Study of the Specific Adsorption of Calcium Ions on the Surface of Heterogeneous and Homogeneous Cation-Exchange Membranes to Increase Their Selectivity towards Singly Charged Ions
- Autores: Gil V.V.1, Ruleva V.D.1, Porozhnyy M.V.1, Sharafan M.V.1
-
Afiliações:
- Kuban State University
- Edição: Volume 13, Nº 3 (2023)
- Páginas: 181-193
- Seção: Articles
- URL: https://journals.rcsi.science/2218-1172/article/view/138000
- DOI: https://doi.org/10.31857/S2218117223030045
- EDN: https://elibrary.ru/DUEXDW
- ID: 138000
Citar
Texto integral
Resumo
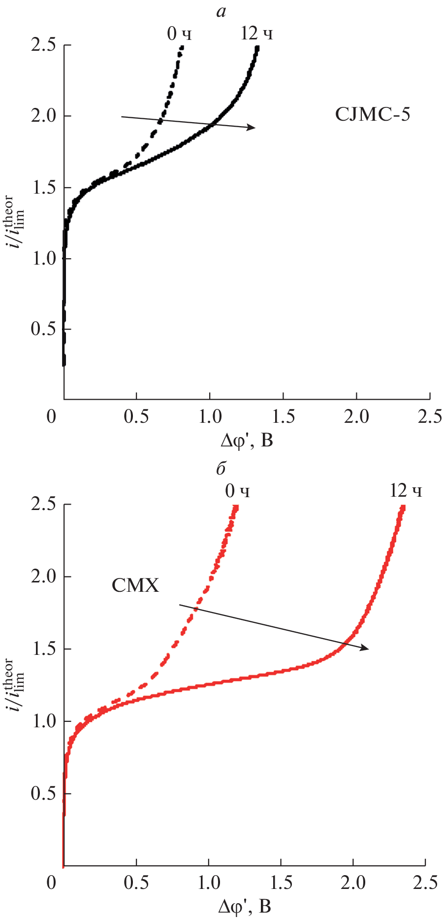
Ion-exchange membranes with high specific selectivity towards singly charged ions are in demand in various industries. One of the ways to increase the specific selectivity can be formation of a thin layer on the membrane surface with a charge opposite to the charge of its fixed groups. The possibility of forming such a layer due to the specific interaction of calcium ions with the sulfonate groups of the membrane during treatment with a high-intensity electric current in a CaCl2 solution is studied. The ability of heterogeneous (MK-40, Ralex CMH) and homogeneous (CMX, CJMC-5) sulfocationite membranes for specific adsorption of calcium ions on their surface is investigated. It is shown that the CMX membrane exhibits this ability to the greatest extent, which is due to the higher density of \( - {\text{SO}}_{3}^{ - }\) groups on its surface compared to other studied membranes. It is found that the formation of a thin positively charged layer on the surface of the CMX membrane increases the permselectivity coefficient of the membrane, \({{P}_{{{{{\text{N}}{{{\text{a}}}^{{\text{ + }}}}} \mathord{\left/
{\vphantom {{{\text{N}}{{{\text{a}}}^{{\text{ + }}}}} {{\text{C}}{{{\text{a}}}^{{{\text{2 + }}}}}}}} \right.} {{\text{C}}{{{\text{a}}}^{{{\text{2 + }}}}}}}}}},\) by 69%. At the same time, the presence of such a layer does not lead to an increase in undesirable water splitting, which occurs when applying widely used as modifiers polyelectrolytes with amino groups.
Sobre autores
V. Gil
Kuban State University
Autor responsável pela correspondência
Email: violetta_gil@mail.ru
Russia, 350040, Krasnodar
V. Ruleva
Kuban State University
Email: violetta_gil@mail.ru
Russia, 350040, Krasnodar
M. Porozhnyy
Kuban State University
Email: violetta_gil@mail.ru
Russia, 350040, Krasnodar
M. Sharafan
Kuban State University
Email: violetta_gil@mail.ru
Russia, 350040, Krasnodar
Bibliografia
- Luo T., Abdu S., Wessling M. // J. Membr. Sci. 2018. V. 555. P. 429–454.
- Pang X., Tao Y., Xu Y., Pan J., Shen J., Gao C. // J. Membr. Sci. 2020. V. 595. P. 117544.
- Ge L., Wu B., Yu D., Mondal A.N., Hou L., Afsar N.U., Li Q., Xu T., Miao J., Xu T. // Chin. J. Chem. Eng. 2017. V. 25. № 11. P. 1606–1615.
- Besha A.T., Tsehaye M.T., Aili D., Zhang W., Tufa R.A. // Membranes. 2019. V. 10. № 1. P. 7.
- Zhang Y., Paepen S., Pinoy L., Meesschaert B., Van der Bruggen B. // Sep. Purif. Technol. 2012. V. 88. P. 191–201.
- Tran A.T.K., Zhang Y., Lin J., Mondal P., Ye W., Meesschaert B., Pinoy L., Van der Bruggen B. // Sep. Purif. Technol. 2015. V. 141. P. 38–47.
- Liu R., Wang Y., Wu G., Luo J., Wang S. // Chem. Eng. J. 2017. V. 322. P. 224–233.
- Guo Z.-Y., Ji Z.-Y., Chen Q.-B., Liu J., Zhao Y.-Y., Li F., Liu Z.-Y., Yuan J.-S. // J. Clean. Prod. 2018. V. 193. P. 338–350.
- Sata T., Izuo R. // J. Membr. Sci. 1989. V. 45. № 3. P. 209–224.
- Kotoka F., Merino-Garcia I., Velizarov S. // Membranes. 2020. V. 10. № 8. P. 160.
- Femmer R., Mani A., Wessling M. // Sci. Rep. 2015. V. 5. № 1. P. 11583.
- Abdu S., Martí-Calatayud M.-C., Wong, J.E., García-Gabaldón M., Wessling M. // ACS Appl. Mater. Interfaces. 2014. V. 6. № 3. P. 1843–1854.
- Цыгурина К.А., Кириченко Е.В., Кириченко К.А. // Мембраны и мембранные технологии. 2022. Т. 12. № 1. С. 15–28. [Tsygurina K.A., Kirichenko E.V., Kirichenko K.A. // Membranes and Membrane Technologies. 2022. V. 4. № 1. P. 11–22.]
- Mulyati S., Takagi R., Fujii A., Ohmukai Y., Matsuyama H. // J. Membr. Sci. 2013. V. 431. P. 113–120.
- Stenina I., Golubenko D., Nikonenko V., Yaroslavtsev A. // Int. J. Mol. Sci. 2020. V. 21. № 15. P. 5517.
- Vaselbehagh M., Karkhanechi H., Takagi R., Matsuyama H. // J. Membr. Sci. 2015. V. 490. P. 301–310.
- White N., Misovich M., Yaroshchuk A., Bruening M.L. // ACS Appl. Mater. Interfaces. 2015. V. 7. № 12. P. 6620–6628.
- Merino-Garcia I., Kotoka F., Portugal C.A.M., Crespo J.G., Velizarov S. // Membranes. 2020. V. 10. № 6. P. 134.
- Zhao Y., Li Y., Yuan S., Zhu J., Houtmeyers S., Li J., Dewil R., Gao C., Van der Bruggen B. J. Mater. Chem. A. 2019. V. 7. P. 6348–6356.
- Falina I., Loza N., Loza S., Titskaya E., Romanyuk N. // Membranes. 2021. V. 11. № 3. P. 227.
- Güler E., van Baak W., Saakes M., Nijmeijer K. // J. Memb. Sci. 2014. V. 455. P. 254–270.
- Lambert J., Avila-Rodriguez M., Durand G., Rakib M. // J. Memb. Sci. 2006. V. 280. № 1–2. P. 219–225.
- Pan J., Ding J., Tan R., Chen G., Zhao Y., Gao C., Van der Bruggen B., Shen J. // J. Memb. Sci. 2017. V. 539. P. 263–272.
- Zhao Y., Tang K., Liu H., Van der Bruggen B., Sotto Díaz A., Shen J., Gao C. // J. Memb. Sci. 2016. V. 520. P. 262–271.
- Khoiruddin Ariono D., Subagjo Wenten I.G. // J. Appl. Polym. Sci. 2017. V. 134. № 48. P. 45540.
- Zhao Y., Tang K., Ruan H., Xue L., Van der Bruggen B., Gao C., Shen J. // J. Memb. Sci. 2017. V. 536. P. 167–175.
- Zhao Y., Zhu J., Ding J., Van der Bruggen B., Shen J., Gao C. // J. Memb. Sci. 2018. V. 548. P. 81–90.
- Zhao Y., Gao C., Van der Bruggen B. // Nanoscale. 2019. V. 11. P. 2264–2274.
- Golubenko D.V., Yaroslavtsev A.B. // J. Membr. Sci. 2021. V. 635. P. 119466.
- Golubenko D., Yaroslavtsev A. // J. Membr. Sci. 2020. V. 612. P. 118408.
- Titorova V.D., Moroz I.A., Mareev S.A., Pismenskaya N.D., Sabbatovskii K.G., Wang Y., Xu T., Nikonenko V.V. // J. Membr. Sci. 2022. V. 644. P. 120149.
- Nie X.-Y., Sun S.-Y., Sun Z., Song X., Yu J.-G. // Desalination. 2017. V. 403. P. 128–135.
- Berezina N.P., Kononenko N.A., Dyomina O.A., Gnusin N.P. // Adv. Colloid Interface Sci. 2008. V. 139. P. 3–28.
- Newman J.S. Electrochemical systems. N.J.: Prentice Hall, 1973. 432 p.
- Nikonenko V., Nebavsky A., Mareev S., Kovalenko A., Urtenov M., Pourcelly G. // Appl. Sci. 2018. V. 9. № 1. P. 25.
- Sata T., Sata T., Yang W. // J. Membr. Sci. 2002. V. 206. № 1–2. P. 31–60.
- Pismenskaya N.D., Pokhidnia E.V., Pourcelly G., Nikonenko V.V. // J. Membr. Sci. 2018. V. 566. P. 54–68.
- Nebavskaya K.A., Sarapulova V.V., Sabbatovskiy K.G., Sobolev V.D., Pismenskaya N.D., Sistat P., Cretin M., Nikonenko V.V. // J. Membr. Sci. 2017. V. 523. P. 36–44.
- Гиль В.В., Порожный М.В., Рыбалкина О.А., Саббатовский К.Г., Письменская Н.Д. // Мембраны и мембранные технологии. 2021. Т. 11. № 5. С. 371–381. [Gil V.V., Porozhnyy M.V., Rybalkina O.A., Sabbatovskiy K.G., Pismenskaya N.D. // Membranes and Membrane Technologies. 2021.V. 3. № 5. P. 334–343.]
- Rubinstein I., Zaltzman B. // Phys. Rev. Lett. 2015. V. 114. P. 114502.
- Mishchuk N.A. // Adv. Colloid Interface Sci. 2010. V. 160. № 1–2. P. 16–39.
- Левич В.Г. // Докл. АН СССР. 1959. Т. 124. С. 869–872.
- Dukhin S.S. // Adv. Colloid Interface Sci. 1991. V. 35. P. 173–196.
- Mishchuk N.A. // Colloids Surf. A Physicochem. Eng. Asp. 1998. V. 140. № 1–3.P. 75–89.
- Roghmans F., Evdochenko E., Stockmeier F., Schneider S., Smailji A., Tiwari R., Mikosch A., Karatay E., Kühne A., Walther A., Mani A., Wessling M. // Adv. Mater. Interfaces. 2018. V. 6. P. 1801309.
- Никоненко В.В., Мареев С.А., Письменская Н.Д., Узденова А.М., Коваленко А.В., Уртенов М.Х., Пурсели Ж. // Электрохимия. 2017. Т. 53. № 10. С. 1266–1289. [Nikonenko V.V., Mareev S.A., Pis’menskaya N.D., Uzdenova A.M., Kovalenko A.V., Urtenov M.Kh., Pourcelly G. // Russ. J. Electrochem. 2017. 53, 1122–1144.]
- Rubinstein I., Zaltzman B. // Phys. Rev. E. 2000. V. 62. P. 2238–2251.
- Rubinstein I., Zaltzman B. // Math. Models Methods Appl. Sci. 2001. V. 11. № 2. P. 263–300.
- Васильева В.И., Жильцова А.В., Акберова Э.М., Фатаева А.И. // Конденсированные среды и межфазные границы. 2014. Том 16. № 3. С. 257–261.
- Ponomar M., Krasnyuk E., Butylskii D., Nikonenko V., Wang Y., Jiang C., Xu T., Pismenskaya N. // Membranes. 2022. V. 12. № 8. P. 765.
- Sarapulova V., Shkorkina I., Mareev S., Pismenskaya N., Kononenko N., Larchet C., Dammak L., Nikonenko V. // Membranes. 2019. V. 9. № 7. P. 84.
- Güler E., Elizen R., Vermaas D.A., Saakes M., Nijmeijer K. // J. Memb. Sci. 2013. V. 446. P. 266–276.
- Simons R. // Nature. 1979. V. 280. P. 824–826.
- Заболоцкий В.И., Шельдешов Н.В., Гнусин Н.П. // Успехи химии. 1988. Т. 57. № 6. С. 1403–1414. [Zabolotskii V.I., Shel’deshov N.V., Gnusin N.P. // Russian Chemical Reviews. 1988. V. 57. № 8. P. 801–808.]
- Belloň T., Polezhaev P., Vobecká L., Svoboda M., Slouka Z. // J. Membr. Sci. 2019. V. 572. P. 607–618.
- Kang M.-S., Choi Y.-J., Moon S.-H. // Korean J. Chem. Eng. 2004. V. 21. P. 221–229.
- Zabolotskiy V.I., But A.Y., Vasil’eva V.I., Akberova E.M., Melnikov S.S. // J. Membr. Sci. 2017. V. 526. P. 60–72.
- Belloň T., Slouka Z. // J. Membr. Sci. 2020. V. 610. P. 118 291.
- Porozhnyy M.V., Shkirskaya S.A., Butylskii D.Y., Dotsenko V.V., Safronova E.Y., Yaroslavtsev A.B., Deabate S., Huguet P., Nikonenko V.V. // Electrochim. Acta. 2021. V. 370. P. 137689.
- Gil V., Porozhnyy M., Rybalkina O., Butylskii D., Pismenskaya N. // Membranes. 2020. V. 10. № 6. P. 125.
- Belashova E.D., Melnik N.A., Pismenskaya N.D., Shevtsova K.A., Nebavsky A.V., Lebedev K.A., Nikonenko V.V. // Electrochim. Acta. 2012. V. 59. P. 412–423.
- Sarapulova V., Pismenskaya N., Butylskii D., Titorova V., Wang Y., Xu T., Zhang Y., Nikonenko V., // Membranes. 2020. V. 10. № 8. P. 165.
- Chapotot A., Pourcelly G., Gavach C. // J. Membr. Sci. 1994. V. 96. P. 167–181.
- Abdu S., Martí-Calatayud M.-C., Wong J.E., García-Gabaldón M., Wessling M. // ACS Appl. Mater. Interfaces. 2014. V. 6. № 3. P. 1843–1854.
Arquivos suplementares








