Получение и исследование свойств гель-полимерных электролитов на основе композитной мембраны Nafion@ZrO2 в Li+ форме
- Авторы: Воропаева Д.Ю.1, Пятаева Я.А.2, Ярославцев А.Б.1
-
Учреждения:
- Институт общей и неорганической химии им. Н.С. Курнакова Российской академии наук
- Высшая школа экономики
- Выпуск: Том 14, № 4 (2024)
- Страницы: 295-301
- Раздел: Статьи
- URL: https://journals.rcsi.science/2218-1172/article/view/271553
- DOI: https://doi.org/10.31857/S2218117224040054
- EDN: https://elibrary.ru/MPREEW
- ID: 271553
Цитировать
Полный текст
Аннотация
Использование катионообменных мембран в качестве полимерных электролитов в литиевых аккумуляторах с металлическим анодом позволяет подавить дендритообразование в процессе работы аккумулятора. Сольватация мембран приводит к повышению ионной проводимости, однако механические свойства, которые также влияют на рост дендритов, значительно ухудшаются. В настоящей работе механическая прочность и объемная стабильность мембран Nafion®-117 в Li+ форме, сольватированных смесью этиленкарбоната и пропиленкарбоната была улучшена путем введения в матрицу мембраны наноразмерных частиц диоксида циркония методом in situ. Показано, что введение 6.7% ZrO2 приводит к увеличению модуля Юнга в ~16 раз по сравнению с немодифицированной мембраной. Вместе с этим объемная стабильность мембран в процессе сольватации увеличивается в ~1.5 раза. Однако ионная проводимость мембран после введения допанта понижается и составляет 3∙10–4, 5∙10–6 и 2.7∙10–6 См/см при 25°С для мембраны, не содержащей допанта и содержащей 3.8% и 6.7% диоксида циркония, соответственно.
Полный текст
ВВЕДЕНИЕ
Литий-ионные аккумуляторы (ЛИА) являются наиболее распространенными источниками энергии как для применения в устройствах небольшой мощности (телефоны, ноутбуки, планшеты), так и для высокомощных устройств (электромобили, стационарные источники хранения электроэнергии). Хотя ЛИА и достигают удельной энергии плотности энергии 200–250 Вт–ч∙кг–1, они все еще не могут удовлетворить растущий спрос на высокую плотность энергии, что накладывает ограничения на применение в автомобилестроении [1]. Замена стандартных анодных материалов, таких как графит, титанат лития или кремний, на металлический литий позволит значительно повысить значения плотности энергии до 500 Вт–ч/кг полученных литиевых аккумуляторов благодаря высокой теоретической емкости (3 860 мАч/г) и низкому электрохимическоиу потенциалу интеркаляции лития (–3.04 В относительно стандартного водородного электрода) [2]. Наиболее важной проблемой, ограничивающей масштабное применение литиевых аккумуляторов, является прорастание дендритов через сепаратор [2–4].
Согласно теории пространственного заряда, предложенной Шазальвиетом, низкие числа переноса катиона лития приводят к прорастанию дендритов. Так, при движении ионов лития в процессе работы аккумулятора концентрация анионов вблизи поверхности электрода уменьшается. Вследствие истощения анионов вблизи электрода генерируются большие пространственные заряды и электрические поля на границе раздела электрод/электролит, что приводит к росту литиевых дендритов [3, 5]. Таким образом, использование электролитов или прослойки электролита с униполярной проводимостью по катионам путем связывания анионов с полимерной матрицей является одним из способов предотвратить образование дендритов [6–8].
К электролитам в литиевых аккумуляторах предъявляются следующие требования: (1) высокая ионная проводимость; (2) высокая механическая прочность и гибкость; (3) широкое окно электрохимической стабильности; (4) высокие числа переноса лития; (5) хорошая совместимость с электродами. Зачастую высокая ионная проводимость наблюдается у гель-полимерных электролитов, сольватированных полярными апротонными органическими растворителями [9–12]. Однако сольватация приводит к значительной потере механической прочности и объемной стабильности гель-полимерных электролитов [2, 13]. Введение неорганических допантов в гель-полимерный электролит является одним из способов повышения их механической прочности [14–19].
Такие неорганические частицы, как Al2O3 [20], TiO2 [16, 21, 22], ZrO2 [14, 23, 24] или SiO2 [18, 19], используются и в качестве допантов в гель-полимерных электролитах типа полимер/соль для повышения их механической прочности. Также отмечены работы, в которых в качестве одного из компонентов гель-полимерного электролита используются активные неорганические добавки, способные непосредственно участвовать в ионном транспорте. Например, был приготовлен электролит, содержащий наночастицы Li6.4La3Zr1.4Ta0.6O12 (LLZTO) или Li7La3Zr2O12 (LLZO) в полимерной матрице [17, 25]. Введение Li1.5Al0.5Ge1.5(PO4)3 (LAGP) в матрицу поли(винилидендифторида-глицерилметакрилата) улучшает контакт на границе электрод/электролит и улучшает ионную проводимость гель-полимерных электролитов [26]. Однако активные неорганические частицы, такие как LLZO, Li3PS4 и Li10GeP2S12 имеют электронную проводимость, хоть и невысокую (~10-8 См/см), что приводит к саморазряду и прорастанию дендритов внутри электролита [27–29]. Оксид циркония (IV) обладает высокой химической устойчивостью, термостабильностью и может быть подходящим допантом для модификации и изготовления функционального композиционного электролита [14, 24]. Сообщалось, что введение диоксида циркония в гель-полимерный электролит позволило добиться высоких значений механической прочности [30].
Вместе с тем, известно, что внедрение допанта может приводить к увеличению ионной проводимости и селективности ионообменных мембран в гидратированном состоянии [31]. Предложено несколько электролитов на основе композиционных катионообменных мембран. Например, в работе [8] был получен композиционный гель-полимерный электролит на основе смеси сополимера 4,4’-дифторбензолсульфонилимида и этиленгликоля и поли(винилидендифторита-гексафторпропилена), содержащий LAGP. Полученный гель-полимерный электролит, содержащий раствор этиленкарбоната – диметилкарбоната, характеризовался ионной проводимостью 8.3∙10–4 См/см и числом переноса 0.93. В работе [32] был получен композит на основе перфторированной сульфокатионообменной мембраны Nafion и частиц LLZO. Электролит, содержащий 10% LLZO и сольватированный смесью этиленкарбоната – пропиленкарбоната, характеризовался значениями ионной проводимости 2.26∙10–4 См/см (при 30°С), числом переноса 0.92 и широким окном электрохимической стабильности (0–4.8 В). Никотера и др. получили гель-полимерный электролит на основе мембраны Nafion, содержащий сульфированный оксид графена и сольватированный смесью этиленкарбоната – пропиленкарбоната, с высокой ионной проводимостью (5∙10–4 См/см) и числом переноса, близким к 1 [11]. В работе [33] сообщалось, что введение диоксида циркония в катионообменную мембрану Nafion-212 приводило к снижению ее ионной ионной проводимости, но одновременно значительно повышалась механическая прочность (модуль Юнга увеличивался почти втрое при введении 6.0 масс. % ZrO2). Тем не менее количество работ, посвященных изучению поведения композитных гель-полимерных электролитов на основе ионообменных мембран, содержащих инертные частицы, невелико. При этом есть противоречивые данные по влиянию таких допантов на величину ионной проводимости и механической прочности ионообменных мембран сольватированных апротонными растворителями.
В связи с этим целью данной работы являлось исследование влияния наночастиц ZrO2 введенных методом in situ на механические свойства, ионную проводимость и стабильность мембраны Nafion-117 сольватированной смесью этиленкарбонат – пропиленкарбонат.
ЭКСПЕРИМЕНТАЛЬНАЯ ЧАСТЬ
В работе использованы следующие реагенты: хлорид циркония (IV) восьмиводный (Merck, ≥98%), вода деионизованная (сопротивление 18 МОм·см), этиленкарбонат (ЭК) (Acros organics, безводный, ≥99%), пропиленкарбонат (ПК) (Acros organics, безводный, ≥99%), гидроксид натрия (Химмед, ХЧ), соляная кислота (Химмед, ОСЧ), перекись водорода (Химмед, ОСЧ), хлорид лития (ROTH, ≥99%), аммиак водный (Химмед, ОСЧ), Nafion-117 (DuPont).
Мембраны Nafion-117 кондиционировали по стандартной методике. Сначала их промывали раствором HCl с концентрацией 3.5 масс. % при постоянном перемешивании в течение трех часов при температуре 80°С. Затем помещали в раствор H2O2 с концентрацией 2.7 масс. % на три часа при температуре 80°С, после чего промывали деионизованной водой в течении трех часов при температуре 80°С. Далее мембраны были несколько раз промыты деионизованной водой при комнатной температуре до исчезновения реакции на хлорид-ионы. Наличие хлорид-ионов контролировали при помощи AgNO3. Для удаления воды мембраны выдерживались при 70°С под вакуумом в течение 12 ч.
Для получения композиционной мембраны Nafion@ZrO2 с различным содержанием неорганического допанта предварительно были приготовлены растворы ZrOCl2 с концентрациями 0.2М и 1.0М из ZrCl4·8H2O. В приготовленные растворы помещали предварительно кондиционированные мембраны на 8 ч при постоянном перемешивании. По истечение указанного времени мембраны промывали деионизованной водой в течение 5 мин, после чего помещали в водный раствор аммиака с концентрацией 4.7 масс. % на 2 ч для получения оксида циркония в порах мембраны по реакции (1). Для удаления остатков аммиака мембраны 2 раза промывали деионизованной водой.
. (1)
Затем мембраны кондиционировали выдерживаем в растворе HCl с концентрацией 3.5 масс. % в течение двух часов. По истечение времени мембраны были 4 раза промыты деионизованной водой до отсутствия реакции на хлорид-ионы. Часть мембран в H+ форме была высушена при температуре 70°С в вакууме в течение 12 ч для последующего определения ионообменной емкости.
Содержание допанта в мембране определяли гравиметрически. Термогравиметрический анализ образцов проводили с использованием термовесов Netzsch-TG 209 F1 в платиновых тиглях в диапазоне температур 25°–800°C (скорость нагрева 10 град/мин). Содержание допанта было определено по разнице масс тиглей до и после нагрева.
ИК-спектры сухих образцов были получены при помощи ИК-спектрометра Nicolet iS5 (фирма Thermo, приставка Specac Quest) в режиме нарушенного полного внутреннего отражения с алмазным кристаллом, диапазон частот 500—4000 см—1. Для подтверждения состава допанта образец мембраны отжигали при температуре 800°C в течение двух часов. Рентгенофазовый анализ (РФА) полученных после прокаливания остатков осуществляли с использованием дифрактометра Rigaku D/MAX 2200 (излучение CuKα). Сравнение полученных рентгенограмм со стандартными штирих-диаграммами осуществляли с использованием базы данных PDF-2.
Значения ионообменной емкости (ИОЕ) мембран были определены методом прямого кислотно-основного титрования. Для этого предварительно взвешенные навески мембран в H+ форме (~0.25 г) помещали в 30 мл 2М раствора NaCl на сутки. Затем аликвоты раствора над мембраной (5 мл) титровали 0.0089М раствором NaOH. Точка эквивалентности определялась с использованием универсального индикатора. Значение ИОЕ (ммоль/г) было рассчитывалось по формуле (1):
, (1)
где CNaOh – концентрация гидроксида натрия (моль/л), VNaOh – объем гидроксида натрия (л), ушедший на титрование, mс – масса сухой мембраны (г), Vр-ра – объем аликвоты (л).
Часть мембран переводили из протонной в литиевую форму. Для этого в течение суток мембраны промывались в растворе LiCl с концентрацией 2М. После чего их промывали деионизованной водой до отсутствия реакция на хлорид ионы. Наличие хлорид-ионов контролировалось при помощи AgNO3. Для удаления воды мембраны выдерживали при 70°С под вакуумом в течение 12 ч.
Для получения гель-полимерных электролитов на основе полученных мембран, они выдерживались в смеси этиленкарбонат-пропиленкарбонат (ЭК-ПК) в объемном отношении 1:1 в течении 48 ч перед последующими экспериментами.
Степень набухания мембран m, % рассчитывалась по формуле (2):
, (2)
где m – масса мембраны после выдерживания в растворителе, m0 – масса исходной мембраны. Степень сольватации n (число молекул растворителя, приходящихся на одну сульфогруппу мембраны) определяли исходя из значений ионообменной емкости и массового содержания растворителей по формуле (3):
, (3)
где Δm – набухание мембраны (%), ИОЕ – ионообменная емкость мембраны (ммоль/г), Mp–ля– молярная масса растворителя (г/моль).
Ионную проводимость измеряли в интервале температур –20°–60°C с шагом в 5°С в атмосфере аргона методом импедансной спектроскопии. Симметричные ячейки для измерения проводимости состава углерод/мембрана/углерод были собраны в сухом аргоновом боксе с содержанием кислорода и влаги <5 м.д. Спектры импеданса записывали с помощью моста переменного тока Elins Z-1500J в диапазоне частот 10 кГц – 2.5 МГц. Величину сопротивления находили экстраполяцией годографа импеданса по отсечке на оси активных сопротивлений. Ионную проводимость рассчитывали по формуле (4). Для задания необходимой температуры использовали климатическую камеру постоянных условий Binder MKF115.
, (4)
где l – толщина мембраны (см), R – реальное сопротивление (Ом), S – площадь соприкосновения мембраны с электродами (см2).
Объемную стабильность определяли по разнице объемов сухой и сольватированной мембраны по формуле (5):
, (5)
где V – объем мембраны после сольватации (см3), V0 – объем сухой мембраны (см3).
Механические свойства сольватированных мембран были исследованы с использованием разрывной машины Tinius Olsen H5KT. Прямоугольные образцы длиной 45 мм и шириной 6–8 мм предварительно сольватировали смесью растворителей ЭК-ПК в соотношении 1:1. Эксперимент проводили по четыре раза для каждой мембраны для получения среднего значения. Толщина и ширина каждого образца рассчитывались как средние значения по 3 точкам, измеренные перед экспериментом микрометром Mitutoyo. Калибровочная длина образцов была доведена до 25 мм. Скорость деформации составляла 2 мм/мин. Модуль Юнга рассчитывали по наклону кривой напряжения-деформации в области обратимых деформаций.
ОБСУЖДЕНИЕ РЕЗУЛЬТАТОВ
Из приведенных в таблице 1 данных видно, что при повышении концентрации ZrCl4 происходит увеличение содержания ZrO2 в мембране. Ионообменная емкость понижается с увеличением содержания допанта. Как показано в [34] это происходит за счет за счет формирования солевых мостиков между ZrO2 и поверхностью пор (табл. 1). Далее мембраны, полученные из 0.2М ZrCl4 обозначены Nafion-3.8, из 1.0М ZrCl4 – Nafion-6.7 (по массовому содержанию допанта), не содержащие допанта – Nafion-0.
Таблица 1. Содержание допанта по данным ТГА и значения ИОЕ мембран в зависимости от концентрации исходного раствора ZrCl4
Мембрана | С (ZrCl4), моль/л | ω (ZrO2), % | ИОЕ, ммоль/г |
Nafion-0 | 0 | 0 | 0.84 |
Nafion-3.8 | 0.2 | 3.8 | 0.54 |
Nafion-6.7 | 1.0 | 6.7 | 0.52 |
Рентгенограммы порошка, полученного после отжига композиционных мембран, представлены на рис. 1. Соотнесение полученных рентгенограмм со штрих-диаграммой оксида циркония (IV) показывает, что в результате синтеза композиционных мембран внутри пор формировался оксид циркония (IV).
Рис. 1. Рентгенограммы порошков, полученных после отжига гибридных мембран Nafion-3.8 (1), Nafion-6.7 (2), штрих-диаграмма, соответствующая ZrO2 (Сard No.: 44-1472)
ИК спектры полученных мембран представлены на рис. 2. Все спектры идентичны и содержат колебания сульфогрупп мембраны Nafion при 1068 см–1, в области 1198–1139 см–1 видны пики колебаний связи С-F [13]. Присутствие допанта не приводит к смещению пиков основных колебаний мембран.
Рис. 2. ИК спектры Nafion-0 (1), Nafion-3.8 (2), Nafion-6.7 (3)
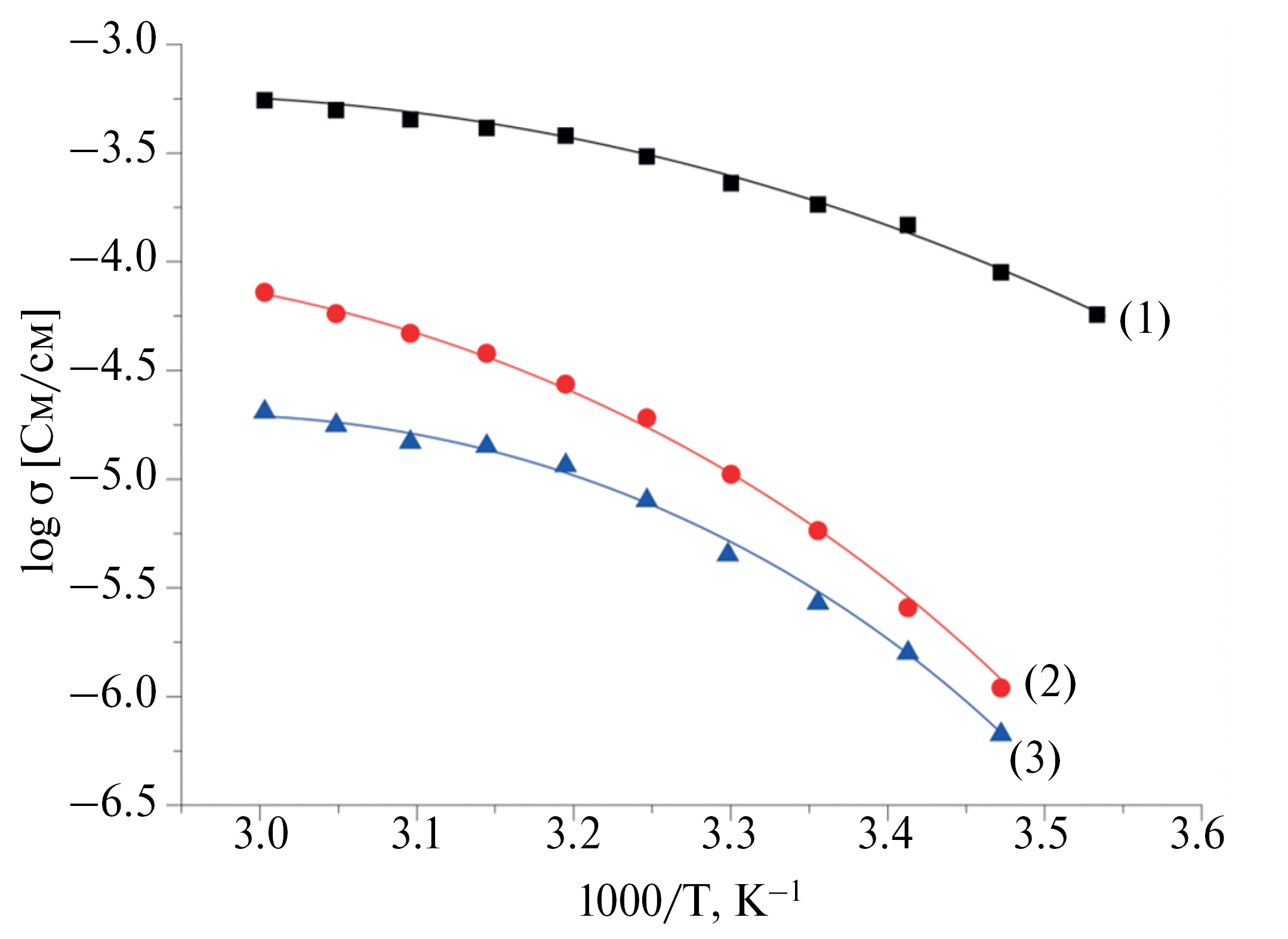
Рис. 3. Температурные зависимости ионной проводимости мембран Nafion-0 (1), Nafion-3.8 (2), Nafion-6.7 (3)
Ионная проводимость мембран в значительной степени определяется содержанием растворителя в ее порах [35]. Обычно увеличение степени сольватации мембран приводит к увеличению ионной проводимости [36]. Из данных, представленных в табл. 2 видно, что внедрение оксида циркония приводит к существенному понижению степени сольватации мембран. ZrO2 вытесняет растворитель из пор мембраны за счет формирования солевых мостиков между ZrO2 и их поверхностью, играющих роль сшивки [34]. Следует заметить, что внедрение оксида циркония при сольватации апротонными растворителями приводит к существенно более значимому понижению ионообменной емкости и степени сольватации, по сравнению с мембранами, гидратированными водой. Причиной этого, видимо является то, что молекулы растворителя в этом случае не могут конкурировать с поверхностью ZrO2 за взаимодействие с поверхностью функциональных групп. В то же время при повышении содержания допанта от 3.8 до 6.7% степень сольватации, напротив, несколько возрастает. Авторами [37] показано, что оксид циркония (IV) способен координировать органические карбонаты.
Таблица 2. Степень сольватации мембраны, ионная проводимость
Мембрана | Степень сольватации мембраны | Значение ионной проводимости при 25°С, мСм/см |
Nafion-0 | 6.3 | 0.3 |
Nafion-3.8 | 1.4 | 5.0ꞏ10–3 |
Nafion-6.7 | 1.6 | 2.7ꞏ10–3 |
В соответствии с меньшей концентрацией носителей электричества и существенно меньшей степенью сольватации допированные образцы имеют более низкую проводимость по сравнению с исходной недопированной мембраной Nafion. В то же время, несмотря на большую степень сольватации мембраны Nafion-6.7 по сравнению с Nafion-3.8, она характеризуется более низкой ионной проводимостью. Это может быть связано с координацией избытка растворителя оксидом циркония, что исключает его из участия в ионном транспорте. Кроме того, согласно модели ограниченной эластичности стенок пор мембран, при повышении содержания допанта сверх оптимального (порядка 2–4 весовых процентов в зависимости от плотности), частицы допанта начинают создавать дополнительные стерические препятствия для ионного переноса из-за крупного размера [38].
Температурные зависимости ионной проводимости мембраны отличны от линейных и характеризуются плавным перегибом при температуре ~30°C. Это может быть связано с тем, что в области этих температур часть электронейтрального раствора, не участвующего в транспорте ионов [39], начинает затвердевать, что приводит к постепенному нелинейному снижению значения ионной проводимости.
Одной из важных характеристик гель-полимерного электролита является механическая прочность. На рис. 4 приведены типичные кривые напряжения-деформации для исследуемых сольватированных мембран.
Рис. 4. Кривые напряжения-деформации. Nafion-0 (1), Nafion-3.8 (2), Nafion-6.7 (3)
Объемная стабильность и модуль Юнга коррелируют со степенью сольватации мембраны. При повышении степени сольватации происходит ослаблении внутри- и межмолекулярных взаимодействий в мембране, что приводит к потере ее механической прочности (табл. 3).
Таблица 3. Значение модуля Юнга и объемной стабильности полученных гель-полимерных электролитов
Мембрана | Модуль Юнга, МПа | Объемная стабильность, % |
Nafion-0 | 0.23 ± 0.03 | 80 |
Nafion-3.8 | 6.5 ± 0.7 | 33 |
Nafion-6.7 | 3.7 ± 0.6 | 50 |
Чем выше содержание допанта в мембране, тем больше модуль Юнга, т.е. тем лучше механические свойства мембраны. Модуль Юнга соотносится с объемной стабильностью мембраны. Мембрана упрочняется при введении допанта, что объясняется снижением степени сольватации. Это позволяет получить композиционные мембраны с лучшими механическими характеристиками.
Таким образом, можно заключить, что создание композиционных электролитов на основе оксида циркония (IV) позволяет добиться улучшения объемной стабильности и механической прочности мембран, при некотором понижении ионной проводимости.
ЗАКЛЮЧЕНИЕ
Методом in situ получены композиционные мембраны Nafion®-117, содержащие 3.8% и 6.7% диоксида циркония. Показано, что введение допанта приводит к ограничению подвижности лития, причиной чего является понижение концентрации носителей электричества, определяющееся ионообменной емкостью и степени сольватации мембран смесью этиленкарбоната и пропиленкарбоната. Вместе с тем введение 6.7% ZrO2 приводит к увеличению модуля Юнга в ~16 раз по сравнению с немодифицированной мембраной. Вместе с этим объемная стабильность мембран в процессе сольватации увеличивается в ~1.5 раза.
БЛАГОДАРНОСТЬ
Работа выполнена при финансовой поддержке Российского научного фонда, проект 23-19-00642, https://rscf.ru/project/23-19-00642/.
Об авторах
Д. Ю. Воропаева
Институт общей и неорганической химии им. Н.С. Курнакова Российской академии наук
Автор, ответственный за переписку.
Email: voroparva@igic.ras.ru
Россия, Москва
Я. А. Пятаева
Высшая школа экономики
Email: voroparva@igic.ras.ru
Россия, Москва
А. Б. Ярославцев
Институт общей и неорганической химии им. Н.С. Курнакова Российской академии наук
Email: voroparva@igic.ras.ru
Россия, Москва
Список литературы
- Fan L., Wei S., Li S., Li Q., Lu Y. // Adv. Energy Mater. 2018. V. 8. Art. No 1702657.
- Li H., Xu Z., Yang J., Wang J., Hirano S. // Energy Fuels. 2020. V. 4. P. 5469–5487.
- Rao X., Lou Y., Zhong S., Wang L., Li B., Xiao Y., Peng W., Zhong X., Huang J. // J. Electroanal. Chem. 2021. V. 897. Art. No 115499.
- Ding P., Lin Z., Guo X., Wu L., Wang Y., Guo H., Li L., Yu H. // Mater. Today. 2021. V. 51. P. 449–474.
- Chazalviel J.-N. // Phys. Rev. A. 1990. V. 42. P. 7355–7367.
- Tu Z., Choudhury S., Zachman M.J., Wei S., Zhang K., Kourkoutis L.F., Archer L.A. // Joule. 2017. V. 1. P. 394–406.
- Xu R., Xiao Y., Zhang R., Cheng X., Zhao C., Zhang X., Yan C., Zhang Q., Huang J. // Adv. Mater. 2019. V. 31. Art. No 1808392.
- Chen Y., Li C., Ye D., Zhang Y., Bao H., Cheng H. // J. Memb. Sci. 2021. V. 620. Art. No 118926.
- Istomina A.S., Yaroslavtseva T.V., Reznitskikh O.G., Kayumov R.R., Shmygleva L.V., Sanginov E.A., Dobrovolsky Y.A., Bushkova O.V. // Polymers (Basel). 2021. V.13 Art. No 1150.
- Evshchik E.Y., Sanginov E.A., Kayumov R.R., Zhuravlev V.D., Bushkova O.V., Dobrovolsky Y.A. // Int. J. Electrochem. Sci. 2020. V. 15. P. 2216–2225.
- Nicotera I., Simari C., Agostini M., Enotiadis A., Brutti S. // J. Phys. Chem. C. 2019. V. 123. P. 27406–27416.
- Voropaeva D.Y., Novikova S.A., Kulova T.L., Yaroslavtsev A.B. // Solid State Ionics. 2018. V. 324. P. 28–32.
- Voropaeva D., Novikova S., Xu T., Yaroslavtsev A. // J. Phys. Chem. B. 2019. V. 123. P. 10217–10223.
- Xiao W., Wang Z., Zhang Y., Fang R., Yuan Z., Miao C., Yan X., Jiang Y. // J. Power Sources. 2018. V. 382. P. 128–134.
- Li X., Zhang H., Mai Z., Zhang H., Vankelecom I. // Energy Environ. Sci. 2011. V. 4. Art. No 1147.
- Pan X., Yang P., Guo Y., Zhao K., Xi B., Lin F., Xiong S. // Adv. Mater. Interfaces. 2021. V. 8. Art. No 2100669.
- Han B., Jiang P., Li S., Lu X. // Solid State Ionics. 2021. V. 361. Art. No 115572.
- Zhang P., Yang L.C., Li L.L., Ding M.L., Wu Y.P., Holze R. // J. Memb. Sci. 2011. V. 379. P. 80–85.
- Jamalpour S., Ghahramani M., Ghaffarian S.R., Javanbakht M. // Polymer. 2021. V. 228. Art. No 123924.
- Lee Y.-S., Jeong Y.B., Kim D.-W. // J. Power Sources. 2010. V. 195. P. 6197–6201.
- Jagadeesan A., Sasikumar M., Hari Krishna R., Raja N., Gopalakrishna D.,. Vijayashree S, Sivakumar P. // Mater. Res. Express. 2019. V. 6. Art. No 105524.
- Pan X., Hou Q., Liu L., Zhang J., An M., Yang P. // Ionics. 2021. V. 27. P. 2045–2051.
- Subramania A., Kalyana Sundaram N.T., Sathiya Priya A.R., Vijaya Kumar G. // J. Memb. Sci. 2007. V. 294. P. 8–15.
- Croce F., Settimi L., Scrosati B. // Electrochem. Commun. 2006. V. 8. P. 364–368.
- Xu J., Ma C., Chang C., Lei X., Fu Y., Wang J., Liu X., Ding Y. // ACS Appl. Mater. Interfaces. 2021. V. 13. P. 38179–38187.
- Guo Q., Han Y., Wang H., Xiong S., Sun W., Zheng C., Xie K. // Novel synergistic coupling composite chelating copolymer/LAGP solid electrolyte with Electrochim. Acta. 2019. V. 296. P. 693–700.
- Rangasamy E., Wolfenstine J., Sakamoto J. // Solid State Ionics. 2012. V. 206. P. 28–32.
- Han F., Westover A.S., Yue J., Fan X., Wang F., Chi M., Leonard D.N., Dudney N.J., Wang H., Wang C. // Nat. Energy. 2019. V. 4. P. 187–196.
- Shin B.R., Nam Y.J., Oh D.Y., Kim D.H., Kim J.W. // Electrochim. Acta. 2014. V. 146. P. 395–402.
- Yi L., Zou C., Chen X., Liu J., Cao S., Tao X., Zang Z., Liu L., Chang B., Shen Y., Wang X. // ACS Appl. Energy Mater. 2022. V. 5. P. 7317–7327.
- Safronova E.Y., Lysova A.A., Voropaeva D.Y., Yaroslavtsev A.B. // Membranes. 2023. V. 13. Art. No 721.
- Gao J., Shao Q., Chen J. // J. Energy Chem. 2020. V. 46. P. 237–247.
- Voropaeva D., Merkel A., Yaroslavtsev A. // Solid State Ionics. 2022. V. 386. Art. No 116055.
- Golubenko D.V, Shaydullin R.R., Yaroslavtsev A.B. // Colloid Polym. Sci. 2019. V. 297. P. 741–748.
- Doyle M., Lewittes M.E., Roelofs M.G., Perusich S.A., Lowrey R.E. // J. Memb. Sci. 2001. V. 184. P. 257–273.
- Yaroslavtsev A.B., Stenina I.A., Golubenko D.V. // Pure Appl. Chem. 2020. V. 92. P. 1147–1157.
- Chen H.-Y.T., Tosoni S., Pacchioni G. // Surf. Sci. 2016. V. 652. P. 163–171.
- Ярославцев А.Б., Караванова Ю.А., Сафронова Е.Ю. // Мембраны и Мембранные Технологии. 2011. Т. 1. С. 3–10 (англоязычная версия: Yaroslavtsev A.B., Karavanova Y.A., Safronova E.Y. // Petroleum Chem. 2011. V. 51, P. 473–479).
- Porozhnyy M., Huguet P., Cretin M., Safronova E., Nikonenko V. // Int. J. Hydrogen Energy. 2016. V. 41. P. 15605–15614.
Дополнительные файлы







