ЭВОЛЮЦИЯ МЕТАЛЛООРГАНОСИЛОКСАНОВ
- Авторы: Анисимов А.А.1,2,3, Миняйло Е.О.1,2, Шакирова А.Р.1,3, Щеголихина О.И.1
-
Учреждения:
- Институт элементоорганических соединений им. А.Н. Несмеянова Российской академии наук
- Тульский государственный педагогический университет им. Л.Н. Толстого
- Московский физико-технический институт (Национальный исследовательский университет)
- Выпуск: Том 65, № 2 (2023)
- Страницы: 245-275
- Раздел: Статьи
- URL: https://journals.rcsi.science/2308-1147/article/view/232922
- DOI: https://doi.org/10.31857/S2308114723700334
- EDN: https://elibrary.ru/HABLZJ
- ID: 232922
Цитировать
Полный текст
Аннотация
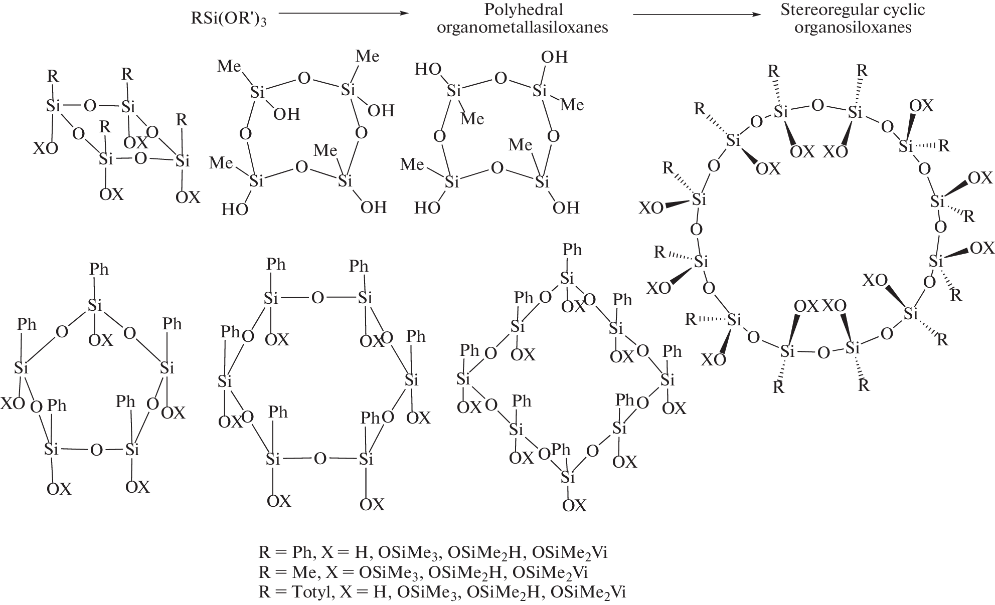
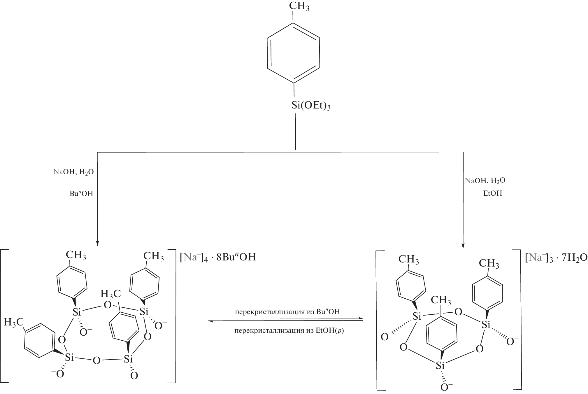
Рассмотрена химия металлоорганосилоксанов в развитии от первых полимерных систем до индивидуальных металлоорганосилоксанов и функциональных олигомерных соединений. Представлено структурное разнообразие кремнийорганических прекурсоров и вариативность металлосодержащих компонентов. Подробно изучены синтетические подходы, позволяющие направленно получать металлоорганосилоксаны определенного строения. На примере металлоорганосилоксанов, синтезированных на основе трифункциональных органоалкоксисиланов, продемонстрированы способы получения уникальных стереорегулярных функциональных циклосилоксанов и их производных. Большое внимание уделено прикладным аспектам металлоорганосилоксанов различного строения и их производных. Дана критическая оценка современного состояния химии металлоорганосилоксанов и их дальнейшей эволюции.
Об авторах
А. А. Анисимов
Институт элементоорганических соединений им. А.Н. Несмеянова Российской академии наук; Тульский государственный педагогический университет им. Л.Н. Толстого; Московский физико-технический институт (Национальный исследовательский университет)
Email: olga@ineos.ac.ru
Россия, 119334, Москва, ул. Вавилова, 28; Россия, 300026, Тула, пр. Ленина, 125; Россия, 141701, Московская обл., Долгопрудный, Институтский пер., 9
Е. О. Миняйло
Институт элементоорганических соединений им. А.Н. Несмеянова Российской академии наук; Тульский государственный педагогический университет им. Л.Н. Толстого
Email: olga@ineos.ac.ru
Россия, 119334, Москва, ул. Вавилова, 28; Россия, 300026, Тула, пр. Ленина, 125
А. Р. Шакирова
Институт элементоорганических соединений им. А.Н. Несмеянова Российской академии наук; Московский физико-технический институт (Национальный исследовательский университет)
Email: olga@ineos.ac.ru
Россия, 119334, Москва, ул. Вавилова, 28; Россия, 141701, Московская обл., Долгопрудный, Институтский пер., 9
О. И. Щеголихина
Институт элементоорганических соединений им. А.Н. Несмеянова Российской академии наук
Автор, ответственный за переписку.
Email: olga@ineos.ac.ru
Россия, 119334, Москва, ул. Вавилова, 28
Список литературы
- Su K., Tilley T.D. // Chem. Mater. 1997. V. 9. № 2. P. 588.
- Terry K.W., Lugmair C.G., Tilley T.D. // J. Am. Chem. Soc. 1997. V. 119. № 41. P. 9745.
- Fujdala K.L., Tilley T.D. // J. Catal. 2003. V. 216. № 1–2. P. 265.
- Coles M.P., Lugmair C.G., Terry K.W., Don Tilley T. // Chem. Mater. 2000. V. 12. № 1. P. 122.
- Fujdala K.L., Tilley T.D. // Chem. Mater. 2001. V. 13. № 5. P. 1817.
- Kriesel J.W., Tilley T.D. // J. Mater. Chem. 2001. V. 11. № 4. P. 1081.
- Psaro R., Ugo R. Metal Clusters in Catalysis / Eds by B.C. Gates, L. Guczi, H. Knözinger. Amsterdam: Elsevier, 1986.
- Lamb H.H., Gates B.C., Knözinger H. // Angew. Chem. Int. Ed. Eng. 1988. V. 27. № 9. P. 1127.
- Basset J.M., Gates B.C., Candy J.P., Choplin A., Leconte M., Quignard F., Santini C. Surface Organometallic Chemistry: Molecular Approaches to Surface Catalysis. Dordrecht: Kluwer, 1988.
- Somorjai G.A. Chemistry in Two Dimensions: Surfaces. New York: Cornell Univ. Press., 1981.
- Ladenburg A. // Berichte der Dtsch. Chem. Gesellschaft. 1871. V. 4. № 2. P. 901.
- Andrianov K.A. Pat. SU 71115 A1 USA. 1948.
- Андрианов К.А., Жданов А.А. // Докл. АН СССР. 1957. Т. 114. С. 1005.
- Андрианов К.А., Ганина Т.Н., Соколов Н.Н. // Высокомолек. соед. 1962. Т. 4. № 5. С. 678.
- Жданов А.А., Андрианов К.А., Левицкий М.М. // Изв. АН СССР. Сер. хим. 1974. Т. 3. С. 653.
- Жданов А.А., Андрианов К.А., Левицкий М.М. // Высокомолек. соед. А. 1976. Т. 18. № 10. С. 2264.
- Blagodatskikh I.V., Pozdniakova Yu.A., Shchegolikhina O.I., Zhdanov A.A. // Russ. Chem. Bull. 1996. V. 45. P. 920.
- Андрианов К.А., Аснович Э.З. // Высокомолек. соед. 1960. Т. 1. С. 136.
- Andrianov K.A., Asnovich É.Z., Petrashko A.I. Pat. SU 125681 A1 USA. 1960.
- Аснович Э.З., Андрианов К.А. // Высокомолек. соед. 1962. Т. 4. № 2. С. 216.
- Жданов А.А., Андринаов К.А., Колесников И.М., Панченко Г.М., Левицкий М.М., Белов Н.Н. // Высокомолек. соед. Б. 1975. Т. 17. С. 149.
- Andrianov K.A., Zhdanov A.A., Asnovich É.Z. // Bull. Acad. Sci. USSR Div. Chem. Sci. 1959. V. 8. № 10. P. 1687.
- Михайлов Н.В., Смирнова В.Н., Быков В.Т., Авилова Т.П., Золотарь Г.Н., Маринин В.П., Шапкин Н.П., Несонова Г.Д., А. с. 285156 СССР // Б.И. 1970. С. 1.
- Андрианов К.А. // Докл. АН СССР. 1963. Т. 151. № 5. С. 1093.
- Пат. 53-980 Япония. 1978 // РЖХим. 1978. 19С, 517П.
- Колесников И.М., Панченков Г.М., Андрианов К.А., Жданов A.A., Белов H.H., Левицкий М.М. // Изв. АН СССР. Сер. хим. 1976. Т. 6. С. 471.
- Колесников И.М., Панченков Г.М., Андрианов К.А., Жданов A.A., Белов H.H., Левицкий М.М., Павловская М.В. А. с. 491396 СССР // Б.И. 1975. № 42. С. 1.
- Колесников И.М., Панченков Г.М., Андрианов К.А., Белов Н.Н., Зеткин В.И., Жданов А.А., Куприянов И.И., Стародубцев Э.С., Дорофеева Л.Г. А. с. 594995 СССР // Б.И. 1978. № 8. С. 1.
- Пат. 55-40745 Япония. 1981 // РЖХим. 1981. 4с248П.
- Lundford J. // J. Catal. 1988. V. 111. № 1. P. 231.
- Рейхсфельд В.О., Ханходжаева Д.А., Пясецкая Л.В., Степанова Л.А. А. с. 810733 СССР // РЖХим. 1981. 4С248П.
- Хананашвили Л.M. Химия и технология элементоорганических мономеров и полимеров: Учебник для вузов. М.: Химия, 1998.
- Андрианов К.А. Полимеры с неорганическими цепями молекул. М.: Изд-во АН СССР, 1962.
- Voronkov M.G., Maletina E.A., Roman V.K. // Soviet Scientific Review Supplement. Ser. Chem. London: Acad. Press., 1981.
- Успехи в области синтеза элементоорганических соединений / Под ред. В.В. Коршака. М.: Наука, 1988.
- Inorganic Polymers / Eds. by F.G.A. Stone, W.A.G. Graham. London: Acad. Press., 1962.
- Schmidbaur H., Schmidt M. // Chem. Ber. 1961. V. 94. № 4. P. 1138.
- Schmidbaur H., Schmidt M. // J. Am. Chem. Soc. 1961. V. 83. № 13. P. 2963.
- Pauer F., Sheldrick G.M. // Acta Crystall. Sect. C. 1993. V. 49. № 7. P. 1283.
- Schmidbaur H. // Chem. Ber. 1964. V. 97. № 3. P. 836.
- Schindler F., Schmidbaur H., Krüger U. // Angew. Chem. Int. Ed. Eng. 1965. V. 4. № 10. P. 876.
- Schmidbaur H. // Angew. Chem. Int. Ed. Engl. 1965. V. 4. № 3. P. 201.
- Schindler F., Schmidbaur H. // Angew. Chem. Int. Ed. Engl. 1967. V. 6. № 8. P. 683.
- Baier M., Bissinger P., Blümel J., Schmidbaur H. // Chem. Ber. 1993. V. 126. № 4. P. 947.
- Marciniec B., Maciejewski H.T. // Coord. Chem. Rev. 2001. V. 223. № 1. P. 301.
- Kern B., Vitze H., Bolte M., Wagner M., Lerner H.-W. // Zeitschrift für Anorg. und Allg. Chemie. 2008. V. 634. № 11. P. 1830.
- Gosink H., Roesky H.W., Noltemeyer M., Schmidt H.-G., Freire-Erdbrügger C., Sheldrick G.M. // Chem. Ber. 1993. V. 126. № 2. P. 279.
- Hursthouse M.B., Hossain M.A. // Polyhedron. 1984. V. 3. № 1. P. 95.
- Schlover V.E., Struchkov Y., Levitskii M. // Zh. Strukt. Khim. 1986. V. 27. P. 120.
- Жданов А.А., Андрианов К., Богданова А. // Изв. АН СССР. Сер. хим. 1961. С. 220.
- Kapoor R.N., Cervantes-Lee F., Campana C.F., Haltiwanger C., Abney K., Pannell K.H. // Inorg. Chem. 2006. V. 45. № 5. P. 2203.
- Hursthouse M.B., Mazid M.A., Motevalli M., Sanganee M., Sullivan A.C. // J. Organomet. Chem. 1990. V. 381. № 2. P. C43.
- Gosink H.-J., Roesky H.W., Schmidt H.-G., Noltemeyer M., Irmer E., Herbst-Irmer R. // Organometallics. 1994. V. 13. № 9. P. 3420.
- Veith M., Jarczyk M., Huch V. // Angew. Chemie Int. Ed. Eng. 1997. V. 36. № 12. P. 117.
- King L., Sullivan A.C. // Coord. Chem. Rev. 1999. V. 189. № 1. P. 19.
- Murugavel R., Voigt A., Walawalkar M.G., Roesky H.W. // Chem. Rev. 1996. V. 96. № 6. P. 2205.
- Lorenz V., Fischer A., Gießmann S., Gilje J.W., Gun’ko Yu., Jacob K., Edelmann F.T. // Coord. Chem. Rev. 2000. V. 206–207. P. 321.
- Lorenz V., Fischer A., Brüser W., Edelmann F.T., Jacob K., Gelbrich T., Jones P.G. // Chem. Commun. 1998. № 20. P. 2217.
- Gießmann S., Blaurock S., Edelmann F.T. // Zeitschrift für Anorg. und Allg. Chemie. 2008. V. 634. № 1. P. 186.
- Lorenz V., Edelmann A., Gießmann S., Hrib C.G., Blaurock S., Edelmann F.T. // Zeitschrift für Anorg. und Allg. Chemie. 2010. V. 636. № 12. P. 2172.
- Lorenz V., Hrib C.G., Jones P.G., Edelmann F.T. // Inorg. Chem. Commun. 2014. V. 49. P. 37.
- Giessmann S., Blaurock S., Lorenz V., Edelmann F.T. // Inorg. Chem. 2007. V. 46. № 24. P. 10383.
- Rausch J., Lorenz V., Hrib C.G., Frettlöh V., Adlung M., Wickleder C., Edelmann F.T. // Inorg. Chem. 2014. V. 53. № 21. P. 11662.
- Ali A., Langer M., Lorenz V., Hrib C.G., Hilfert L., Edelmann F.T. // J. Organomet. Chem. 2015. V. 776. P. 163.
- Lorenz V., Ehle S., Liebing P., Engelhardt F., Hashemi-Haeri H., Oehler F., Hinderberger D., Busse S., Urbaschoka J., Edelmann F.T. // Dalt. Trans. 2018. V. 47. № 1. P. 62.
- Giessmann S., Blaurock S., Lorenz V., Edelmann F.T. // Inorg. Chem. 2007. V. 46. № 26. P. 10956.
- Murugavel R., Bhattacharjee M., Roesky H.W. // Appl. Organomet. Chem. 1999. V. 13. № 4. P. 227.
- Murugavel R., Chandrasekhar V., Roesky H.W. // Acc. Chem. Res. 1996. V. 29. № 4. P. 183.
- Nehete U.N., Anantharaman G., Chandrasekhar V., Murugavel R., Walawalkar M.G., Roesky H.W., Sass B. // Angew. Chemie Int. Ed. 2004. V. 43. № 29. P. 3832.
- Li Y., Wang J., Wu Y., Zhu H., Samuelb P.P., Roesky H.W. // Dalt. Trans. 2013. V. 42. № 37. P. 13715.
- Anantharaman G., Roesky H.W., Schmidt H.-G., Noltemeyer M., Pinkas J. // Inorg. Chem. 2003. V. 42. № 4. P. 970.
- Nehete U.N., Roesky H.W., Zhu H., Nembenna S., Schmidt H.-G., Noltemeyer M., Bogdanov D., Samwe K. // Inorg. Chem. 2005. V. 44. № 20. P. 7243.
- Nehete U.N., Roesky H.W., Jancik V., Pal A., Magull J. // Inorg. Chim. Acta. 2007. V. 360. № 4. P. 1248.
- Tan G., Yang Y., Chu C., Zhu H., Roesky H.W. // J. Am. Chem. Soc. 2010. V. 132. № 35. P. 12231.
- Feher F.J. // J. Am. Chem. Soc. 1986. V. 108. № 13. P. 3850.
- Feher F.J., Newman D.A., Walzer J.F. // J. Am. Chem. Soc. 1989. V. 111. № 5. P. 1741.
- Feher F.J., Budzichowski T.A., Blanski R.L., Weller K.J., Ziller J.W. // Organometallics. 1991. V. 10. № 7. P. 2526.
- Feher F.J., Gonzales S.L., Ziller J.W. // Inorg. Chem. 1988. V. 27. № 20. P. 3440.
- Feher F.J., Walzer J.F. // Inorg. Chem. 1990. V. 29. № 9. P. 1604.
- Feher F.J., Budzichowski T.A., Weller K.J. // J. Am. Chem. Soc. 1989. V. 111. № 18. P. 7288.
- Feher F.J., Walzer J.F. // Inorg. Chem. 1991. V. 30. № 8. P. 1689.
- Feher F.J., Budzichowski T.A. // Polyhedron. 1995. V. 14. № 22. P. 3239.
- Овчинников Ю.А., Жданов А.А., Левицкий М.М., Шкловер В.Е., Стручков Ю.Т. // Изв. АН СССР. Сер. хим. 1986. Т. 5. С. 1206.
- Duchateau R. // Chem. Rev. 2002. V. 102. № 10. P. 3525.
- Annand J., Aspinall H.C. // J. Chem. Soc. Dalt. Trans. 2000. № 12. P. 1867.
- Lorenz V., Gießmann S., Gun’ko Y.K., Fischer A.K., Gilje J.W., Edelmann F.T. // Angew. Chem. Int. Ed. 2004. V. 43. № 35. P. 4603.
- Gun’ko Y.K., Reilly R., Edelmann F.T., Schmidt H.-G. // Angew. Chem. Int. Ed. 2001. V. 40. № 7. P. 1279.
- Lorenz V., Blaurock S., Hrib C.G., Edelmann F.T. // Eur. J. Inorg. Chem. 2010. V. 2010. № 18. P. 2605.
- Wu G., Chen Y., Xu D.-J., Liu J.-C., Sun W., Shen Z. // J. Organomet. Chem. 2009. V. 694. № 9–10. P. 1571.
- Levitsky M.M., Bilyachenko A.N. // Coord. Chem. Rev. 2016. V. 306. P. 235.
- Quadrelli E.A., Basset J.-M. // Coord. Chem. Rev. 2010. V. 254. № 5–6. P. 707.
- Shchegolikhina O.I., Pozdniakova Yu.A., Lindeman S.V., Zhdanov A.A., Psaro R., Ugo R., Gavioli G., Battistuzzi R., Borsari M., Ruffer T., Zucchi C., Palyi G. // J. Organomet. Chem. 1996. V. 514. P. 29.
- Lindeman S.V., Shchegolikhina O.I., Molodtsova Y.A., Zhdanov A.A. // Acta Cryst. 1997. V. 53. P. 305.
- Igonin V.A., Lindeman S.V., Struchkov Yu.T., Shchegolikhina O.I., Zhdanov A.A., Molodtsova Yu.A., Razumovskaya I.V. // Organomet. Chem. 1991. V. 4. P. 672.
- Shchegolikhina O.I., Zhdanov A.A., Igonin V.A., Ovchinnikov Yu.E., Shklover V.E., Struchkov Yu.T. // Organomet. Chem. 1991. V. 4. P. 39.
- Igonin V.A., Lindeman S.V., Potekhin K.A., Shklover V.E., Struchkov Yu.T., Shchegolikhina O.I., Zhdanov A.A., Razumovskaya I.V. // Organomet. Chem. 1991. V. 4. P. 383.
- Igonin V.A., Lindeman S.V., Struchkov Yu.T., Molodtsova Yu.A., Shchegolikhina O.I., Zhdanov A.A. // Russ. Chem. Bull. 1993. V. 42. № 4. P. 718.
- Igonin V.A., Lindeman S.V., Struchkov Yu.T., Molodtsova Yu.A., Pozdniakova Yu.A., Shchegolikhina O.I., Zhdanov A.A. // Russ. Chem. Bull. 1993. V. 42. № 1. P. 176.
- Igonin V.A., Lindeman S.V., Stuchkov Yu.T., Shchegolikhina O.I., Molodtsova Yu.A., Pozdnyakova Yu.A., Zhdanov A.A. // Russ. Chem. Bull. 1993. V. 42. P. 168.
- Igonin V.A., Shchegolikhina O.I., Lindeman S.V., Levitsky M.M., Struchkov Yu.T., Zhdanov A.A. // J. Organomet. Chem. 1992. V. 423. P. 351.
- Timofeeva T.V., Clark R.D., Shchegolikhina O.I., Allinger N.L. // Technical Proceedings of the Second Interantional Conference on Modeling and Simulation of Microsystems. San Juan; Puerto Rico, 1999.
- Molodtsova Y.A., Pozdniakova Yu.A., Lyssenko K.A., Blagodatskikh I.V., Katsoulis D.E., Shchegolikhina O.I. // J. Organomet. Chem. 1998. V. 571. P. 31.
- Molodtsova Y.A. Lyssenko K.A., Blagodatskikh I.V., Matukhina E.V., Peregudov A.S., Buzin M.Y., Vasil’ev V.G., Katsoulis D.E., Shchegolikhina O.I. // J. Organomet. Chem. 2008. V. 693. № 10. P. 1797.
- Благодатских И.В., Молодцова Ю.А., Позднякова Ю.А., Щеголихина О.И., Хохлов А.Р. // Коллоидный журн. 2008. Т. 4. С. 447.
- Pozdniakova Y.A., Lyssenko K.A., Korlyukov A.A., Blagodatskikh I.V., Auner N., Katsoulis D., Shchegolikhina O.I. // Eur. J. Inorg. Chem. 2004. V. 2004. № 6. P. 1253.
- Pozdniakova Yu., Shchegolikhina O., Herrshaft B., Auner N., Katsoulis D. // Organometallics. 2000. V. 19. № 6. P. 1077.
- Zherlitsyna L., Auner N., Bolte M., Pozdniakova Y., Shchegolikhina O., Lyssenko K., Pashchenko V., Wolf B., Lang M., Schütz F., Kollar M., Sauli F., Kopietz P. // Eur. J. Inorg. Chem. 2007. V. 2007. № 30. P. 4827.
- Pashchenko V., Lang M., Wolf B., Zherlitsyna L., Auner N., Shchegolikhina O., Pozdniakova Yu., Schütz F., Kopietz P., Kollar M. // Comptes Rendus Chim. 2007. V. 10. № 1–2. P. 89.
- Pozdnyakova Y.A., Chetverikov A.A., Lyssenko K.A., Peregudov A.S., Buzin M.I., Matukhina E.V., Shchegolikhina O.I. // Russ. Chem. Bull. 2007. V. 56. № 1. P. 77.
- Shchegolikhina O.I., Pozdniakova Yu.A., Chetverikov A.A., Peregudov A.S., Buzin M.I., Matukhina E.V. // Russ. Chem. Bull. 2007. V. 56. № 1. P. 83.
- Pozdnyakova Y.A., Korlyukov A.A., Lyssenko K.A., Zherlitsyna L., Auner N., Shchegolikhina O.I. // J. Organomet. Chem. 2013. V. 729. P. 86.
- Anisimov A.A., Kononevich Yu.N., Zhemchugov P.V., Milenin S.A., Korlyukov A.A., Tsareva U.S., Peregudov A.S., Dorovatovskii P.V., Molodtsova Yu.A., Takazova R.U., Shchegolikhina O.I., Muzafarov A.M. // RSC Adv. 2016. V. 6. № 26. P. 22052.
- Anisimov A.A., Zhemchugov P.V., Milenin S.A., Goloveshkin A.S., Tsareva U.S., Bushmarinov I.S., Korlyukov A.A., Takazova R.U., Molodtsova Yu.A., Muza-farov A.M., Shchegolikhina O.I. // J. Organomet. Chem. 2016. V. 823. P. 103.
- Korlyukov A.A., Eskova M.A., Tkachenko I.M., Kononevich Yu.N., Shchegolikhina O.I., Muzafarov A.M. // Mendeleev Commun. 2015. V. 25. № 3. P. 226.
- Zucchi C., Mattioli M., Gavioli G., Moret M., Sironi A., Ugo R., Pizzotti M., Shchegolikhina O.I., Palyi G. // Eur. J. Inorg. Chem. 2000. P. 1327.
- Sergienko N.V., Trankina E.S., Pavlov V.A., Zhdanov A.A., Lysenko K.A., Antipin M.Yu., Akhmetieva E.I. // Russ. Chem. Bull. 2004. V. 53. № 2. P. 351.
- Bilyachenko A.N., Korlyukov A.A., Antipin M.Yu., Zavin B.G., Levitskiy M.M. // Russ. Chem. Bull. 2006. V. 55. № 5. P. 943.
- Zavin B.G., Sergienko N.V., Korlyukov A.A., Myakushev V.D., Antipin M.Yu. // Mendeleev Commun. 2008. V. 18. № 3. P. 76.
- Sergienko N.V., Korlyukov A.A., Myakushev V.D., An-tipin M.Yu., Zavin B.G. // Russ. Chem. Bull. 2009. V. 58. № 11. P. 2258.
- Kononevich Y.N., Anisimov A.A., Korlyukov A.A., Tsareva U.S., Shchegolikhina O.I., Muzafarov A.M. // Mendeleev Commun. 2017. V. 27. № 4. P. 332.
- Wells A.F. Structural Inorganic Chemistry. Oxford: Oxford Univ. Press, 1986.
- Воронков М.Г., Милешкевич В.П., Южелевский Ю.А. Силоксановая связь. Новосибирск: Наука, 1976.
- Molodtsova Y.A., Pozdnyakova Yu.A., Blagodatskikh I.V., Peregudov A.S., Shchegolikhina O.I. // Russ. Chem. Bull. 2003. V. 52. № 12. P. 2722.
- Pashchenko V., Brendel B., Wolf B., Lang M., Lyssenko K., Shchegolikhina O., Molodtsova Yu., Zherlitsyna L., Auner N., Schütz F., Kollar M., Kopietz P., Harrison N. // Eur. J. Inorg. Chem. 2005. V. 2005. № 22. P. 4617.
- Shchegolikhina O.I., Pozdnyakova Yu.A., Molodtsova Yu.A., Korkin S.D., Bukalov S.S., Leites L.A., Lyssenko K.A., Peregudov A.S., Auner N., Katsoulis D.E. // Inorg. Chem. 2002. V. 41. № 25. P. 6892.
- Anisimov A.A., Vysochinskaya Y.S., Kononevich Y.N., Dolgushin F.M., Muzafarov A.M., Shchegolikhina O.I. // Inorg. Chim. Acta. 2021. V. 517. P. 120160.
- Gavioli G., Battistuzzi R., Santi P., Zucchi C., Palyi G., Ugo R., Vizi-Orsz A., Shchegolikhina O.I., Pozdniakova Yu.A., Lindeman S.V., Zhdanov A.A. // J. Organomet. Chem. 1995. V. 485. № 1–2. P. 257.
- Zucchi C., Mattioli M., Cornia A., Fabretti A.C., Ga-violi G., Pizzotti M., Ugo R., Pozdniakova Yu.A., Shchegolikhina O.I., Zhdanov A.A., Pályi G. // Inorg. Chim. Acta. 1998. V. 280. № 1–2. P. 282.
- Cornia A., Fabretti A.C., Gavioli G., Zucchi C., Pizzotti M., Vizi-Orosz A., Shchegolikhina O.I., Pozdniakova Yu.A., Pályi G. // J. Clust. Sci. 1998. V. 9. № 3. P. 295.
- Sergienko N.V., Cherkun N.V., Korlyukov A.A., Sochikhin A.A., Myakushev V.D., Strelkova T.V., Zavin B.G. // Russ. Chem. Bull. 2013. V. 62. № 9. P. 1999.
- Cornia A., Fabretti A., Gatteschi D., Palyi G., Rentschler E., Shchegolikhina O., Zhdanov A.A. // Inorg. Chem. 1995. V. 34. № 21. P. 5383.
- Rentschler E., Gatteschi D., Cornia A., Fabretti A.C., Barra A.L., Shchegolikhina O., Zhdanov A.A. // Inorg. Chem. 1996. V. 35. № 15. P. 4427.
- Abbati G.L., Caneschi A., Cornia A., Fabretti A.C., Pozdniakova Yu.A., Shchegolikhina O.I. // Angew. Chemie Int. Ed. 2002. V. 41. № 23. P. 4517.
- Abbati G.L., Barra A-L., Caneschi A., Cornia A., Fabretti A.C., Gatteschi D., Pozdniakova Yu.A., Shchegolikhina O.I. // Comptes Rendus Chim. 2003. V. 6. № 7. P. 645.
- Pashchenko V., Brendel B., Wolf B., Lang M., Lyssenko K., Shchegolikhina O., Molodtsova Yu., Zherlitsyna L., Auner N., Schutz F., Kollar M., Kopietz P., Harrison N. // Eur. J. Inorg. Chem. 2005. V. 2005. № 22. P. 4617.
- Биляченко А.Н., Левицкий М.М., Хрусталев В.Н. Металлоорганосилоксаны. Современные концепции и методы. М.: Москва, 2018.
- Bilyachenko A., Yalymov A., Shul’pina L., Mandelli D., Korlyukov A., Vologzhanina A., Es’kova M., Shubina E., Levitsky M., Shul’pin G. // Molecules. 2016. V. 21. № 5. P. 665.
- Astakhov G.S., Bilyachenko M., Levitsky A., Shul’pina L., Korlyukov A., Zubavichus Y., Khrustalev V., Vologzhanina A., Shubina E., Dorovatovskii P., Shul’pin G. // Inorg. Chem. 2020. V. 59. № 7. P. 4536.
- Bilyachenko A.N., Gutsul E., Khrustalev V., Astakhov G., Zueva A., Zubavichus Y., Kirillova M., Shul’pina L., Ikonnikov N., Dorovatovskii P., Shubina E., Kirillov A., Shul’pin G. // Inorg. Chem. 2022. V. 61. № 37. P. 14800.
- Bilyachenko A.N., Kulakova A., Levitsky M., Korlyukov A., Khrustalev V., Vologzhanina A., Titov A., Dorovatovskii P., Shul’pina L., Lamaty F., Bantreil X., Villemejeanne B., Ruiz C., Martinez J., Shubina E., Shul’pin G. // Chem. Cat. Chem. 2017. V. 9. № 23. P. 4437.
- Bilyachenko A.N., Arteev I., Khrustalev V., Zueva A., Shul’pina L., Shubina E., Ikonnikov N., Shul’pin G. // Molecules. 2023. V. 28. № 3. P. 1211.
- Kulakova A.N., Bilyachenko A., Levitsky M., Khrustalev V., Korlyukov A., Zubavichus Y., Dorovatovskii P., Lamaty F., Bantreil X., Villemejeanne B., Martinez J., Shul’pina L., Shubina E., Gutsul E., Mikhailov I., Ikonnikov N., Tsareva U., Shul’pin G. // Inorg. Chem. 2017. V. 56. № 24. P. 15026.
- Bilyachenko A.N., Kulakova A., Levitsky M., Petrov A., Korlyukov A., Shul’pina L., Khrustalev V., Dorovatovskii P., Vologzhanina A., Tsareva U., Golub I., Gulyaeva E., Shubina E., Shul’pin G. // Inorg. Chem. 2017. V. 56. № 7. P. 4093.
- Dronova M.S., Bilyachenko A.N., Yalymov A.I., Koz-lov Y.N., Shul’pina L.S., Korlyukov A.A., Arkhipov D., Levitsky M.M., Shubina E.S., Shul’pin G.B. // Dalt. Trans. 2014. V. 43. № 2. P. 872.
- Matukhina E.V., Shchegolikhina O.I., Makarova N.N., Pozdniakova Yu.A., Katsoulis D., Godovskiy Yu.K. // Liq. Cryst. 2001. V. 28. № 6. P. 869.
- Matukhina E.V., Shchegolikhina O.I., Molodtsova Yu.A., Pozdniakova Yu.A., Lyssenko K.A., Vasil’ev V.G., Buzin M.I., Katsoulis D.E. // Liq. Cryst. 2004. V. 31. № 3. P. 401.
- Molodtsova Y.A., Shchegolikhina O.I., Peregudov A.S., Buzin M.I., Matukhina E.V. // Russ. Chem. Bull. 2007. V. 56. № 7. P. 1402.
- Matukhina E.V., Molodtsova Yu.A., Pozdnyakova Yu.A., Buzin M.I., Vasil’ev V.G., Katsoulis D.E., Shchegolikhina O.I. // Inorg. Chem. 2011. V. 50. № 20. P. 10033.
- Pozdnyakova Y.A., Korlyukov A.A., Kononova E.G., Lyssenko K.A., Peregudov A.S., Shchegolikhina O.I. // Inorg. Chem. 2010. V. 49. № 2. P. 572.
- Shchegolikhina O.I., Anisimov A.A., Shchemelinina M.V., Zhemchugov P.V., Goloveshkin A.S., Korlukov A.A., Kononova E.G., Pigaleva M.A., Elmanovich I.V., Gallimov M.O., Muzafarov A.M. // Macroheterocycles. 2015. V. 8. № 2. P. 193.
- Shchemelinina M.V., Shchegolikhina O.I., Molodtsova Yu.A., Anisimov A.A., Goloveshkin A.S., Kononova E.G., Pigaleva M.A., Elmanovich I.V., Gallyamov M.O., Muzafarov A.M. // Green Chem. Lett. Rev. 2016. V. 9. № 1. P. 69.
- Anisimov A.A., Kononevich Yu.N., Buzin M.I., Peregudov A.S., Shchegolikhina O.I., Muzafarov A.M. // Macroheterocycles. 2016. V. 9. № 4. P. 442.
- Vysochinskaya Y.S., Anisimov A.A., Milenin S.A., Kor-lyukov A.A., Dolgushin F.M., Kononova E.G., Peregu-dov A.S., Buzin M.I., Shchegolikhina O.I., Muzafa-rov A.M. // Mendeleev Commun. 2018. V. 28. № 4. P. 418.
- Murphy P., Dalgarno S.J., Paterson M.J. // J. Phys. Chem. A. 2017. V. 121. № 41. P. 7986.
- Kato K., Nemoto K., Mayumi K., Yokoyama H., Kohzo Ito K. // ACS Appl. Mater. Int. 2017. V. 9. № 38. P. 32436.
- Zhemchugov P.V., Peregudov A.S., Malakhova Yu.N., Buzin A.I., Buzin M.I., Shchegolikhina O.I., Muza-farov A.M. // Russ. Chem. Bull. 2015. V. 64. № 6. P. 1394.
- Pakhomov A.A., Kononevich Yu.N., Stukalova M.V., Svidchenko E.A., Surin N.M., Cherkaev G.V., Shchegolikhina O.I., Martynov V.I., Muzafarov A.M. // Tetrahedron Lett. 2016. V. 57. № 9. P. 979.
- Pakhomov A.A., Kim E.E., Kononevich Yu.N., Ionov D.S., Maksimova M.A., Khalchenia V.B., Maksimov E.G., Anisimov A.A., Shchegolikhina O.I., Martynov V.I., Muzafarov A.M. // Dye. Pigment. 2022. V. 203. P. 110371.
- Anisimov A.A., Polshchikova N.V., Vysochinskaya Yu.S., Zader P.A., Nikiforova G.G., Peregudov A.S., Buzin M.I., Shchegolikhina O.I., Muzafarov A.M. // Mendeleev Commun. 2019. V. 29. № 4. P. 421.
- Ershova T.O., Anisimov A.A., Temnikov M.N., Novikov M.A., Buzin M.I., Nikiforova G.G., Dyuzhikova Yu.S., Ushakov I.E., Shchegolikhina O.I., Muza-farov A.M. // Polymers (Basel). 2021. V. 13. № 24. P. 4452.
- Dyuzhikova Y.S., Anisimov A.A., Peregudov A.S., Buzin M.I., Nikiforova G.G., Vasil’ev V.G., Kostrov S.A., Buzin A.I., Stupnikov A.A., Malakhova Yu.N., Shchegolikhina O.I., Muzafarov A.M. // Polymers (Basel). 2022. V. 14. № 2. P. 285.
- Vysochinskaya Y.S., Anisimov A.A., Peregudov A.S., Dubovik A.S., Orlov V.N., Malakhova Yu.N., Stupnikov A.A., Buzin M.I., Nikiforova G.G., Vasil’ev V.G., Shchegoli-khina O.I., Muzafarov A.M. // J. Polym. Sci., Polym. Chem. 2019. V. 57. № 11. P. 1233.
- Высочинская Ю.С., Краснов А.П., Наумкин А.В., Щеголихина О.И., Паршина М.С., Горошков М.В., Маслаков К.И., Гаврюшенко Н.С., Фомин Л.В., Локшин Б.В., Анисимов А.А., Волков И.О. // Трение и износ. 2017. Т. 38. № 60. P. 532.
- Vysochinskaya Y.S., Gorodov V.V., Anisimov A.A., Boldyrev K.L., Buzin M.I., Naumkin A.V., Maslakov K.I., Peregudov A.S., Shchegolikhina O.I., Muzafarov A.M. // Russ. Chem. Bull. 2017. V. 66. № 6. P. 1094.
- Dyuzhikova Y.S., Anisimov A.A., Gorodov V.V., Olenich E.A., Buzin M.I., Nikiforova G.G., Kostrov S.A., Shchegoli-khina O.I., Muzafarov A.M. // J. Organomet. Chem. 2023. V. 989. P. 122650.
- Han J., Zheng S. // Macromolecules. 2008. V. 41. № 13. P. 4561.
- Han J., Zheng S. // J. Polym. Sci., Polym. Chem. 2009. V. 47. № 24. P. 6894.
- Han J., Zhu L., Zheng S. // Eur. Polym. J. 2012. V. 48. № 4. P. 730.
- Zhu L., Zhang C., Han J., Zheng S., Li X. // Soft Matter. 2012. V. 8. № 26. P. 7062.
- Yi Y., Li L., Zheng S. // Polymer (Guildf). 2014. V. 55. № 16. P. 3925.
- Yoshikawa M., Ikawa H., Wada H., Shimojima A., Kuroda K. // Chem. Lett. 2018. V. 47. № 9. P. 1203.
- Rebrov E.A., Muzafarov A.M. // Heteroat. Chem. 2006. V. 17. № 6. P. 514.
- Muzafarov A.M. // Efficient Methods for Preparing Silicon Compounds. Amsterdam: Elsevier, 2016. P. 179.
- Tebeneva N.A., Meshkov I.B., Tarasenkov A.N., Polshchikova N.V., Kalinina A.A., Buzin M.I., Serenko O.A., Zubavichus Y.V., Katsoulis D.E., Muzafarov A.M. // J. Organomet. Chem. 2018. V. 868. P. 112.
- Andropova U.S., Tebeneva N.A., Serenko O.A., Tarasenkov A.N., Buzin M.I., Shaposhnikova V.V., Muzafarov A.M. // Mater. Des. 2018. V. 160. P. 1052.
- Pol’shchikova N.V., Sergienko N.V., Belova A.S., Kononevich Yu.N., Ionov D.S., Khanin D.A., Buzin M.I., Nikiforova G.G., Shchegolikhina O.I., Muzafarov A.M. // React. Funct. Polym. 2023. V. 186. P. 105541.
- Tebeneva N.A., Tarasenkov A.N., Buzin M.I., Shaposhnikova V.V., Serenko O.A., Muzafarov A.M. // Russ. Chem. Bull. 2016. V. 65. № 4. P. 1097.
- Andropova U.S., Parshina M.S., Tebeneva N.A., Tarasenkov A.N., Buzin M.I., Shaposhnikova V.V., Serenko O.A., Muzafarov A.M. // Russ. Chem. Bull. 2018. V. 67. № 2. P. 230.
- Andropova U., Serenko O., Tebeneva N., Tarasenkov A., Buzin M., Afanasyev E., Sapozhnikov D., Bukalov S., Leites L., Aysin R., Polezhaev A., Naumkin A., Novikov L., Chernik V., Voronina E., Muzafarov A. // Polym. Test. 2020. V. 84. P. 106404.
- Serenko O., Andropova U., Tebeneva N., Buzin M., Afanasyev E., Tarasenkov A., Bukalov S., Leites L., Aysin R., Novikov L., Chernik V., Voronina E., Muzafarov A. // Materials (Basel). 2020. V. 13. № 14. P. 3204.
- Andropova U., Serenko O., Tebeneva N., Tarasenkov A., Askadskii A., Afanasyev E., Novikov L., Chernik V., Voronina E., Muzafarov A. // Polym. Degrad. Stab. 2021. V. 183. P. 109424.
- Tarasenkov A.N., Tebeneva N.A., Parshina M.S., Meshkov I.B., Vasilenko N.G., Cherkaev G.V., Goncharuk G.P., Katsoulis D.E., Muzafarov A.M. // J. Organomet. Chem. 2020. V. 906. P. 121034.
- Belov N.A., Tarasenkov A.N., Tebeneva N.A., Vasilenko N.G., Shandryuk G.A., Yampolskii Yu.P., Muza-farov A.M. // Polymer Science B. 2018. V. 60. № 3. P. 405.
- Parshina M.S., Tarasenkov A.N., Aysin R.R., Tebeneva N.A., Buzin M.I., Afanasyev E.S., Serenko O.A., Muzafarov A.M. // J. Appl. Polym. Sci. 2021. V. 138. № 36. P. 50918.
Дополнительные файлы



























































