Транспортные свойства и структура анизотропных композитов на основе катионообменных мембран и полианилина
- Авторы: Лоза Н.В.1, Кутенко Н.А.1, Кононенко Н.А.1, Вольфкович Ю.М.2, Сосенкин В.Е.2
-
Учреждения:
- ФГБОУ ВО “Кубанский государственный университет”
- Институт физической химии и электрохимии им. А.Н. Фрумкина РАН
- Выпуск: Том 13, № 3 (2023)
- Страницы: 221-237
- Раздел: Статьи
- URL: https://journals.rcsi.science/2218-1172/article/view/138008
- DOI: https://doi.org/10.31857/S2218117223030057
- EDN: https://elibrary.ru/EPUCOD
- ID: 138008
Цитировать
Полный текст
Аннотация
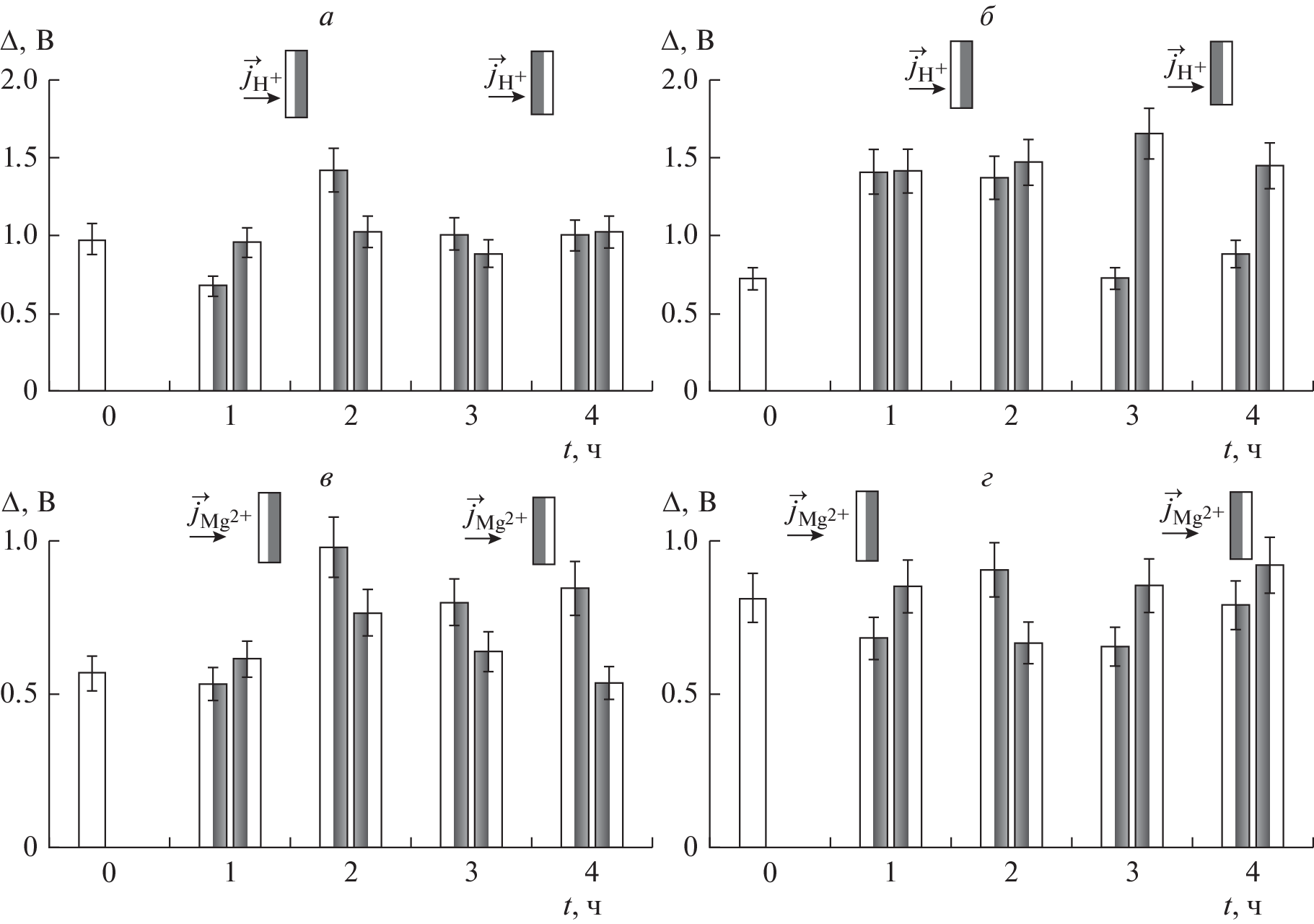
Выполнена комплексная характеризация базовых гетерогенных катионообменных мембран МК-40 и Ralex CMH и композитных мембран с полианилином на их основе, включающая определение удельной электропроводности и диффузионной проницаемости, измерение вольтамперных кривых в растворах хлоридов натрия, кальция, магния и соляной кислоты и кривых распределения воды по энергиям связи и эффективным радиусам пор, а также оценку транспортно-структурных параметров двухфазной модели проводимости структурно-неоднородной мембраны. Определено время синтеза полианилина на поверхности катионообменных мембран методом последовательной диффузии раствора окислителя и мономера через мембрану в воду для получения образцов с анизотропной структурой и асимметричными электротранспортными свойствами. На основании анализа электротранспортных свойств, структурных характеристик и модельных транспортно-структурных параметров мембран в растворах одно- и двухзарядных ионов показано, что полученные материалы являются перспективными для применения в процессах электродиализного обессоливания многокомпонентных растворов.
Об авторах
Н. В. Лоза
ФГБОУ ВО “Кубанский государственный университет”
Автор, ответственный за переписку.
Email: Nata_Loza@mail.ru
Россия, 350040, Краснодар, ул. Ставропольская, 149
Н. А. Кутенко
ФГБОУ ВО “Кубанский государственный университет”
Email: Nata_Loza@mail.ru
Россия, 350040, Краснодар, ул. Ставропольская, 149
Н. А. Кононенко
ФГБОУ ВО “Кубанский государственный университет”
Email: Nata_Loza@mail.ru
Россия, 350040, Краснодар, ул. Ставропольская, 149
Ю. М. Вольфкович
Институт физической химии и электрохимии им. А.Н. Фрумкина РАН
Email: Nata_Loza@mail.ru
Россия, 119071, Москва, Ленинский просп., 31
В. Е. Сосенкин
Институт физической химии и электрохимии им. А.Н. Фрумкина РАН
Email: Nata_Loza@mail.ru
Россия, 119071, Москва, Ленинский просп., 31
Список литературы
- Merino-Garciaa I., Velizarov S. // Sep. Pur. Tech. 2021. V. 277. 119445.
- Al-Amshawee S., Yunus M.Y.B.M., Azoddein A.A.M., Hassell D.G., Dakhil I.H., Hasan H.A. // Chemical Engineering J. 2020. V. 380. 122 231.
- Gurreri L., Tamburini A., Cipollina A., Micale G. // Membranes. 2020. V. 10. № 7. P. 146.
- Jiang S., Sun H., Wang H., Ladewig B.P., Yao Z. // Chemosphere. 2021. V. 282. 130817.
- Stenina I., Golubenko D., Nikonenko V., Yaroslavtsev A. // Int. J. Mol. Sci. 2020. V. 21. № 15. P. 5517.
- Luo T., Abdu S., Wessling M. // J. Membr. Sci. 2018. V. 555. P. 429.
- Thakur A.K., Malmali M. // J. Environ. Chem. Eng. 2022. V. 10. Issue 5. 108295.
- Butylskii D.Yu., Troitskiy V.A., Sharafan M.V., Pismenskaya N.D., Nikonenko V.V. // Desalination. 2022. V. 537. 115821.
- Falina I., Loza N., Loza S., Titskaya E., Romanyuk N. // Membranes. 2021. V. 11. № 3. P. 227.
- Sata T., Sata T., Yang W. // J. Memb. Sci. 2002. V. 206. P. 31.
- Kumar M., Khan M.A., AlOthman Z.A., Siddiqui M.R. // Desalination. 2013. V. 325. P. 95.
- Протасов К.В., Шкирская С.А., Березина Н.П., Заболоцкий В.И. // Электрохимия. 2010. Т. 46. № 10. С. 1209. [англоязычная версия: Protasov K.V., Shkirskaya S.A., Berezina N.P., Zabolotskii V.I. // Rus. J. Electrochem. 2010. V. 46. № 10. P. 1131.]
- Титова Т.С., Юрова П.А., Кулешова В.А., Паршина А.В., Стенина И.А., Бобрешова О.В., Ярославцев А.Б. // Мембраны и мембранные технологии. 2021. Т. 11. № 6. С. 460. [англоязычная версия: Titova T.S., Yurova P.A., Stenina I.A., Yaroslavtsev A.B., Kuleshova V.A., Parshina A.V., Bobreshova O.V. // Membr. Membr. Technol. 2021. V. 3. № 6. P. 411.]
- Ben Jadi S., El Guerraf A., Kiss A., El Azrak A., Bazzaoui E.A., Wang R., Martins J.I., Bazzaoui M. // J. Solid State Electrochem. 2020. V. 24. P. 1551.
- Kononenko N.A., Loza N.V., Shkirskaya S.A., Falina I.V., Khanukaeva D.Y. // J. Solid State Electrochem. 2015. V. 19. P. 2623.
- Andreeva M.A., Loza N.V., Pis’menskaya N.D., Dammak L., Larchet C. // Membranes. 2020. V. 10. № 7. 145.
- Volfkovich Yu.M., Filippov A.N., Bagotsky V.S. Structural Properties of Porous Materials and Powders Used in Different Fields of Science and Technology. London: Springer, 2014.
- Березина Н.П., Кубайси А.А.Р. // Электрохимия. 2006. Т. 42. С. 91. [англоязычная версия: Berezina N.P., Kubaisi A.A.R. // Rus. J. Electrochem. 2006. V. 42. P. 81.]
- Карпенко Л.В., Демина О.А., Дворкина Г.А., Паршиков С.Б., Ларше К., Оклер Б., Березина Н.П. // Электрохимия. 2001. Т. 37. № 3. С. 328. [англоязычная версия: Karpenko L.V., Demina O.A., Dvorkina G.A., Parshikov S.B., Berezina N.P., Larchet C., Auclair B. // Rus. J. Electrochem. 2001. V. 37. № 3. P. 287.]
- Berezina N.P., Kononenko N.A., Dyomina O.A., Gnusin N.P. // Adv. Colloid Interface Sci. 2008. V. 139. P. 3.
- Akberova E.M., Vasil’eva V.I., Zabolotsky V.I., Novak L. // J. Membr. Sci. 2018. V. 566. P. 317.
- Демина О.А., Кононенко Н.А., Фалина И.В., Демин А.В. // Коллоидный журн. 2017. Т. 79. № 3. С. 259. [англоязычная версия: Demina O.A., Kononenko N.A., Falina I.V., Demin A.V. // Colloid J. 2017. V. 79. P. 317.]
- Березина Н.П., Кононенко Н.А., Филиппов А.Н., Шкирская С.А., Фалина И.В., Сычева А.А.-Р. // Электрохимия. 2010. Т. 46. № 5. С. 515. [англоязычная версия: Berezina N.P., Kononenko N.A., Shkirskaya S.A., Falina I.V., Filippov A.N., Sycheva A.A.-R. // Rus. J. Electrochem. 2010. V. 46. P. 485.]
- Березина Н.П., Шкирская С.А., Колечко М.В., Попова О.В., Сенчихин И.Н., Ролдугин В.И. // Электрохимия. 2011. Т. 47. № 9. С. 1066. [англоязычная версия: Berezina N.P., Shkirskaya S.A., Kolechko M.V., Popova O.V., Senchikhin I.N., Roldugin V.I. // Rus. J. Electroch. 2011. V. 47. P. 995.]
- Gnusin N.P., Berezina N.P., Kononenko N.A., Dyomina O.A. // J. Memb. Sci. 2004. V. 243. P. 301.
- Сухотин А.М. Справочник по электрохимии / А.М. Сухотин. Л.: Химия, 1981. 488 с.
- Stockmeier F., Michael Schatz M., Habermann M., Linkhorst J., Ali Mani A., Wessling M. // J. Membr. Sci. 2021. V. 640. 119846.
- Krol J.J., Wessling M., Strathmann H. // J. Membr. Sci. 1999. V. 162. Issues 1–2. 1999. P. 145.
- Belloň T., Slouka Z. // J. Membr. Sci. 2020. V. 610. 118291.
- Заболоцкий В.И., Шельдешов Н.В., Гнусин, Н.П. // Успехи химии. 1988. Т. LVII. С. 1403. [англоязычная версия: Zabolotskii V.I., Shel’deshov N.V., Gnusin N.P. // Russ. Chem. Rev. 1988. V. 57. P. 801.]
- Никоненко В.В., Мареев С.А., Письменская Н.Д., Узденова А.М., Коваленко А.В., Уртенов М.Х., Пурсели Ж.Э. // Электрохимия. 2017. Т. 53. С. 1266. [англоязычная версия: Nikonenko V.V., Mareev S.A., Pis’menskaya N.D., Kovalenko A.V., Urtenov M.K., Uzdenova A.M., Pourcelly G. // Russ. J. Electrochem. 2017. V. 53. P. 1122.]
- Zyryanova S., Mareev S., Gil V., Pismenskaya N., Sarapulova V., Rybalkina O., Boyko E., Nikonenko V., Korzhova E., Larchet C., Dammak L. // Int. J. Mol. Sci. 2020. V. 21. P. 973.
- Rubinstein I., Staude E., Kedem O. // Desalination. 1988. V. 69. Issue 2. P. 101.
- Ibanez R., Stamatialis D.F., Wessling M. // J. Membr. Sci. 2004. V. 239. P. 119.
- Akberova E.M., Vasil’eva V.I. // Electrochem. Commun. 2020. V. 111. 106659.
Дополнительные файлы













