New Hybrid Membrane Based on Poly(m-Phenylene-iso-Phthalamide) for Pervaporation of Methanol/n-Heptane Azeotropic Mixture
- Authors: Pulyalina A.Y.1, Faykov I.I.1, Sorokina A.S.1, Tian N.S.1, Kuryndin I.S.2, Polotskaya G.A.1,2
- 
							Affiliations: 
							- Institute of Chemistry, Saint Petersburg State University
- Institute of Macromolecular Compounds, Russian Academy of Sciences
 
- Issue: Vol 13, No 4 (2023)
- Pages: 259-268
- Section: Articles
- URL: https://journals.rcsi.science/2218-1172/article/view/137997
- DOI: https://doi.org/10.31857/S2218117223040053
- EDN: https://elibrary.ru/RTCFZQ
- ID: 137997
Cite item
Full Text
Abstract
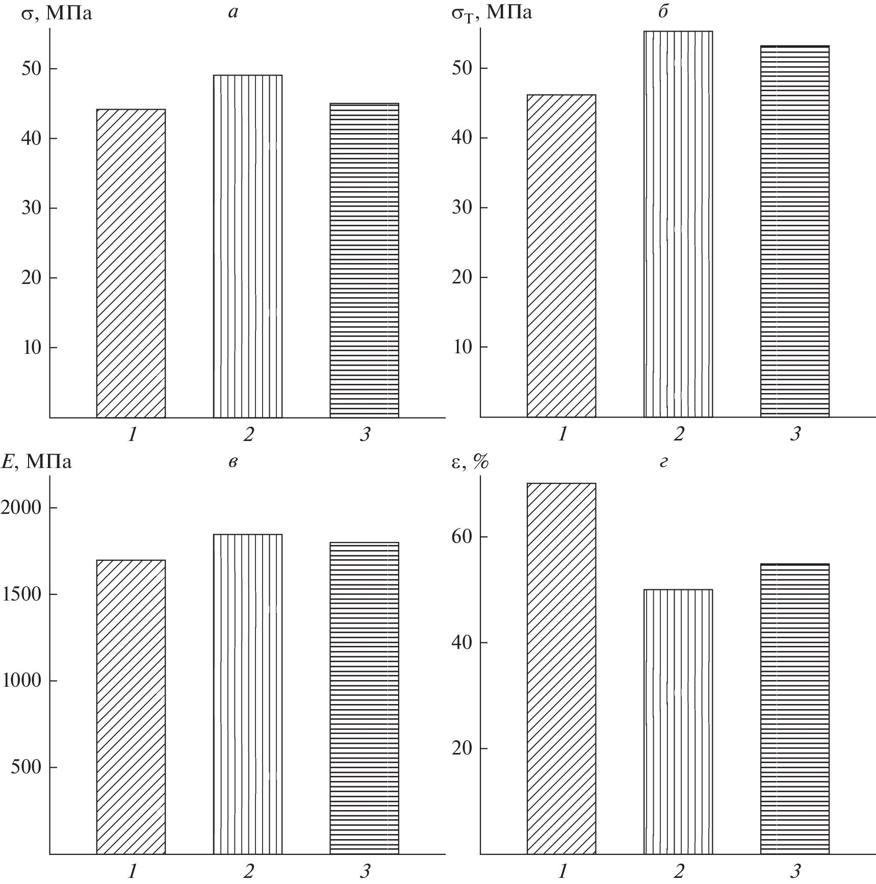
The object of this work is a new hybrid membrane based on poly(m-phenylene-iso-phthalamide) (PA) modified with a complex filler consisting of equal amounts of heteroarms star macromolecules (HSM) and [BMIM+Tf2N–] ionic liquid (IL). Comparative studies of the structure were carried out on samples of membranes made of pristine PA and hybrid PA/HSM and PA/(HSM:IL) containing 5 wt % additives; methods of AFM, X-ray phase analysis, measurement of density and contact angles were used. The transport properties of membranes were studied in separation of a methanol/n-heptane mixture by the pervaporation method. The actuality of this problem is associated with the process of oil refining. In pervaporation of an azeotropic methanol/n-heptane mixture, the hybrid PA/(HSM:IL) membrane demonstrated higher performance and separation factor relative to reference membranes. Mechanical tests of the membranes revealed a high level of properties important for operation (strength and relative elongation) of the hybrid membrane.
About the authors
A. Yu. Pulyalina
Institute of Chemistry, Saint Petersburg State University
							Author for correspondence.
							Email: a.pulyalina@spbu.ru
				                					                																			                												                								Russia, 198504, Saint Petersburg						
I. I. Faykov
Institute of Chemistry, Saint Petersburg State University
														Email: a.pulyalina@spbu.ru
				                					                																			                												                								Russia, 198504, Saint Petersburg						
A. S. Sorokina
Institute of Chemistry, Saint Petersburg State University
														Email: a.pulyalina@spbu.ru
				                					                																			                												                								Russia, 198504, Saint Petersburg						
N. S. Tian
Institute of Chemistry, Saint Petersburg State University
														Email: a.pulyalina@spbu.ru
				                					                																			                												                								Russia, 198504, Saint Petersburg						
I. S. Kuryndin
Institute of Macromolecular Compounds, Russian Academy of Sciences
														Email: a.pulyalina@spbu.ru
				                					                																			                												                								Russia, 199004, Saint Petersburg						
G. A. Polotskaya
Institute of Chemistry, Saint Petersburg State University; Institute of Macromolecular Compounds, Russian Academy of Sciences
														Email: a.pulyalina@spbu.ru
				                					                																			                												                								Russia, 198504, Saint Petersburg; Russia, 199004, Saint Petersburg						
References
- Baker R.W. Membrane Technology and Applications, 3rd ed., Wiley, Chichester, 2012.
- Апель П.Ю., Бобрешова О.В., Волков А.В., Волков В.В., Никоненко В.В., Стенина И.А., Филиппов А.Н., Ямпольский Ю.П., Ярославцев А.Б. // Мембраны и мембранные технологии. 2019. Т. 9. № 2. С. 59.
- Pulyalina A., Goikhman M., Podeshvo I., Faykov I., Polotskaya G. // Separation Science and Technology. 2022. V. 57. № 7. P. 1139.
- Бильдюкевич А.В., Глевицкая Т.А., Невар Т.Н. // Мембраны и мембранные технологии. 2022. Т. 12. № 4. С. 223.
- Юшкин А.А., Балынин А.В., Ефимов М.Н., Муратов Д.Г., Карпачева Г.П., Волков А.В. // Мембраны и мембранные технологии. 2022. Т. 12. № 4. С. 276.
- Голубев Г.С., Борисов И.Л., Волков В.В., Волков А.В. // Мембраны и мембранные технологии. 2020. Т. 10. № 1. С. 54.
- Пулялина А.Ю., Тян Н.С., Файков И.И., Полоцкая Г.А., Ростовцева В.А. // Мембраны и мембранные технологии. 2022. Т. 12. № 5. С. 375.
- Ong Y.K., Shi G.M., Le N.L., Tang Y.P., Zuo J., Nunes S.P., Chung T.S. // Progress in Polymer Science. 2016. V. 57. P. 1.
- Genduso G., Amelio A., Luis P., Van der Bruggen B., Vreysen S. // AIChE J. 2014. V. 60. № 7. P. 2584.
- Пулялина А.Ю., Файков И.И., Нестерова В.П., Подешво И.В., Полоцкая Г.А. // Мембраны и мембранные технологии. 2019. Т. 9. № 5. С. 348.
- Полоцкая Г.А., Курындин И.С., Сапрыкина Н.Н., Бронников С.В. // Мембраны и мембранные технологии. 2022. Т. 12. № 6. С. 420.
- Голубев Г.С., Балынин А.В., Борисов И.Л., Волков А.В. // Мембраны и мембранные технологии. 2022. Т. 12. № 4. С. 276.
- Пулялина А.Ю., Путинцева М.Н., Полоцкая Г.А., Ростовцева В.А., Тойкка А.М. // Мембраны и мембранные технологии. 2019. Т. 9. № 2. С. 122.
- Cao X., Qiu L., Feng X. // J. Membrane Science. 2022. V. 642. 120006.
- Plisko T., Burts K., Zolotarev A., Bildyukevich A., Dmitrenko M., Kuzminova A., Ermakov S., Penkova A. // Membranes. 2022. V. 12. P. 967.
- Шалыгин М.Г., Козлова А.А., Сырцова Д.А., Маркова С.Ю., Рябова О.Р., Тепляков В.В. // Мембраны и мембранные технологии. 2019. Т. 9. № 3. С. 214.
- Chang Y.S., Kumari P., Munro C.J., Szekely G., Vega L.F., Nunes S., Dumée L.F. // J. Membrane Science. 2023. V. 666. 121125.
- Бурть Е.С., Плиско Т.В., Прозорович В.Г., Мельникова Г.Б., Иванец А.И., Бильдюкевич А.В. // Мембраны и мембранные технологии. 2022. Т. 12. № 2. С. 116.
- Polotskaya G., Pulyalina A., Goikhman M., Podeshvo I., Rostovtseva V., Shugurov S., Gofman I., Saprykina N., Gulii N., Loretsyan N., Toikka A. // Scientific Reports. 2018. V. 8. 17849.
- Кузнецов А.А., Цегельская А.Ю., Орлова А.М., Белов Н.А., Чирков С.В., Никифоров Р.Ю., Алентьев А.Ю. // Мембраны и мембранные технологии. 2019. Т. 9. № 5. С. 369.
- Pulyalina A.Yu., Polotskaya G.A., Goikhman M.Ya., Podeshvo I.V., Gulii N.S., Shugurov S.M., Tataurov M.V., Toikka A.M. // Polymer International. 2017. V. 66. № 12. P. 1873.
- Polotskaya G., Goikhman M., Podeshvo I., Loretsyan N., Saprykina N., Gofman I., Tian N., Dubovenko R., Pulyalina A. // J. Applied Polymer Science. 2022. V. 139. № 7. 51 646.
- Lee J.-Y., Huang T.-Y., Ang M.B.M.Y., Huang S.-H., Tsai H.-A., Jeng R.-J. // J. Membrane Science. 2022. V. 657. 120702.
- Polotskaya G., Tian N., Faykov I., Goikhman M., Podeshvo I., Loretsyan N., Gofman I., Zolotovsky K., Pulyalina A. // Membranes. 2023. V. 13. № 2. 160.
- Wang T., Huang X.-X., Huang L.-L., Wu L.-G., Zhu D.-F., Wang G.-Q., Jiang X.-J. // J. Membrane Science. 2022. V. 665. 121 138.
- Penkova A.V., Dmitrenko M.E., Sokolova M.P., Chen B., Plisko T.V., Markelov D.A., Ermakov S.S. // J. of Materials Science. 2016. V. 51. P. 7652.
- Polotskaya G.A., Krasnopeeva E.L., Kalyuzhnaya L.M., Saprykina N.N., Vinogradova L.V. // Separation and Purification Technology. 2015. V. 143. P. 192.
- Лебедев В.Т., Török Gy., Виноградова Л.В. // Высокомолекулярные соединения. Серия А. 2011. Т. 53. № 1. С.15.
- Ростовцева В.А., Пулялина А.Ю., Дубовенко Р.Р., Сапрыкина Н.Н., Виноградова Л.В., Полоцкая Г.А. // Мембраны и мембранные технологии. 2021. Т. 11. № 5. С. 304.
- Rostovtseva V., Pulyalina A., Dubovenko R., Faykov I., Subbotina K., Saprykina N., Novikov A., Vinogradova L., Polotskaya G. // Polymers. 2021. V. 13. № 11. 1811.
- Haynes W.M. Ed., CRC Handbook of Chemistry and Physics, 97th ed., Taylor & Francis Group, LLC, London, 2017.
- Мелешко Т.К., Пулялина А.Ю., Тян Н.С., Полоцкая Г.А., Иванов И.В., Кукаркина Н.В., Тойкка А.М., Якиманский А.В. // Высокомолекулярные соединения (сер. Б). 2017. Т. 59. № 2. С. 143.
- Avagimova N., Polotskaya G., Toikka A., Pulyalina A., Moravkova Z., Trchova M., Pientka Z. // J. Applied Polymer Science. 2018. V. 135. P. 46320.
- Пулялина А.Ю., Полоцкая Г.А., Ростовцева В.А., Гойхман М.Я., Подешво И.В., Шугуров С.М., Зубакина Е.А., Тойкка А.М. // Мембраны и мембранные технологии. 2017. Т. 7. № 2. С. 99.
- Ельяшевич Г.К., Курындин И.С., Лаврентьев В.К., Попова Е.Н., Bukošek V. // Физика твердого тела. 2018. Т. 60. С. 1975.
- Полоцкая Г.А., Лебедев В.Т., Пулялина А.Ю., Виноградова Л.В. // Мембраны и мембранные технологии. 2016. Т. 6. № 3. С. 249.
- Belmares M., Blanco M., Goddard W.A., Ross R.B., Caldwell G., Chou S.H., Pham J., Olofson P.M., Thomas C. // J. Computational Chemistry. 2004. V. 25. P. 1814.
- Barton A.F.M. CRC Handbook of Solubility Parameters, CKC Press, Boca Raton. 1991.
- Vapor-Liquid Equilibrium and Distillation Calculator. Available online: http://www.vle-calc.com (accessed on 11 March 2020).
- Pulyalina A., Faykov I., Nesterova V., Goikhman M., Podeshvo I., Loretsyan N., Novikov A., Gofman I., Toikka A., Polotskaya G. // Polymers. 2020. V. 12. № 3. P. 645.
Supplementary files
 
				
			 
					 
						 
						 
						 
						 
				
 
  
  
  Email this article
			Email this article 







