оказывал эффекта на жизнеспособность клеток в сравнении с интактными сМСК. Согласно литературным данным, кверцетин может предотвращать апоптоз, вызванный окислительным стрессом, в различных тканях организма [14]. С другой стороны, кверцетин может восстанавливать восприимчивость клеток к проапоптотическим стимулам, что было показано для сенесцентных фибробластов в модели идиопатического фиброза [10] и для различных типов опухолевых клеток, список которых приведён в обзоре [15]. Стоит также отметить показанное нами статистически значимое снижение количества сенесцентных клеток в популяции сМСК по биомаркеру экспрессии p21 при воздействии сенолитиков: среднее значение эффективности элиминации составило 20,4% для кверцетина и 57,4% для дигидрокверцетина по сравнению с контролем (сМСК без воздействия). Однако анализ компонентов SASP не выявил никаких значимых изменений на 4-й день культивирования сМСК с кверцетином по сравнению с интактными сМСК. Из этого следует, что кверцетин действительно обладает сенолитической активностью и способен запускать апоптоз в «стареющих» клетках, однако его эффективность далека от 100%, поэтому снижение количества сенесцентных клеток на несколько процентов не приводит к изменению фенотипа и функциональных свойств культуры клеток, в частности к изменению по составу секретома гетерогенной популяции сМСК.
В результате нашего исследования установлено, что дигидрокверцетин не стимулировал переход клеток в апоптоз относительно контроля сМСК без воздействия, однако момент времени начала обнаружения апоптотических событий совпал с другим контролем — МСК от молодых пациентов (см. рис. 3, b). Кроме того, дигидрокверцетин оказывал воздействие на жизнеспособность клеток как у МСК, так и у сМСК, что отразилось на статистически значимом увеличении данных показателей по сравнению с соответствующими контролями (МСК и сМСК) (см. рис. 3, c). Данные результаты согласуются с ранее полученными свидетельствами in vitro, доказывающими, что дигидрокверцетин способен защищать стволовые клетки пульпы зуба от перехода в апоптоз в стрессовых условиях (при гипоксии, воспалении) и поддерживать их жизнеспособность [16]. Известно также, что применение дигидрокверцетина превентивно защищает органы от накопления активных форм кислорода, что было доказано in vivo, в частности при повреждении миокарда на модели ишемии-реперфузии [17]. В нашем исследовании только в случае добавления дигидрокверцетина к клеткам мы наблюдали как уменьшение количества p21-позитивных клеток (см. рис. 4), так и снижение продукции компонентов SASP сМСК по сравнению с интактными сМСК (см. рис. 2). Проанализировав полученные данные, мы выдвинули предположение, что дигидрокверцетин обладает свойствами сеноморфика, а не сенолитика. Сеноморфиками называют вещества, способствующие изменению фенотипа сенесцентной клетки в исходное состояние, что может выражаться как в уменьшении количества клеток, позитивных по биомаркерам клеточного старения без их апоптоза, так и в снижении нескольких компонентов SASP [18]. Такой механизм действия дигидрокверцетина соотносится с его позитивным воздействием in vivo в моделях патологий, имеющих в своей основе накопление сенесцентных клеток: фиброза [19] и возраст-ассоциированных заболеваний, таких как болезнь Альцгеймера и ишемическая болезнь сердца [20, 21].
В настоящее время известны результаты клинического исследования применения дигирокверцетина при лечении пневмонии [22]. В этом клиническом исследовании в группе пациентов, которым в дополнение к стандартному лечению острой пневмонии давали дигидрокверцетин, наблюдалось значимое улучшение показателей: снижение фиброзирования лёгких и продолжительности острой фазы, увеличение скорости выздоровления по сравнению с контрольной группой пациентов, получающих только стандартную терапию. Сейчас проводятся ещё два клинических исследования: изучается применение дигирокверцетина для лечения последствий пневмонии, вызванной коронавирусной инфекцией COVID-193, а также его влияние на биомаркеры старения иммунной системы здоровых пожилых пациентов4, однако результаты данных исследований ещё не опубликованы. Таким образом, изучение сеноморфных свойств дигидрокверцетина является перспективным направлением в поиске эффективных путей сохранения здоровья человека и обеспечения активного долголетия.
ЗАКЛЮЧЕНИЕ
Применение сенолитиков в качестве потенциального профилактического и терапевтического подхода является перспективным средством решения проблемы старения. Изучение эффектов сенолитиков/сеноморфиков на сенесцентные клетки пациентов является важным этапом до их применения в клинических исследованиях. Полученные нами данные позволили выдвинуть предположение, что в зависимости от оказываемого эффекта на сМСК человека кверцетин является сенолитиком, в то же время дигидрокверцетин, вероятно, проявляет свойства сеноморфика. С учётом отличающихся механизмов воздействия кверцетина и дигидрокверцетина на клетки и на изменение сеценсцентного фенотипа в дальнейшем возможно откорректировать биомаркеры, которые будут использованы для оценки эффективности сенолитиков на более сложных живых организмах. Полученные данные позволяют предположить разную область применения исследованных соединений: дигидрокверцетин может использоваться в качестве сеноморфика для профилактики развития и прогрессирования возраст-ассоциированных заболеваний, в то время как кверцетин может обладать эффективностью при лечении пациентов с накоплением критического количества сенесцентных клеток, например при фиброзе лёгких. Тем не менее данные предположения могут быть подтверждены только при исследовании на животных и в клинических испытаниях.
ДОПОЛНИТЕЛЬНАЯ ИНФОРМАЦИЯ
Вклад авторов. Е.С. Новоселецкая — дизайн и проведение исследования, работа с данными, написание черновика, пересмотр и редактирование рукописи; А.Г. Клементьева — работа с пациентами, пересмотр и редактирование рукописи; Д.А. Федотов — проведение исследования, работа с данными; Н.А. Александрушкина — проведение исследования; Н.А. Басалова — проведение исследования, пересмотр и редактирование рукописи; О.А. Григорьева — проведение исследования; М.А. Виговский — проведение исследования; И.Ш. Даудов — работа с базой данных пациентов; Я.А. Орлова — идея исследования, работа с пациентами, пересмотр и редактирование рукописи; А.Ю. Ефименко — идея и дизайн исследования, пересмотр и редактирование рукописи. Все авторы одобрили рукопись (версию для публикации), а также согласились нести ответственность за все аспекты работы, гарантируя надлежащее рассмотрение и решение вопросов, связанных с точностью и добросовестностью любой её части.
Благодарности. Авторы выражают свою признательность В.В. Какоткину, Д.А. Асратяну и Я.Р. Бородай (Медицинский научно-образовательный институт Московского государственного университета имени М.В. Ломоносова, Россия) за помощь в получении биоматериалов от пациентов.
Этическая экспертиза. Проведение исследования одобрено локальным этическим комитетом Медицинского научно-образовательного центра Московского государственного университета имени М.В. Ломоносова (протокол № 09/17 от 29.10.2018). Все участники подписали форму информированного добровольно согласия до включения в исследование. Протокол исследования опубликован в журнале [https://cardiovascular.elpub.ru/jour/article/view/3051].
Согласие на публикацию. Авторы получили письменное информированное добровольное согласие пациентов на публикацию персональных данных в научном журнале «Гены и Клетки». Объём публикуемых данных с пациентами согласован. Все представленные сведения обезличены, фотографии не публикуются.
Источники финансирования. Исследование выполнено в рамках государственного задания Московского государственного университета имени М.В. Ломоносова, а также с использованием реактивов, предоставленных ООО «Продвинутые технологии» (Россия). Компания «Продвинутые технологии» не участвовала в организации, планировании и проведении исследования, сборе, хранении, анализе и интерпретации данных, подготовке рукописи и принятии решения о её публикации, а также в осуществлении надзора за исследованием. Финансирующие организации не устанавливали ограничений на использование данных и распространение результатов исследования.
Раскрытие интересов. Авторы заявляют об отсутствии отношений, деятельности и интересов за последние три года, связанных с третьими лицами (коммерческими и некоммерческими), интересы которых могут быть затронуты содержанием статьи.
Оригинальность. При создании настоящей работы авторы не использовали ранее опубликованные сведения (текст, иллюстрации, данные).
Доступ к данным. Все данные, полученные в настоящем исследовании, доступны в статье и приложениях к ней.
Приложение 1. Определение безопасной концентрации сенолитиков с помощью прижизненной съёмки и XTT-теста на МСК, иммортализованные с помощью человеческой теломеразы (иМСК). DOI: 10.17816/gc678269-4362951.
Приложение 2. Оценка влияния сенолитиков на первично выделенные МСК и сМСК в динамике. DOI: 10.17816/gc678269-4362952.
Приложение 3. Оценка влияния сенолитиков на жизнеспособность первично выделенных сМСК и на изменение компонентов секреторного фенотипа, ассоциированного со старением (SASP). DOI: 10.17816/gc678269-4362953.
Генеративный искусственный интеллект. При создании настоящей статьи технологии генеративного искусственного интеллекта не использовали.
Рассмотрение и рецензирование. Настоящая работа подана в журнал в инициативном порядке и рассмотрена по обычной процедуре. В рецензировании участвовали два внешних рецензента, один член редакционной коллегии и научный редактор издания.
ADDITIONAL INFORMATION
Author contributions: E.S. Novoseletskaya: conceptualization, investigation, data curation, writing — original draft, writing writing — original draft review & editing; A.G. Klementeva: patient supervision, writing — review & editing; D.A. Fedotov: investigation, data curation; N.A. Alexandrushkina: investigation; N.A. Basalova: investigation, writing — review & editing; O.A. Grigorieva: investigation; M.A. Vigovskiy: investigation; I.Sh. Daudov: patient database; Y.A. Orlova: conceptualization, patient supervision, writing — review & editing; A.Yu. Efimenko: conceptualization, writing — review & editing. All the authors approved the version of the manuscript to be published and agree to be accountable for all aspects of the work, ensuring that questions related to the accuracy or integrity of any part of the work are appropriately investigated and resolved.
Acknowledgments: The authors would like to express their gratitude to V.V. Kakotkin, D.A. Asratyan, and Ya.R. Boroday (Medical Research and Educational Institute of the Lomonosov Moscow State University, Russia) for their assistance in obtaining biomaterials from patients.
Ethics approval: The study was approved by the Local Ethics Committee of the Medical Research and Educational Center of the Lomonosov Moscow State University (Protocol No. 09/17, October 29, 2018). All participants voluntarily signed a written informed consent form before enrollment in the study. The study protocol was published in the journal [https://cardiovascular.elpub.ru/jour/article/view/3051].
Consent for publication: The authors received written informed voluntary consent from the patients to publish their personal data in a scientific journal "Genes & Cells". The scope of the published data was approved by the patients. All information submitted remains anonymous, and no photographs are published.
Funding sources: The study was conducted as part of the state assignment from the Lomonosov Moscow State University using reagent kits provided by the Prodvinutye Tekhnologii company (Russia). Prodvinutye Tekhnologii was not involved in the organization, planning and conduct of the study; data collection, storage, analysis, and interpretation; writing the manuscript and making decisions to publish it; and the supervision of the study. The funding sources did not impose any restrictions on the use or dissemination of the study findings.
Disclosure of interests: The authors declare no relationships, activities, or interests over the past three years involving third parties (commercial or non-commercial) whose interests could be affected by the content of this article.
Statement of originality: No previously published material (text, images, or data) was used in this work.
Data availability statement: All data generated or analyzed during this study are included in this article and its appendices.
Supplement 1: Lifetime photography and XTT assay for the determination of the safe concentration of senolytics for human telomerase-immortalized mesenchymal stem/stromal cells. DOI: 10.17816/gc678269-4362951.
Supplement 2: Evaluation of the effects of senolytics on primary mesenchymal stem/stromal cells and senescent mesenchymal stem/stromal cells. DOI: 10.17816/gc678269-4362952.
Supplement 3: Evaluation of the effects of senolytics on cell viability and differences in senescence-associated secretory phenotype components in primary senescent mesenchymal stem/stromal cells. DOI: 10.17816/gc678269-4362953.
Generative AI: No generative artificial intelligence technologies were used in the preparation of this article.
Provenance and peer review: This paper was submitted unsolicited and reviewed following the standard procedure. The peer review process involved two external reviewers, one member of the editorial board, and an in-house scientific editor.
1 rosstat.gov.ru [интернет]. Федеральная служба государственной статистики. Население. Демография. Режим доступа: https://rosstat.gov.ru/folder/12781 Дата обращения: 01.02.2025.
2 rosstat.gov.ru [интернет]. Федеральная служба государственной статистики. Население. Положение инвалидов. Режим доступа: https://rosstat.gov.ru/folder/13964 Дата обращения: 01.02.2025.
3 Effect of the dietary supplement taxifolin aqua on the recovery period after COVID-19 Pneumonia, Inc.; 2021. In: ClinicalTrials.gov [Internet]. Available at: https://clinicaltrials.gov/study/NCT04871802
4 Taxifolin/Ergothioneine and immune biomarkers in healthy volunteers (TaxEr), Inc.; 2021-2025. In: ClinicalTrials.gov [Internet]. Available at: https://clinicaltrials.gov/study/NCT05190432?tab = table
About the authors
Ekaterina S. Novoseletskaya
Lomonosov Moscow State University; Shenzhen MSU-BIT University
Author for correspondence.
Email: novoseletskaya.es@gmail.com
ORCID iD: 0000-0002-0922-9157
SPIN-code: 4930-1922
Cand. Sci. (Biology)
Russian Federation, Moscow; Shenzhen, ChinaAnna G. Klementyeva
Lomonosov Moscow State University
Email: drklementevaag@gmail.com
ORCID iD: 0000-0003-2310-936X
SPIN-code: 2051-0379
MD, Cand. Sci. (Medicine)
Russian Federation, MoscowDanila A. Fedotov
Lomonosov Moscow State University
Email: danilafed66@gmail.com
ORCID iD: 0000-0002-3701-7354
SPIN-code: 9431-9938
Russian Federation, Moscow
Natalya A. Alexandrushkina
Lomonosov Moscow State University
Email: alexandrushkinana@my.msu.ru
ORCID iD: 0000-0003-4946-7843
SPIN-code: 3611-7954
Cand. Sci. (Biology)
Russian Federation, MoscowNatalia A. Basalova
Lomonosov Moscow State University
Email: basalovana@my.msu.ru
ORCID iD: 0000-0002-2597-8879
SPIN-code: 2448-4671
Cand. Sci. (Biology)
Russian Federation, MoscowOlga A. Grigoryeva
Lomonosov Moscow State University
Email: go.grigorievaolga@gmail.com
ORCID iD: 0000-0003-2954-2420
SPIN-code: 6858-3683
Cand. Sci. (Biology)
Russian Federation, MoscowMaksim A. Vigovsky
Lomonosov Moscow State University
Email: vigovskiyma@my.msu.ru
ORCID iD: 0000-0003-2103-8158
SPIN-code: 7084-3521
Russian Federation, Moscow
Ibragim Sh. Daudov
Lomonosov Moscow State University
Email: ibrdaudov@gmail.com
ORCID iD: 0009-0007-4491-2983
SPIN-code: 9192-0419
Russian Federation, Moscow
Iana A. Orlova
Lomonosov Moscow State University
Email: 5163002@bk.ru
ORCID iD: 0000-0002-8160-5612
SPIN-code: 3153-8373
MD, Dr. Sci. (Medicine), Professor
Russian Federation, MoscowAnastasia Yu. Efimenko
Lomonosov Moscow State University
Email: efimenkoay@my.msu.ru
ORCID iD: 0000-0002-0696-1369
SPIN-code: 5110-5998
MD, Dr. Sci. (Medicine)
Russian Federation, MoscowReferences
- Wu R, Sun F, Zhang W, et al. Targeting aging and age-related diseases with vaccines. Nat Aging. 2024;4(4):464–482. doi: 10.1038/s43587-024-00597-0 EDN: NVANGM
- Zheng L, He S, Wang H, et al. Targeting cellular senescence in aging and age-related diseases: challenges, considerations, and the emerging role of senolytic and senomorphic therapies. Aging Dis. 2024;15(6):2554–2594. doi: 10.14336/AD.2024.0206 EDN: TBJLSW
- Yin Y, Chen H, Wang Y, et al. Roles of extracellular vesicles in the aging microenvironment and age-related diseases. J Extracell Vesicles. 2021;10(12):e12154. doi: 10.1002/jev2.12154 EDN: LZPLSM
- Voynova E, Kulebyakin K, Grigorieva O, et al. Declined adipogenic potential of senescent MSCs due to shift in insulin signaling and altered exosome cargo. Front Cell Dev Biol. 2022;10:1050489. doi: 10.3389/fcell.2022.1050489 EDN: VFHPZT
- Chaib S, Tchkonia T, Kirkland JL. Cellular senescence and senolytics: the path to the clinic. Nat Med. 2022;28(8):1556–1568. doi: 10.1038/s41591-022-01923-y EDN: SKANUC
- Sorokina AG, Orlova YA, Grigorieva OA, et al. Correlations between biomarkers of senescent cell accumulation at the systemic, tissue and cellular levels in elderly patients. Exp Gerontol. 2023;177:112176. doi: 10.1016/j.exger.2023.112176 EDN: OZOAVR
- Kalinina N, Kharlampieva D, Loguinova M, et al. Characterization of secretomes provides evidence for adipose-derived mesenchymal stromal cells subtypes. Stem Cell Res Ther. 2015;6:221. doi: 10.1186/s13287-015-0209-8 EDN: VAMZGZ
- Hwang HV, Tran DT, Rebuffatti MN, et al. Investigation of quercetin and hyperoside as senolytics in adult human endothelial cells. PLoS One. 2018;13(1):e0190374. doi: 10.1371/journal.pone.0190374
- Chondrogianni N, Kapeta S, Chinou I, et al. Anti-ageing and rejuvenating effects of quercetin. Exp Gerontol. 2010;45(10):763–771. doi: 10.1016/j.exger.2010.07.001
- Hohmann MS, Habiel DM, Coelho AL, et al. Quercetin enhances ligand-induced apoptosis in senescent idiopathic pulmonary fibrosis fibroblasts and reduces lung fibrosis in vivo. Am J Respir Cell Mol Biol. 2019;60(1):28–40. doi: 10.1165/rcmb.2017-0289OC
- Zamin LL, Filippi-Chiela EC, Dillenburg-Pilla P, et al. Resveratrol and quercetin cooperate to induce senescence-like growth arrest in C6 rat glioma cells. Cancer Sci. 2009;100(9):1655–1662. doi: 10.1111/j.1349-7006.2009.01215.x EDN: RLNDJB
- Baker DJ, Childs BG, Durik M, et al. Naturally occurring p16(Ink4a)-positive cells shorten healthy lifespan. Nature. 2016;530(7589):184–189. doi: 10.1038/nature16932 EDN: RLNDJB
- Da Silva-Álvarez S, Guerra-Varela J, Sobrido-Cameán D, et al. Cell senescence contributes to tissue regeneration in zebrafish. Aging Cell. 2020;19(1):e13052. doi: 10.1111/acel.13052
- Dong B, Shi Z, Dong Y, et al. Quercetin ameliorates oxidative stress-induced cell apoptosis of seminal vesicles via activating Nrf2 in type 1 diabetic rats. Biomed Pharmacother. 2022;151:113108. doi: 10.1016/j.biopha.2022.113108 EDN: AOSRIK
- Wang G, Wang Y, Yao L, et al. Pharmacological activity of quercetin: An updated review. Evid Based Complement Alternat Med. 2022;2022:3997190. doi: 10.1155/2022/3997190 EDN: CJGFLE
- Fu X, Feng Y, Shao B, Zhang Y. Taxifolin protects dental pulp stem cells under hypoxia and inflammation conditions. Cell Transplant. 2021;30:9636897211034452. doi: 10.1177/09636897211034452 EDN: XASLXQ
- Shu Z, Yang Y, Yang L, et al. Cardioprotective effects of dihydroquercetin against ischemia reperfusion injury by inhibiting oxidative stress and endoplasmic reticulum stress-induced apoptosis via the PI3K/Akt pathway. Food Funct. 2019;10(1):203–215. doi: 10.1039/c8fo01256c EDN: OYTMIX
- Romashkan S, Chang H, Hadley EC. National Institute on Aging Workshop: Repurposing drugs or dietary supplements for their senolytic or senomorphic effects: considerations for clinical trials. J Gerontol A Biol Sci Med Sci. 2021;76(6):1144–1152. doi: 10.1093/gerona/glab028 EDN: FKKNRS
- Wang W, Ma BL, Xu CG, Zhou XJ. Dihydroquercetin protects against renal fibrosis by activating the Nrf2 pathway. Phytomedicine. 2020;69:153185. doi: 10.1016/j.phymed.2020.153185 EDN: LGHDUQ
- Inoue T, Saito S, Tanaka M, et al. Pleiotropic neuroprotective effects of taxifolin in cerebral amyloid angiopathy. Proc Natl Acad Sci U S A. 2019;116(20):10031–10038. doi: 10.1073/pnas.1901659116 EDN: TOMIFE
- Tang Z, Yang C, Zuo B, et al. Taxifolin protects rat against myocardial ischemia/reperfusion injury by modulating the mitochondrial apoptosis pathway. PeerJ. 2019;(1):e6383. doi: 10.7717/peerj.6383 EDN: UGJUKM
- Kolhir VK, Bykov V, Teselkin Y, et al. Use of a new antioxidant diquertin as an adjuvant in the therapy of patients with acute pneumonia. Phytotherapy Research. 1998;12(8):606–608. doi: 10.1002/(SICI)1099-1573(199812)12:8 EDN: LEYJTH
Supplementary files






