Forecasting the development of agricultural crops in a digital twin of plant cultivation
- Authors: Skobelev P.O.1, Galuzin V.A.1, Galitskaya A.V.1, Galuzin A.A.2
-
Affiliations:
- Samara State Technical University
- Samara National Research University named after academician S.P. Korolev
- Issue: Vol 15, No 2 (2025)
- Pages: 211-227
- Section: APPLIED ONTOLOGY OF DESIGNING
- URL: https://journals.rcsi.science/2223-9537/article/view/316478
- DOI: https://doi.org/10.18287/2223-9537-2025-15-2-211-227
- ID: 316478
Cite item
Full Text
Abstract
A method is proposed for calculating the output parameters of an agricultural crop in a digital twin of plant cultivation, considering weather conditions and environmental resource constraints. The method is based on a model of "tubes" of input and output parameters at different stages of plant growth and development - representing ideal, normal and critical value ranges for plant survival of the main environmental factors for each plant variety. The proposed calculation method links the input and output parameters of the current stage and carries the obtained results forward to the next stage, enabling the construction of a final piecewise linear plan for plant growth and development, as well as predicting yield and other plant characteristics. A system was developed to implement this method, and its application for calculations and modeling experiments is demonstrated. The obtained results are compared with field experiment data on winter wheat growth and development. An assessment of the identified discrepancies is given, the obtained results are discussed, conclusions are formulated and directions for further research and development are presented.
Full Text
Введение
Эффективное управление растениеводством важно для повышения урожайности, снижения затрат и минимизации вреда для окружающей среды. Разработка методов адаптивного планирования и моделирования стадий роста и развития растений, прогнозирования урожайности актуальны и значимы для продуктивности и эффективности растениеводства.
Одной из ключевых культур для Российской Федерации является пшеница [1]. Масса собранной озимой пшеницы в Самарской области за период с 2013 по 2023 годы составляла от 606 тыс. тонн до 1374,4 тыс. тонн, в т.ч.: в 2017 году – 1321,4 тыс. тонн, в 2018 году – 880,5 тыс. тонн, в 2019 году – 709,1 тыс. тонн, в 2020 году – 1633,6 тыс. тонн1. Приведённые сведения показывают значительные изменения массы собранного зерна в зависимости в т.ч. от погодных условий.
Прогнозировать урожайность средствами, применяемыми агрономами и фермерами, трудно в силу отсутствия адекватных математических моделей физиологии растений и среды. Многие сорта сельскохозяйственных (с/х) растений являются искусственно созданными и постоянно обновляются. Это не позволяет собрать большие объёмы данных и провести статистически значимую обработку данных в различных условиях, чтобы построить точные и достоверные модели. Большой вклад в процессы роста и развития растений вносят технологии агрономической обработки семян, растений и почвы полей, отчасти компенсирующие неблагоприятные факторы внешней среды.
Кроме неопределённости и колебаний погодных условий, трудности прогнозирования роста и развития с/х культур являются следствием недостаточности агрометеорологических наблюдений сети гидрометеостанций на производственных посевах [2]. Обычно на практике применяют анализ данных дистанционного зондирования Земли [3]. Анализ этих данных в ряде случаев является достаточным для мониторинга (и отчасти прогнозирования) роста и развития посевов на больших территориях, но для управления хозяйствами необходимы более точные модели роста и развития растений, позволяющие вести достоверное прогнозирование и рассчитывать влияние факторов внешней среды на выходные параметры растений.
Значительный прогресс достигается применением технологий Интернета вещей для мониторинга погоды и фактического состояния растений и почвы [4]. Однако задачу моделирования и прогнозирования роста и развития посевов эти средства не решают.
Для поддержки принятия решений агрономами и фермерами традиционные математические модели и статистические методы обработки данных, а также существующие информационные технологии оказываются применимы лишь частично. Становится актуальной задача разработки новых подходов, которые можно на практике легко и быстро адаптировать к климату региона, сортам выращиваемых растений, особенностям полей каждого хозяйства и т.д. Методы и средства моделирования и прогнозирования развития с/х культур должны способствовать повышению эффективности использования доступных ресурсов (вода, удобрения и средства защиты растений), поддерживать подходы точного земледелия, иметь низкую стоимость, быть удобными и простыми на практике.
1. Постановка задачи
Предлагаемый подход заключается в разработке цифровых двойников (ЦД) посевов растений (ЦДПР), которые должны позволять: отражать состояние растения на поле по определённому агрономами ряду важнейших параметров, характеризующих растение на каждой стадии; планировать рост и развитие растений на основе правил принятия решений, формируемых агрономами; моделировать поведение растений при различных событиях и условиях внешней среды; адаптивно перестраивать планы ухода за растениями при наступлении факта или других непредвиденных событий [5].
В настоящей работе развиваются научные исследования, выполняемых в Молодежной лаборатории ЦД растений СамНЦ РАН и в СамГТУ по проектам интеллектуальных кибер-физических систем управления точным земледелием и ЦД брокколи [6]. В работах [7, 8] представлены базовая концепция ЦД растения, методы, модели и средства её построения, реализовано несколько версий ЦДПР, которые проходят испытания на экспериментальных полях по выращиванию пшеницы и других растений в СамНЦ РАН. Предлагаемые модель и метод расчёта являются основой построения новой версии ЦДПР, базирующейся на основе экспертных знаний агрономов для принятия решений по расчётам зависимостей входных и выходных параметров посевов растений на каждой стадии их роста и развития и более сложной модели растения с внутренним гомеостазом.
Требуется разработать метод расчёта длительности стадий роста и развития посевов растений, а для каждой стадии – метод расчёта значений выходных параметров в зависимости от значений входных параметров, учитывающих состояние окружающей среды и растения. Для разных с/х культур состав входных и выходных параметров на разных стадиях различен, поэтому разрабатываемый метод должен предполагать возможность изменения состава, типов и числа входных и выходных параметров.
По условиям задачи для каждого сорта с/х культуры в онтологии растениеводства задан процесс роста и развития посевов растения на стадиях, состоящий из списка стадий , где L – количество стадий или фаз2. Для каждой фазы задан пополняемый список входных и выходных параметров, а также параметр длительности фазы.
Для каждой стадии вводятся: , где K – количество влияющих факторов для i-ой стадии развития с/х культуры. , где M – количество выходных параметров для i-ой стадии развития с\х культуры.
Выходные значения одной стадии могут являться входными для следующей:
Для каждого сорта растений на основе онтологии растениеводства создаётся онтологическая модель сорта, которая включает семантическую сеть входных и выходных параметров стадий растений. Онтологическая модель сорта растения считается заданной для разрабатываемой системы, куда она загружается в виде json файла.
На рисунке 1 изображена примерная схема связей между параметрами стадий, задающая входные условия для решения задачи.
Рисунок 1 – Примерная схема условий задачи. inij – входные параметры, outik – выходные параметры на фазах
На фазе поступают на вход некоторые входные параметры , такие как температура окружающей среды, или некоторые выходные параметры стадии . На выходе стадии рассчитываются выходные параметры растения . Некоторые из этих выходных параметров стадии являются входными параметрами для стадии .
Необходимо разработать метод расчёта параметров посева, который бы не зависел от числа фаз роста растения, а также состава, числа и типа их входных и выходных параметров; требуется обеспечить адаптивность пересчёта параметров фаз при появлении незапланированных событий, связанных с изменениями параметров, например, факта изменения погоды или факта внесения удобрений в почву.
В данной работе в качестве примера рассмотрены стадии роста и развития озимой пшеницы, которые представлены в [9]. Целью разработки является создание модели растения и метода расчётов, которые могли бы применяться для любых злаковых растений.
2. Анализ актуальных методов
Для решения задачи прогнозирования роста и развития растения могут быть использованы разработки в области машинного обучения (МО), в частности, глубокого обучения (ГО), которые показали свои преимущества в решении различного рода задач [10].
В статье [11] использованы методы МО и ГО для прогнозирования урожайности и вариации роста растений. Значения урожайности, роста и диаметра стебля, условия микроклимата используются архитектурой рекуррентной нейронной сети для моделирования целевых параметров роста. Такие модели с МО разрабатываются для использования на разных сортах растений (см., например, [12]). МО предоставляет удобные инструменты для анализа сложных с/х наборов данных при их наличии. Модели с МО на основе изображений могут выявлять болезни растений и заражение вредителями на ранних стадиях, анализировать погодные условия и состояние почвы для прогнозирования урожайности.
Методы МО имеют определённые ограничения [13], особенно при недостатке массивов данных для обучения, а также применении методов МО в условиях неопределённости, когда исходная ситуация, при которой были собраны наборы данных для обучения, изменяется трудно предсказуемым образом. В современных хозяйствах получение точных и полных данных затруднено из-за отсутствия соответствующих инструментов измерений, изменчивости условий окружающей среды и ошибок сбора данных. Низкое качество или недостаточное количество данных могут привести в МО к неточным прогнозам и ненадёжным результатам. Для многих моделей МО, таких как машины опорных векторов и случайные веса, требуются значительные вычислительные ресурсы для обучения и оптимизации, а также специальные знания для настройки и интерпретации результатов. Если обучающие данные, используемые для МО, содержат смещения, то модели могут усилить эти смещения, что приведёт к искажению прогнозов.
В [14] представлен ЦД в с/х производстве. Путём создания начальной цифровой среды для киберфизической системы фермеры могут лучше представлять состояние своих ферм в отношении использования ресурсов и оборудования. ЦД может представлять собой инструмент для оптимизации производительности, как соотношения между производством и потреблением ресурсов [15]. ЦД можно рассматривать как новую фазу интеллектуального развития и управления данными в садоводстве и в сельском хозяйстве в целом [16, 17].
3. Метод расчёта параметров посева
Предлагаемая онтологическая модель роста и развития посевов растений состоит из взаимосвязанных стадий роста и развития растений, где число стадий может быть переменным для разных культур, а также число входных и выходных параметров на каждой стадии может варьироваться, например, высота растения, число зёрен в колосе, площадь листьев, объём урожая и т.д.
На каждой фазе развития на растения влияют факторы окружающей среды, такие как температура воздуха или почвы и запас питательной влаги в почве. Значения факторов на определённых фазах развития растения являются входными параметрами модели. Правила принятия решений для планирования переходов между состояниями стадий также индивидуальны для каждого сорта культуры.
На основе экспертных знаний агрономов выделены составы и значения входных и выходных параметров на разных фазах развития растения и составлены трубки входных параметров. Трубкой параметров называются диапазоны изменения значений каждого фактора, влияющего на развитие растения. Наилучшие возможные значения параметров роста и развития растения на каждой фазе считаются оптимальным значениями.
На рисунке 2 показан пример трубки входного параметра х и выходного параметра y, состоящей из четырёх точек: критического минимума , рекомендованного минимума , рекомендованного максимума , критического максимума входного параметра для каждой фазы и соответствующим им значений прироста выходных параметров , , , .
Рисунок 2 – Пример трубки входного параметра x и выходного параметра y
Для нормального развития растения необходимо, чтобы значения входных параметров находились между рекомендованными минимумом и максимумом. Если значения входных параметров выходят за критические границы, то растение погибает.
Модель состоит из набора фаз развития растения, которые включают набор трубок входных параметров.
На основе описанной модели разработан метод расчёта выходных параметров растения. Перед расчётом значений выходных параметров необходимо провести расчёт длительности фаз растения. Базовая длительность рассчитывается по правилу суммы активных температур:
(2)
где – сумма активных температур, – сумма активных температур за j-1 дней.
На базовую длительность фазы растения влияет предыдущее растение, росшее на месте растения модели, и входные параметры на фазе. Приращение (дельта) длительности i-ой фазы для k-ого входного параметра:
(3)
Итоговая длительность i-ой фазы развития растения рассчитывается как сумма базовой длительности фазы , дельты длительности влияния предыдущего растения и среднеарифметической суммы дельт длительности i-й фазы для k-ого входного параметра.
Формула расчёта итоговой дельты i-ой фазы развития растения:
(4)
Итоговая длительность должна быть между минимальной и максимальной длительностями:
(5)
После расчёта длительности фаз развития производится вычисление выходных параметров растения. Для этого берутся значения входных параметров с полей за весь период развития растения, разделённые и сгруппированные по предполагаемым периодам фаз. Далее рассчитываются выходные параметры за первую фазу.
Каждую длительность фазы можно разбить на интервалы нахождения растения в определённом состоянии.
Формула трубки параметров k-ого выходного параметра на i-ой стадии для l-ого входного параметра на q-том интервале состояния растения:
(6)
где L – количество входных параметров, влияющих на k-ый выходной параметр на i-ой стадии, Q – количество интервалов в трубке.
(7)
(8)
где P – количество интервалов длительности влияния.
Итоговое значение дельты выходного параметра на фазе равняется сумме изменений этого выходного параметра на интервалах непрерывного вхождения в интервал трубки. Прирост выходного параметрах в рамках одного интервала трубки равен:
(9)
(10)
Дельта выходного параметра складывается с итоговым значением на предыдущей фазе, и результатом вычисления является итоговое значение выходного параметра на фазе. Далее происходит расчёт выходного параметра для следующей фазы.
Предложенный метод расчёта выходного параметра представлен в виде псевдокода алгоритма.
Input: phases – список фаз, input_value_list – список входных значений по фазам
Output: output_parameters_set – список, содержащий списки выходных параметров по фазам
1: previous_phase_value = 0
2: output_parameters_set = []
3: plant_alive = true
4: for phase in phases do
5: output_parameters = phase.output_parameters
6: output_parameters_list = []
7: for output_parameter in output_parameters do
8: input_parameters = output_parameter.input_parameters
9: phase_deltas = []
10: for input_parameter in input_parameters do
11: critical_range = get_critical_range(input_parameter,
12: input_value_list[phase])
13: if input_parameter < critical_range.min OR
14: input_parameter > critical_range.max then
15: plant_alive = false
16: break
17: end if
18: delta = calculate_delta(input_parameter, input_value_list[phase])
19: phase_deltas add delta
20: end for
21: if not plant_alive then
22: print "Растение погибло"
23: break
24: end if
25: average_delta = calculate_average(phase_deltas)
26: output_value = average_delta + previous_phase_value
27: output_parameters_list add output_value
28: previous_phase_value = output_value
29: end for
30: output_parameters_set add output_parameters_list
31: end for
32: return output_parameters_set
Работа алгоритма начинается с ввода значений входных параметров для всех фаз согласно длительности фаз, которая рассчитывается по формулам 2-5. В алгоритме на каждой фазе (4) для каждого выходного параметра (7) сравниваются введённое значение с соответствующей трубкой этого входного параметра (13-14): если значение выходит за критические значения трубки, то растение погибает (15); если нет, то происходит расчёт дельты выходного параметра (18) по формулам 6-9. Далее происходит расчёт среднего значения дельты выходного параметра по всем входным параметрам (25) по формуле 10. Итоговое значение выходного параметра рассчитывается как сумма среднего значения выходного параметра и значения на предыдущей фазе (26). В результате полученные значения выходных параметров растения для каждой фазы добавляются в список (30).
4. Пример применения метода
Рассмотрен пример расчёта выходного параметра высоты растения на двух первых фазах развития при четырёх входных параметрах для с/х культуры «Озимая пшеница». Первые две фазы развития – это прорастание и развитие листьев; входные параметры: температура воздуха, содержание нитратов в почве, содержание фосфора и калия в почве.
На вход поступает набор входных параметров, это список пар значение - дата (период с 1 сентября 2023 по 31 августа 2024 года). Датой посева является 5 сентября 2023 года. По формулам 2-5, согласно сумме активных температур, первая фаз длится с 5 по 11 сентября, период второй фазы – с 12 по 26 сентября. На фазе прорастание для расчёта выходного параметра высоты растения берутся значения входных параметров за период с 5 по 11 сентября, после чего по формулам 6-9 происходит расчёт выходного параметра для каждого входного параметра, т.е. для входного параметра температуры воздуха значение выходного параметра высоты растения равно 2.9 см, а для параметра содержание нитратов в почве равно 5 см, для параметров содержание фосфора в почве и содержание калия в почве значения выходного параметра равны также 5 см. Из получившихся значений, а именно 2.9 см, 5 см, 5 см, 5 см, рассчитывается среднее значение прироста выходного параметра высоты растения за фазу, которое составляет 4.5 см. Для получения значения выходного параметра «Высота растения» необходимо сложить значение прироста параметра и значение выходного параметра предыдущей фазы, т.е. см. После чего происходит расчёт выходных параметров следующей фазы. Для фазы «Развитие листьев» берутся значения входных параметров за период с 12 по 26 сентября. Аналогично по формулам 6-9 происходит расчёт выходного параметра для каждого входного параметра: для температуры воздуха это 6.4 см, для параметров содержание нитратов в почве, содержание фосфора в почве, содержание калия в почве это 5.7 см. Среднее значение прироста выходного параметра высоты растения за фазу равно 5.9 см. Высота растения за фазу развития листьев равна сумме высоты растения за фазу прорастания и среднего значения прироста и составляет
5. Программное обеспечение цифровых двойников посевов растений
Описанный метод реализован в программном обеспечении, содержащем веб-интерфейс (см. рисунок 3), позволяющий задать входные данные (температура воздуха, запас питательной влаги, относительная влажность воздуха и др.) и представить результаты вычислений (масса растения, урожайность, количество листьев и др.). Для стадий развития представлена диаграмма их длительностей, где отмечено их сокращение или увеличение относительно базовых значений и другие особенности для лучшего понимания пользователем результатов.
Рисунок 3 – Веб-интерфейс программы с диаграммой длительностей фаз
Для каждого входного параметра представляется график, где отображаются рекомендованные значения трубки, оптимальные и критические значения (см. пример на рисунке 4).
Рисунок 4 – Трубка входного параметра температуры воздуха по фазам роста
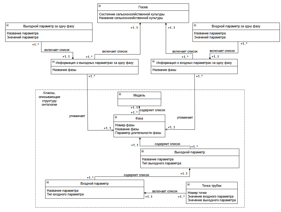
На рисунке 5 показана диаграмма основных классов системы. Класс «Модель» включает список фаз растения, каждая фаза состоит из номера, названия, списка выходных параметров и длительности фазы. Для каждого выходного параметра задаётся список входных параметров. На рисунке 5 классы, изображенные снизу, соответствуют структуре онтологии, которая загружается в систему в виде json файла. В одном json файле хранится модель растения одного сорта. Такая модель состоит из списка фаз роста и развития растения. Количество и названия фаз индивидуальны для каждого растения. Фазы состоят из выходных параметров. На каждый выходной параметр влияет входной параметр. Это влияние описано в трубках. Так как сорта растений отличаются друг от друга, то входные и выходные параметры задаются индивидуально.
Рисунок 5 – Диаграмма основных классов системы
На рисунке 6 представлена структурная схема системы.
Рисунок 6 – Структурная схема системы
Разрабатываемая система состоит из следующих частей:
- пользовательский интерфейс;
- модуль преобразования данных, в состав которого входят сервисы предоставления данных: для пользовательского интерфейса; c пользовательского интерфейса для расчётов; модели из json файла;
- модуль расчёта в виде сервисов: длительности фаз растения; выходных параметров растения.
Данные о фактическом и прогнозируемом состояниях погоды на тестовых полях на сезон были взяты из открытых источников (https://rp5.ru/). В экспериментах можно изменять прогноз погоды на сезон, микроэлементы в почве, влажность почвы и состав минералов. Устанавливая дату посева, пользователь запускает процесс вегетации в заданных условиях.
6. Результаты моделирования
Для оценки качества и эффективности ЦДПР разработана методика, включающая два этапа:
- Качественная проверка: проверка на здравый смысл, когда изменяются входные параметры среды и погоды по событиям – измеряется результат, т.е. план роста и развития посевов растений и прогноз урожайности, который должен в целом соответствовать требованиям, заложенным селекционерами в сорт.
- Количественная проверка: сопоставление стадий роста и развития виртуальных и реальных посевов растений, начиная со дня высева.
Для моделирования использовались трубки входных параметров для культуры «Озимая пшеница», полученные из лаборатории Цифровые двойники растений СамНЦ РАН.
В качестве выходного параметра рассмотрена высота растения.
6.1. Результаты моделирования погодных событий и внесения удобрений
На основе созданного прототипа ЦДПР проведены эксперименты по моделированию событий жара-холод, засуха-дожди, внесение удобрений. В таблице 1 представлены трубки влияющих факторов для фазы «Прорастание».
Таблица 1 – Трубки входных параметров для фазы «Прорастание»
Table 1 – Tubes of input parameters for the "Germination" phase.
Название входного параметра | Название точек трубки | Значение входного параметра | Значение дельты выходного параметра высоты растения |
Т воздуха, оС | Критический минимум | 30 | 5 |
Оптимальное значение | 13 | 6 | |
Критический максимум | 3 | 3 | |
Запасы нитратов в слое, 0 –30 см, мг/кг | Критический минимум | 200 | 5 |
Оптимальное значение | 20 | 6 | |
Критический максимум | 3 | 4 | |
Запасы оксида фосфора в слое, 0 – 30 см, мг/кг | Критический минимум | 800 | 5 |
Оптимальное значение | 200 | 6 | |
Критический максимум | 20 | 4 | |
Запасы оксида калия в слое, 0 – 30 см, мг/кг | Критический минимум | 800 | 5 |
Оптимальное значение | 180 | 6 | |
Критический максимум | 20 | 4 |
Пример графиков для граничных значений трубки фактора «Температура воздуха» и входного значения фактора на каждой фазе при благоприятных условиях приведены на рисунке 7.
Рисунок 7 – Пример графиков температуры воздуха на каждой фазе при благоприятных условиях/ 1 – критический максимум, 2 – рекомендуемый максимум, 3 – входное значение фактора, 4 – рекомендуемый минимум, 5 – критический минимум
На рисунке 8 приведены результаты экспериментов с различными сценариями:
- благоприятные условия произрастания – входные данные для каждой фазы развития взяты с полей с/х культуры «Озимая пшеница» Безенчукского района Самарской области;
- перенасыщение питательными веществами – смоделирована избыточность влаги в почве на ранних фазах развития растения;
- условия засухи – смоделирована низкая влажность на ранних фазах развития растения;
- недостаток питательных веществ – смоделирован недостаток азота в почве на ранних фазах развития растения.
Рисунок 8 – Пример графика параметра высоты растения с различными сценариями. 1 – норма высоты растения, 2 – результат эксперимента сценария благоприятных условий, 3 – результат эксперимента сценария перенасыщения питательными веществами, 4 – результат эксперимента сценария засухи, 5 – результат эксперимента сценария недостатка питательных веществ
На последней стадии норма параметра высоты растения составляет 100 см.
Как видно из рисунка 7, при сценарии благоприятных условий фактор «Температура воздуха» на всех стадиях колебался в границах рекомендуемых минимума и максимума, остальные влияющие факторы так же оставались в рамках рекомендуемых значений на всех фазах роста, из-за чего прогнозируемое значение высоты растения (рисунок 8, график 2) близко к норме, разница в росте составила 1.57 см.
Для сценария перенасыщения питательными веществами на стадии кущения оптимальное и итоговое значения высоты растения (рисунок 8, график 3) значительно разошлись из-за избытка питательных веществ. В результате в конце развития растения разница в росте составила 10.43 см.
Расхождение на стадии кущения также наблюдается и для сценария засухи из-за низкой влажности (рисунок 8, график 4). В результате в конце развития растения разница в росте составила 24.04 см.
Для сценария недостатка питательных веществ разница между оптимальным и итоговым значением высоты в конце развития растения составила 23.46 см (рисунок 8, график 5).
6.2 Результаты сравнения фактических и рассчитанных значений
Проведено сравнение фактических дат начала и конца фаз с/х культуры c рассчитанными значениями (рисунок 9). Из рисунка видно, что разница между значениями фактических и рассчитанных дат не превышает 14 дней. Дата фактического сбора урожая была 16.07.2024, а дата рассчитанного сбора – 28.07.2024.
Рисунок 9 – Сравнение фактических и рассчитанных значений дат начала и конца фаз. 1 – рассчитанные значения, 2 – фактические значения
На рисунке 10 представлено сравнение значений по количествам дней в фазе.
Рисунок 10 – Сравнение количества фактических и рассчитанных дней длительности фаз. Cлева – рассчитанные значения, справа – фактические значения
Проведено сравнение фактической высоты растения и рассчитанных значений (рисунок 11). Для оценки правильности расчётов взята модель ЦД растения из [9].
Рисунок 11 – Сравнение фактических и рассчитанных значений высоты растения. 1 – фактические значения, 2 – значения, рассчитанные моделью ЦД растений, 3 – значения, рассчитанные предложенным методом
Фактическая высота растения на момент сбора урожая составила 110 см, значение, полученное с помощью модели ЦД растения, – 99.88 см, значение, полученное с помощью предложенного метода, – 96.38 см. Полученное отклонение от фактического значения связано с тем, что в используемой модели ожидаемая высота растения ограничивалась 100 см. В действительности растение выросло до 110 см, что подтверждает сложность моделирования процесса развития растения, зависящего от многих факторов.
Проведённые исследования показали, что разработанная модель адекватно реагирует на важные события и соответствует натурным данным, что позволяет считать её пригодной для практического применения агрономами и дальнейшего развития.
Заключение
В работе предложен метод расчёта параметров состояний растений, который может дополнять методы, основанные на нейронных сетях, и другие подходы.
В разработанном методе использует понятие трубки – диапазонов оптимальных и критических для выживания растений значений основных факторов, которые характеризуют фазы роста и развития растения и влияние входных параметров каждого интервала на выходные параметры растения. Результаты моделирования на примере культуры «Озимая пшеница» и сравнение процессов роста и развития виртуальных и реальных посевов показывают применимость такого подхода для моделирования процесса развития растений.
Дальнейшие исследования целесообразно направить на развитие и совершенствование метода расчёта стадий и прогнозирование урожая, включая построение более глубоких онтологий для интеграции знаний о предметной области и мультиагентных технологий для адаптивного планирования развития посевов растений с учётом любых событий.
В результате может быть создана практичная интеллектуальная система моделирования и прогнозирования стадий роста и развития разных сортов с/x культур и их урожайности.
1 Территориальный орган Федеральной службы государственной статистики по Самарской области. https://63.rosstat.gov.ru/agriculture.
2 Термины «фаза» и «стадия» развития в рамках настоящей статьи являются синонимами.
About the authors
Petr O. Skobelev
Samara State Technical University
Author for correspondence.
Email: petr.skobelev@gmail.com
ORCID iD: 0000-0003-2199-9557
PhD
Russian Federation, SamaraVladimir A. Galuzin
Samara State Technical University
Email: v.galuzin@kg.ru
ORCID iD: 0000-0002-1460-613X
Candidate of Technical Sciences
Russian Federation, SamaraAnastasia V. Galitskaya
Samara State Technical University
Email: a.galitckaya@kg.ru
ORCID iD: 0000-0002-7752-4262
Russian Federation, Samara
Aleksey A. Galuzin
Samara National Research University named after academician S.P. Korolev
Email: alekseygaluzin@mail.ru
ORCID iD: 0009-0005-2697-035X
Russian Federation, Samara
References
- Fomin OS, Zyukin DA, Belyaev SA, Reprintseva EV. Economic and geographical specifics of the implementation of Russian wheat exports [In Russian]. International Agricultural Journal. 2023; 2: 138-142. doi: 10.55186/25876740_2023_66_2_138.
- Strashnaya AI, Tarasova LL, Bogomolova NA, Maksimenkova TA, Bereza OV. Forecasting the yield of grain and leguminous crops in the central black earth regions based on the integration of ground and satellite data [In Rus-sian]. Proceedings of the Hydrometeorological Research Center of the Russian Federation.2015; 353: 128-153.
- Ramenskaya EV, Ermakov VV, Kuznetsov MP. Methods of classification of hyperspectral images in environmen-tal monitoring [In Russian]. Bulletin of the Samara Scientific Center of the Russian Academy of Sciences. 2016; 18(4-5): 990-992.
- Andryushechkina NA, Musikhina LV. Internet of things in agriculture [In Russian]. Scientific and technical bulle-tin: technical systems in the agro-industrial complex. 2020; 1(6): 42-47.
- Galuzin V., Galitskaya A., Grachev S., Larukhin V., Novichkov D., Skobelev P., Zhilyaev A. Autonomous digital twin of enterprise: Method and toolset for knowledge-based multi-agent adaptive management of tasks and re-sources in real time. Mathematics. 2022; 10(10): 1662. doi: 10.3390/math10101662.
- Skobelev PO, Tabachinsky AS, Simonova EV, Strizhakov AN, Kudryakov EV, Ermakov VV, Zhuravel YN. De-velopment of a multi-agent model of a digital twin of broccoli cabbage [In Russian]. XVI All-Russian multi-conference on control problems. 2023. P.263-265.
- Skobelev PO, Tabachinsky AS, Simonova EV, Zhuravel YN, Myatov GN. On some methods for calculating the state of crops in the digital twin service of plants [In Russian]. Bulletin of the Samara Scientific Center of the Russian Academy of Sciences. 2022; 24(3): 100-111. doi: 10.37313/1990-5378-2022-24-3-100-111. href='https://doi.org/10.3390/math10101662' target='_blank'>https://doi.org/10.3390/math10101662
- Skobelev PO, Mayorov IV, Simonova EV, Goryanin OI, Zhilyaev AA, Tabachinsky AS, Yalovenko VV. Imple-mentation of a digital twin of plants for adaptive calculation of the duration of development stages and forecast-ing crop yields in a cyber-physical precision farming control system [In Russian]. Mathematical Methods in En-gineering and Technology. 2020; 12: 133-136.
- Shevchenko SN, Korchagin VA, Goryanin OI. Modern technologies for cultivation of winter wheat in the Middle Volga region [In Russian]. Agriculture. 2009; 5: 40-41.
- Mityakov SN, Mityakov ES. Machine learning in the problems of research of innovation processes [In Russian]. Journal of Applied Research. 2020; 1(4): 6-13. DOI: 0.475776/2712-7516 2020 4 1 6.https://doi.org/10.3390/math10101662
- Alhnaity B., Pearson S., Leontidis G., Kollias S. Using deep learning to predict plant growth and yield in green-house environments. International Symposium on Advanced Technologies and Management for Innovative Greenhouses: GreenSys2019 1296. 2019. P.425-432. doi: 10.48550/arXiv.1907.00624.
- Yasrab R., Zhang J., Smyth P., Pound M. P. Predicting plant growth from time-series data using deep learning. Remote Sensing. 2021; 13(3): 331. doi: 10.3390/rs13030331.
- Namiot DE, Ilyushin EA. On the causes of failures of machine learning projects [In Russian]. International Jour-nal of Open Information Technologies. 2023; 11(1): 60-69.
- Alves RG, Souza G, Maia RF, Tran ALH, Kamienski C, Soininen JP, Aquino PT, Lima F. A Digital Twin for Smart Farming. 2019 IEEE Global Humanitarian Technology Conference (GHTC). 2019. P.1-4. doi: 10.1109/GHTC46095.2019.9033075.
- Chaux JD, Sanchez-Londono D, Barbieri G. A Digital Twin Architecture to Optimize Productivity within Con-trolled Environment Agriculture. Applied Sciences. 2021; 11(19): 8875. doi: 10.3390/app11198875.
- Ariesen-Verschuur N, Verdouw C, Tekinerdogan B. Digital Twins in greenhouse horticulture: A review. Comput-ers and Electronics in Agriculture. 2022; 199: 107183. doi: 10.1016/j.compag.2022.107183.
- Pylianidis C, Osinga S, Athanasiadis IN. Introducing digital twins to agriculture. Computers and Electronics in Agriculture. 2021; 184: 105942. doi: 10.1016/j.compag.2020.105942.
Supplementary files













