New Fluorescent Materials Based on Polysiloxanes and Boron Bis(β-diketonates)
- Authors: Kim E.E.1, Il’ina T.M.1,2, Kononevich Y.N.1, Ionov D.S.3, Khanin D.A.1, Nikiforova G.G.1, Muzafarov A.M.1,4
-
Affiliations:
- Nesmeyanov Institute of Organoelement Compounds, Russian Academy of Sciences
- Mendeleev University of Chemical Technology of Russia
- Photochemistry Center, Federal National Research Center “Crystallography and Photonics,” Russian Academy of Sciences
- Enikolopov Institute of Synthetic Polymer Materials, Russian Academy of Sciences
- Issue: Vol 65, No 2 (2023)
- Pages: 284-294
- Section: Articles
- URL: https://journals.rcsi.science/2308-1147/article/view/232928
- DOI: https://doi.org/10.31857/S2308114723700371
- EDN: https://elibrary.ru/GCBIOS
- ID: 232928
Cite item
Full Text
Abstract
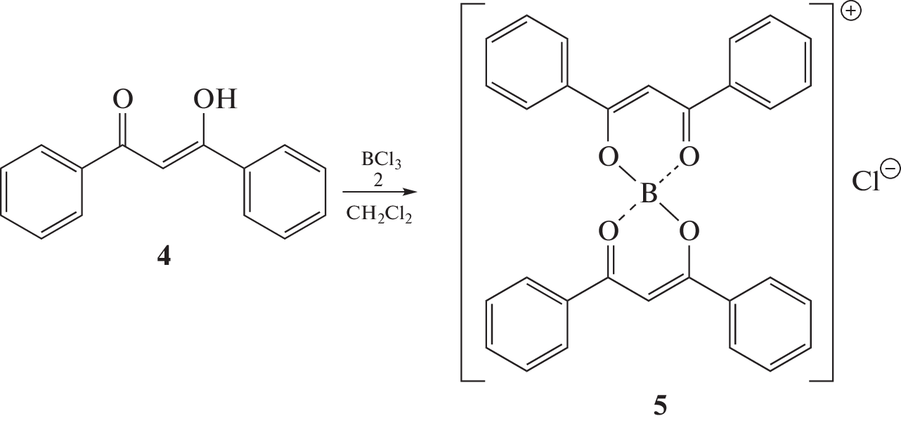
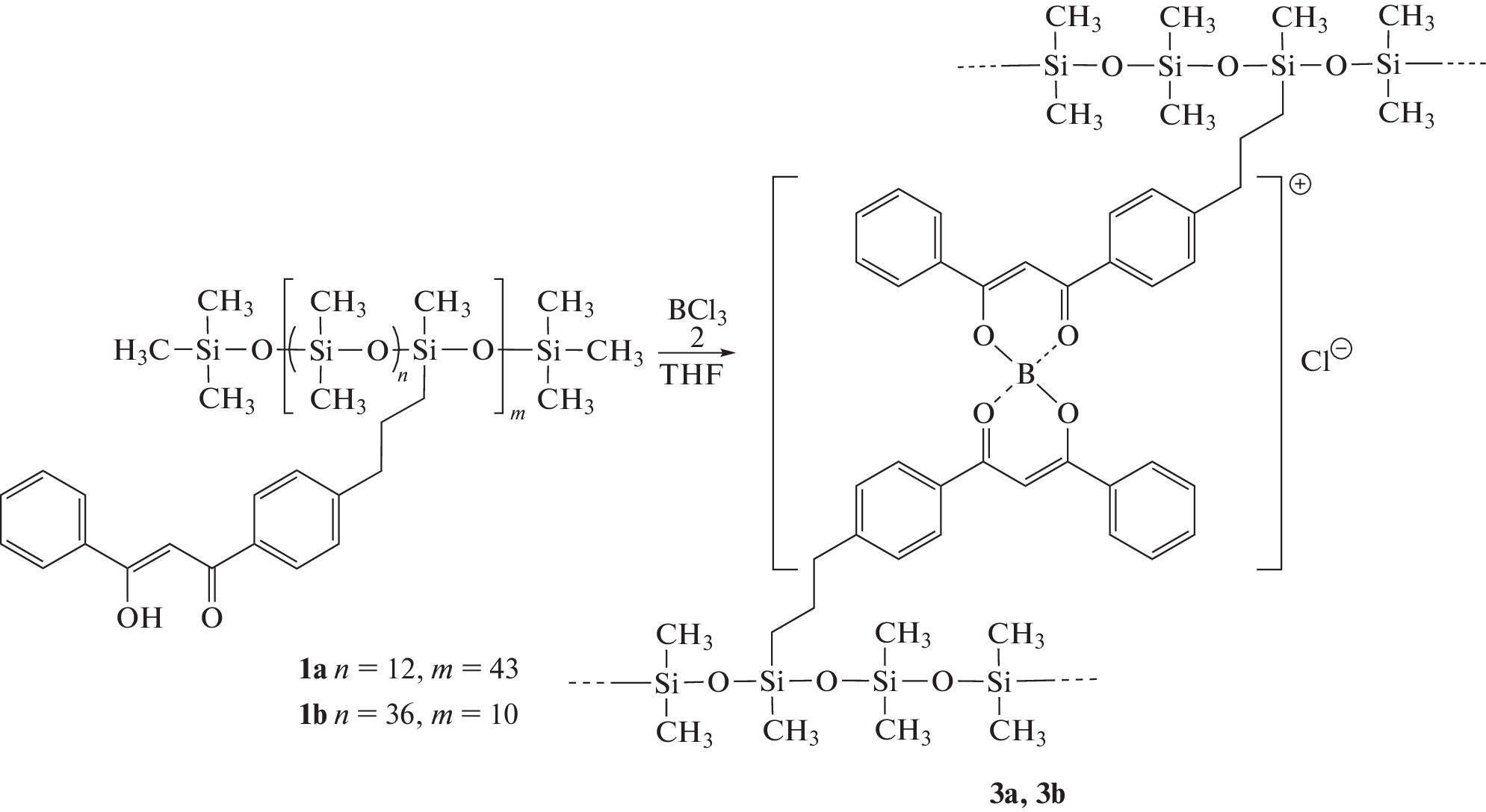
Crosslinked polysiloxanes with boron bis(dibenzoylmethanate) complexes used as crosslink junctions of polymer networks are first synthesized, and their physicochemical, mechanical, thermal, and fluorescent properties are studied. It is shown that the polymers under study feature the elastic behavior, possess high thermal and thermo-oxidative stability, and exhibit intense fluorescence in a wide wavelength range (400‒700 nm).
About the authors
E. E. Kim
Nesmeyanov Institute of Organoelement Compounds, Russian Academy of Sciences
Email: kononevich.yuriy@gmail.com
119334, Moscow, Russia
T. M. Il’ina
Nesmeyanov Institute of Organoelement Compounds, Russian Academy of Sciences; Mendeleev University of Chemical Technology of Russia
Email: kononevich.yuriy@gmail.com
119334, Moscow, Russia; 125047, Moscow, Russia
Yu. N. Kononevich
Nesmeyanov Institute of Organoelement Compounds, Russian Academy of Sciences
Email: kononevich.yuriy@gmail.com
119334, Moscow, Russia
D. S. Ionov
Photochemistry Center, Federal National Research Center “Crystallography and Photonics,” Russian Academy of Sciences
Email: kononevich.yuriy@gmail.com
119421, Moscow, Russia
D. A. Khanin
Nesmeyanov Institute of Organoelement Compounds, Russian Academy of Sciences
Email: kononevich.yuriy@gmail.com
119334, Moscow, Russia
G. G. Nikiforova
Nesmeyanov Institute of Organoelement Compounds, Russian Academy of Sciences
Email: kononevich.yuriy@gmail.com
119334, Moscow, Russia
A. M. Muzafarov
Nesmeyanov Institute of Organoelement Compounds, Russian Academy of Sciences; Enikolopov Institute of Synthetic Polymer Materials, Russian Academy of Sciences
Author for correspondence.
Email: kononevich.yuriy@gmail.com
119334, Moscow, Russia; 117393, Moscow, Russia
References
- Wei S., Li Z., Lu W., Liu H., Zhang J., Chen T., Tang B.Z. // Angew. Chemie Int. Ed. 2021. V. 60. № 16. P. 8608.
- Ahumada G., Borkowska M. // Polymers (Basel). 2022. V. 14. № 6. P. 1118.
- Cichosz S., Masek A., Zaborski M. // Polym. Test. 2018. V. 67. P. 342.
- Calvino C., Guha A., Weder C., Schrettl S. // Adv. Mater. 2018. V. 30. № 19. P. 1704603.
- Du X., Wang C., Wu G., Chen S. // Angew. Chemie Int. Ed. 2021. V. 60. № 16. P. 8585.
- Birchall L., Foerster A., Rance G.A., Terry A., Wildman R.D., Tuck C.J. // Sensors Actuators. A. 2022. V. 347. P. 113977.
- Alday J., Mazzeo A., Suarez S. // Inorg. Chim. Acta. 2020. V. 510. P. 119696.
- Chen P.-Z., Niu L.-Y., Chen Y.-Z., Yang Q.-Z. // Coord. Chem. Rev. 2017. V. 350. P. 196.
- Tanaka K., Chujo Y. // NPG Asia Mater. 2015. V. 7. № 11. P. e223.
- Loudet A., Burgess K. // Chem. Rev. 2007. V. 107. № 11. P. 4891.
- Frath D., Massue J., Ulrich G., Ziessel R. // Angew. Chemie Int. Ed. 2014. V. 53. № 9. P. 2290.
- Li D., Zhang H., Wang Y. // Chem. Soc. Rev. 2013. V. 42. № 21. P. 8416.
- Yoshii R., Suenaga K., Tanaka K., Chujo Y. // Chem. Eur. J. 2015. V. 21. № 19. P. 7231.
- Sagawa T., Ito F., Sakai A., Ogata Y., Tanaka K., Ikeda H. // Photochem. Photobiol. Sci. 2016. V. 15. № 3. P. 420.
- Kononevich Y.N., Temnikov M.N., Korlyukov A.A., Volodin A.D., Dorovatovskii P.V., Sazhnikov V.A., Safonov A.A., Ionov D.S., Ivanov A.A., Surin N.M., Svidchenko E.A., Muzafarov A.M. // Chempluschem. 2020. V. 85. № 6. P. 1111.
- Morris W.A., Kolpaczynska M., Fraser C.L. // J. Phys. Chem. C. 2016. V. 120. № 39. P. 22539.
- Louis M., Piñero García C., Brosseau A., Allain C., Métivier R. // J. Phys. Chem. Lett. 2019. V. 10. № 16. P. 4758.
- Zhang L., Ma L.-L., Wang X., Zhao X.-Y. // J. Lumin. 2019. V. 214. № 2. P. 116560.
- Louis M., Sethy R., Kumar J., Katao S., Guillot R., Nakashima T., Allain C., Kawai T., Metivier R. // Chem. Sci. Royal Soc. Chem. 2019. V. 10. № 3. P. 843.
- Poon C.-T., Lam W.H., Wong H.-L., Yam V.W.-W. // J. Am. Chem. Soc. 2010. V. 132. № 40. P. 13992.
- Li Z., Wang D., Ramella D., Gao H., Cao H., Zhao Y., Miao Z., Yang Z., He W. // Polym. Chem. Royal Soc. Chem. 2020. V. 11. № 17. P. 3046.
- Zhuang M., Joshi S., Sun H., Batabyal T., Fraser C.L., Kapur J. // Sci. Rep. Nature Publ. Group UK. 2021. V. 11. № 1. P. 1076.
- Li Z., Pei Y., Hou S., Dai Y., Liu D., Zhu J., Zhu Y.-P., Liu X. // Dye. Pigment. Elsevier Ltd. 2020. V. 179. № 4. P. 108419.
- Kononevich Y.N., Sazhnikov V.A., Belova A.S., Korlyukov A.A., Volodin A.D., Safonov A.A., Yurasik G.A., Ionov D.S., Muzafarov A.M. // New J. Chem. 2019. V. 43. № 35. P. 13725.
- Ionov D., Yurasik G., Kononevich Y., Sazhnikov V., Muzafarov A., Alfimov M. // Procedia Eng. 2016. V. 168. P. 341.
- Ionov D.S., Sazhnikov V.A., Yurasik G.A., Antonov A.V., Kononevich Y.N., Alfimov M.V. // High Energy Chem. 2015. V. 49. № 3. P. 183.
- Brown N.M.D., Bladon P. // J. Chem. Soc. A. 1969. № 526. P. 526.
- Reynolds G.A., Chen C.H. // J. Heterocycl. Chem. 1985. V. 22. № 3. P. 657.
- Martin D. // Chem. Rev. 1944. V. 34. № 3. P. 461.
- Gerrard W., Lappert M.F. // Chem. Rev. 1958. V. 58. № 6. P. 1081.
- Barabás A., Işfan E., Roman M., Paraschiv M., Romaş E., Balaban A.T. // Tetrahedron. 1968. V. 24. № 3. P. 1133.
- Sui Z., Salto R., Li J., Craik C., Ortiz de Montellano P.R. // Bioorganic Med. Chem. 1993. V. 1. № 6. P. 415.
- Shao W.-Y., Cao Y.-N., Yu Z.-W., Pan W.-J., Qiu X., Bu X.-Z., An L.-K., Huang Z.-S., Gu L.-Q., Chan A.S.C. // Tetrahedron Lett. 2006. V. 47. № 24. P. 4085.
- Shi L., Gao L., Cai S., Xiong Q., Ma Z. // Eur. J. Med. Chem. 2021. V. 221. P. 113528.
- Banet P., Legagneux L., Hesemann P., Moreau J., Nicole L., Quach A., Sanchez C., Tranthi T. // Sensors Actuators. B. 2008. V. 130. № 1. P. 1.
- Chen X., Zhang X., Zhang G. // Chem. Commun. Royal Soc. Chem. 2015. V. 51. № 1. P. 161.
- Zhang X., Zhang G. // Anal. Methods. 2012. V. 4. № 9. P. 2641.
- Liang Y., Xu L., Qu F., Tang K., Wang H., Yu W.W. // Polym. Chem. 2019. V. 10. № 35. P. 4818.
- Toulokhonova I., Bjerke-Kroll B., West R. // J. Organometal. Chem. 2003. V. 686. № 1–2. P. 101.
- Benniston A.C., Copley G., Harriman A., Ryan R. // J. Mater. Chem. 2011. V. 21. № 8. P. 2601.
- Kasprzyk W., Krzywda P., Bednarz S., Bogdał D. // RSC Adv. 2015. V. 5. № 110. P. 90473.
- Chen J., Song L., Wu Y., Zhao B., Deng J. // ACS Appl. Polym. Mater. 2022. V. 4. № 6. P. 4264.
- Pakhomov A.A., Kononevich Y.N., Stukalova M.V., Svidchenko E.A., Surin N.M., Cherkaev G.V., Shchegolikhina O.I., Martynov V.I., Muzafarov A.M. // Tetrahedron Lett. 2016. V. 57. № 9. P. 979.
- Pakhomov A.A., Mironiuk V.B., Kononevich Y.N., Kor-lyukov A.A., Volodin A.D., Pryakhina T.A., Martynov V.I., Muzafarov A.M. // Mendeleev Commun. 2017. V. 27. № 4. P. 363.
- Pakhomov A.A., Kim E.E., Kononevich Y.N., Ionov D.S., Maksimova M.A., Khalchenia V.B., Maksimov E.G., Anisimov A.A., Shchegolikhina O.I., Martynov V.I., Muzafarov A.M. // Dye. Pigment. 2022. V. 203. P. 110371.
- Belova A.S., Khchoyan A.G., Il’ina T.M., Kononevich Y.N., Ionov D.S., Sazhnikov V.A., Khanin D.A., Nikiforova G.G., Vasil’ev V.G., Muzafarov A.M. // Polymers (Basel). 2022. V. 14. № 23. P. 5075.
- Kim E.E., Kononevich Y.N., Dyuzhikova Y.S., Ionov D.S., Khanin D.A., Nikiforova G.G., Shchegolikhina O.I., Vasil’ev V.G., Muzafarov A.M. // Polymers (Basel). 2022. V. 14. № 13. P. 2554.
- Kim E.E., Kononevich Yu.N., Anisimov A.A., Buzin M.I., Vasil’ev V.G., Korlyukov A.A., Ionov D.S., Khanin D.A., Shtykova E.V., Volkov V.V., Muzafarov A.M. // React. Funct. Polym. 2021. V. 164. P. 104896.
- Eaton D.F. // Pure Appl. Chem. 1990. V. 62. № 8. P. 1631.
- Sun X., Wang X., Li X., Ge J., Zhang Q., Jiang J., Zhang G. // Macromol. Rapid Commun. 2015. V. 36. № 3. P. 298.
- Fedorenko E.V., Behra M.K., Kanwishera N. // J. Fluoresc. 2016. V. 26. № 5. P. 1839.
- Khrebtov A.A., Fedorenko E.V., Mirochnik A.G. // Polymer (Guildf). 2022. V. 256. P. 125255.
Supplementary files













