Electrodialysis Separation and Selective Concentration of Sulfuric Acid and Nickel Sulfate Mixed Solution Using Membranes Modified by Polyaniline
- Authors: Loza S.A.1, Romanyuk N.A.1, Falina I.V.1, Loza N.V.1
-
Affiliations:
- Kuban State University
- Issue: Vol 13, No 4 (2023)
- Pages: 269-290
- Section: Articles
- URL: https://journals.rcsi.science/2218-1172/article/view/138001
- DOI: https://doi.org/10.31857/S221811722304003X
- EDN: https://elibrary.ru/RSZCVY
- ID: 138001
Cite item
Full Text
Abstract
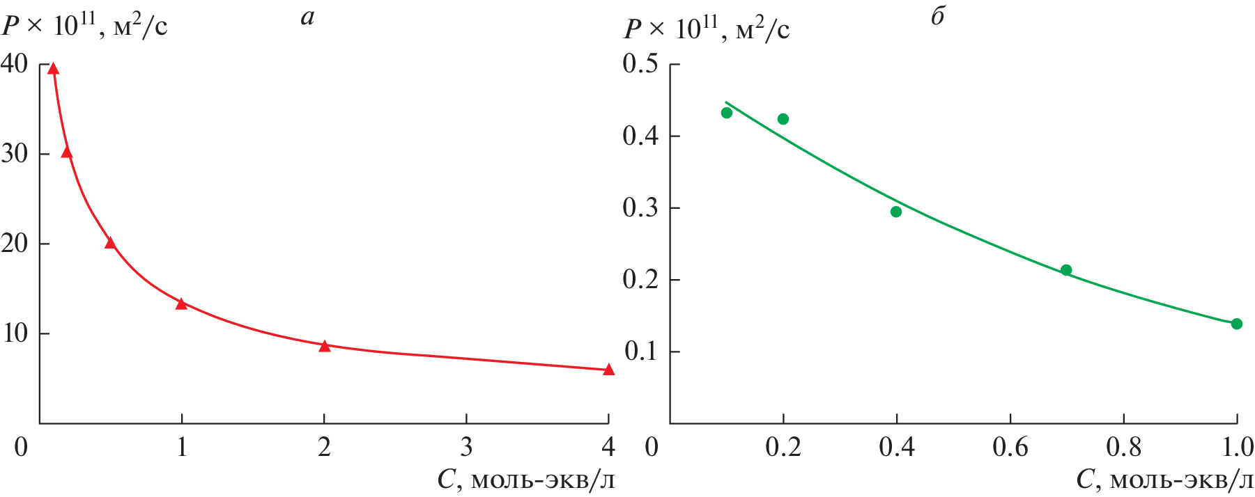
The paper discusses the electrodialysis treatment of mixed nickel sulfate and sulfuric acid solution using polyaniline surface-modified cation exchange membranes. The modified membranes are obtained on the basis of industrial cation-exchange MK-40 heterogeneous and MF-4SK homogeneous membranes by in situ oxidative polymerization of aniline under electrodialysis conditions. The conductive and diffusion characteristics of the initial and modified membranes in solutions of sulfuric acid and nickel sulfate are studied. It is shown that the modification of membranes with polyaniline leads to a decrease in their electrical conductivity and diffusion permeability while maintaining high selectivity. The diffusion permeability of cation-exchange membranes is higher in nickel sulfate solutions compared to sulfuric acid one, while an inverse dependence is found for anion-exchange membranes. The competitive transfer of sulfuric acid and nickel sulfate during electrodialysis separation and concentration of their mixture using initial and modified cation-exchange membranes paired with anion-exchange MA-41 membrane are studied. It is shown that the applying a polyaniline layer with positively charged groups on the surface of the MK-40 or MF-4SK cation-exchange membranes suppresses the transport of doubly charged nickel ions both in the separation and concentration modes over the entire range of current densities. The greatest repulsion effect is observed for homogeneous modified membranes, where the selective permeability coefficient P(H2SO4/NiSO4) increases from 0.7–1.7 to 32.5–19.7 depending on the current density. It is established that the use of polyaniline modified cation-exchange membranes permits to concentrate the solution containing 0.1 mol-eq/L (4.9 g/L) H2SO4 and 0.1 mol-eq/L (7.7 g/L) NiSO4, with simultaneous separation into sulfuric acid with concentration about 2.4 mol-eq/L (120 g/L) and nickel sulfate solutions. The content of nickel sulfate in the concentrate does not exceed 0.13 mol-eq/L (10 g/L).
About the authors
S. A. Loza
Kuban State University
Email: nata_loza@mail.ru
Russia, 350040, Krasnodar, Stavropolskaya str., 149
N. A. Romanyuk
Kuban State University
Email: nata_loza@mail.ru
Russia, 350040, Krasnodar, Stavropolskaya str., 149
I. V. Falina
Kuban State University
Email: nata_loza@mail.ru
Russia, 350040, Krasnodar, Stavropolskaya str., 149
N. V. Loza
Kuban State University
Author for correspondence.
Email: nata_loza@mail.ru
Russia, 350040, Krasnodar, Stavropolskaya str., 149
References
- Под ред. Петрова Е.И., Тетеньки Д.Д. О состоянии и использовании минерально-сырьевых ресурсов российской федерации в 2020 году: государственный доклад // М.: ФГБУ “ВИМС”. 2021. С. 572. https://www.rosnedra.gov.ru/data/Files/File/7992.pdf. Дата обращения: 05.03.2023.
- Abidli A., Huang Y., Ben Rejeb Z. et al. // Chemosphere. 2022. V. 292. № 133102.
- Rajoria S., Vashishtha M., Sangal V.K. // Environ. Sci. Pollut. Res. 2022. V. 29. P. 72196.
- Rawat A., Srivastava A., Bhatnagar A., Gupta A.K. // J. Cleaner Production. 2023. V. 383. № 135382.
- Yu X., Hou Y., Ren X. et al. // J. Water Proc. Engin. 2022. V. 46. № 102577.
- Li S., Dai M., Ali I. et al. // Process Safety and Environmental Protection. 2023. V. 172. P. 417.
- Li C., Dai G., Liu R. et al. // Sep. Purif. Tech. 2023. V. 306. № 122 559.
- Cassayre L., Guzhov B., Zielinski M., Biscans B. // Renewable and Sustainable Energy Reviews. 2022. V. 170. № 112 983.
- Yan K., Huang P., Xia M. et al. // Sep. Purif. Tech. 2022. V. 295. № 121 283.
- Shaposhnik V.A., Kesore K. // J. Memb. Sci. 1997. V. 136. P. 35.
- Xu T. // J. Memb. Sci. 2005. V. 263. P. 1.
- Campione A., Gurreri L., Ciofalo M. et al. // Desalination. 2018. V. 434. P. 121.
- Benvenuti T., Rodrigues M.A.S., Bernardes A.M., Zoppas-Ferreira J. // J. Cleaner Production. 2017. V. 155. P.130.
- Melnikov S., Sheldeshov N., Zabolotsky V. et al. // Sep. Purif. Tech. 2017. V. 189. P. 74.
- Achoh A., Petriev I., Melnikov S. // Membranes. 2021. V. 11. № 980.
- Sedighi M., Usefi M.M.B., Ismail A.F., Ghasemi M. // Desalination. 2023. V. 549. № 116319.
- Reig M., Valderrama C., Gibert O., Cortina J.L. // Desalination. 2016. V. 399. P. 88.
- Ahmad M., Ahmed M., Hussain S. et al. // Desalination. 2023. V. 545. № 116159.
- Golubenko D.V., Manin A.D., Wang Y., Xu T., Yaroslavtsev A.B. // Desalination. 2022. V. 531. № 115719.
- Zhang S., Wang S., Guo Z. et al. // Sep. Purif. Tech. 2022. V. 300. № 121926.
- Wang W., Hong G., Zhang Y. et al. // J. Memb. Sci. 2023. V. 675. № 121534.
- Yan J., Wang H., Yan H. et al. // Desalination. 2023. V. 554. № 116513.
- Stenina I.A., Yurova P.A., Novak L. et al. // Colloid. Polym. Sci. 2021. V. 299. P. 719–728.
- Stenina I., Yurova P., Achoh A. et al. // Polymers (Basel). 2023. V. 15. № 647.
- Zhang W., Miao M., Pan J. // Desalination. 2017. V. 411. P. 28.
- Zabolotsky V.I., Achoh A.R., Lebedev K.A., Melnikov S.S. // J. Memb. Sci. 2020. V. 608. № 118152.
- Гребенюк В.Д., Вейсов Б.К., Чеботарева Р.Д. и др. // Журн. прикл. химии. 1986. Т. 59. С. 916.
- Gnusin N.P., Demina O.A. // Theor. Found. Chem. Eng. 2006. V. 40. P. 27.
- Заболоцкий В.И., Демин А.В., Демина О.А. // Электрохимия. 2011. Т. 47. С. 349.
- Заболоцкий В.И., Протасов К.В., Шарафан М.В. // Электрохимия. 2011. Т. 46. С. 1044.
- Заболоцкий В.И., Письменский В.Ф., Демина О.А., Новак Л. // Электрохимия. 2013. Т. 49. С. 633.
- Melnikov S.S., Mugtamov O.A., Zabolotsky V.I. // Sep. Purif. Technol. 2020. V. 235. № 116198.
- Демин А.В., Заболоцкий В.И. // Электрохимия. 2008. Т. 44. С. 1140.
- Назырова Е.В., Кононенко Н.А., Шкирская С.А., Демина О.А. // Мембраны и мембранные технологии. 2022. Т. 12. С. 165.
- Berezina N., Gnusin N., Dyomina O., Timofeyev S. // J. Memb. Sci. 1994. V. 86. P. 207.
- Yeager H.L., O’Dell B., Twardowski Z. // J. Electrochem. Soc. 1982. V. 129. P. 85.
- Заболоцкий В.И., Шудренко А.А., Гнусин Н.П. // Электрохимия. 1988. Т. 24. С. 744.
- Березина Н.П., Шкирская С.А., Колечко М.В. и др. // Электрохимия. 2011. Т. 47. С. 1066.
- Протасов К.В., Шкирская С.А., Березина Н.П., Заболоцкий В.И. // Электрохимия. 2010. Т. 46. С. 1209.
- Котов В.В., Шапошник В.А. // Коллоидный журн. 1984. Т. 46. № 6. С. 1116.
- Luo T., Abdu S., Wessling M. // J. Membr. Sci. 2018. V. 555. P. 429.
- Falina I., Loza N., Loza S. et al. // Membranes. 2021. V. 11. № 227.
- Sata T., Sata T., Yang W. // J. Memb. Sci. 2002. V. 206. P. 31.
- Farrokhzad H., Darvishmanesh S., Genduso G. et al. // Electrochim. Acta. 2015. V. 158. P. 64.
- Kumar M., Khan M.A., Alothman A Z., Siddiqui M.R. // Desalination. 2013. V. 325. P. 95.
- Reig M., Farrokhzad H., Van der Bruggen B. et al. // Desalination. 2015. V. 375. P. 1.
- Лоза Н.В., Лоза С.А., Кононенко Н.А. Пат. РФ № 2566415, заявл. 18.07.2014: опубл. 27.10.2015.
- Andreeva M., Loza N., Kutenko N., Kononenko N. // J. Solid State Electrochem. 2020. V. 24. P. 101.
- Berezina N.P., Kononenko N.A., Dyomina O.A., Gnusin N.P. // Adv. Colloid Interface Sci. 2008. V. 139. P. 3.
- Zabolotsky V.I., Pismenskaya N.D., Laktionov E.V., Nikonenko V.V. // Desalination. 1996. V. 107. P. 245.
- Заболоцкий В.И., Мельников С.С., Демина О.А. // Электрохимия. 2014. Т. 50.
- Andreeva M.A., Loza N.V., Pis’menskaya N.D. et al. // Membranes. 2020. V. 10. № 145.
- Li F., Jia Y., He J., Wang M. // J. Cleaner Production. 2021. V. 320. № 128760.
- Lorrain Y., Pourcelly G., Gavach C. // J. Memb. Sci. 1996. V. 110. P. 181.
- Liu M., Wang J., Liu J. et al. // Polymer. 2023. V. 268. № 125721.
- Гнусин Н.П., Березина Н.П., Кононенко Н.А. и др. // Журн. физической химии. 2009. Т. 83. С. 122.
- Демина О.А., Кононенко Н.А., Фалина И.В. // Мембраны и мембранные технологии. 2014. Т. 4. С. 83.
- Заболоцкий В.И., Никоненко В.В. Перенос ионов в мембранах. М: Наука, 1996. 392 с.
- Шкирская С.А., Сенчихин И.Н., Кононенко Н.А., Ролдугин В.И. // Электрохимия. 2017. Т. 53. С. 89.
- Лоза Н.В., Долгополов С.В., Кононенко Н.А., Андреева М.А., Коршикова Ю.С. // Электрохимия. 2015. Т. 51. С. 615.
- Andreeva M.A., Loza N.V., Pis’menskaya N.D., Dammak L., Larchet C. // Membranes. 2020. V. 10. 145.
Supplementary files
















