Особенности строения гибридных мембран 4-ВП-ГЭМА-SiO2 и их протонная проводимость
- Авторы: Лебедева О.В.1, Раскулова Т.В.2, Безносюк С.А.3, Рябых А.В.3, Фомина Л.В.2, Сипкина Е.И.1
- 
							Учреждения: 
							- Иркутский национальный исследовательский технический университет
- Ангарский государственный технический университет
- Алтайский государственный университет
 
- Выпуск: Том 13, № 2 (2023)
- Страницы: 110-116
- Раздел: Статьи
- URL: https://journals.rcsi.science/2218-1172/article/view/137993
- DOI: https://doi.org/10.31857/S2218117223020049
- EDN: https://elibrary.ru/HYVVXZ
- ID: 137993
Цитировать
Полный текст
Аннотация
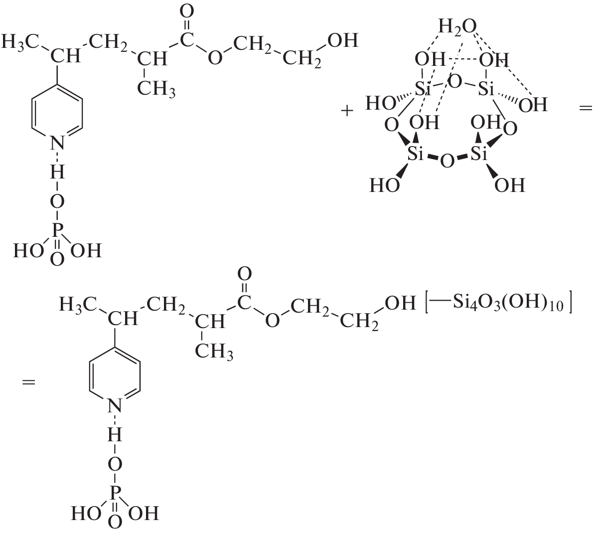
Методом золь–гель синтеза сформированы гибридные органо-неорганические мембраны на основе тетраэтоксисилана и допированных ортофосфорной кислотой сополимеров 4-винилпиридина (4-ВП) и 2‑гидроксиэтилметакрилата (ГЭМА). Мембраны отличаются высокими значениями обменной емкости и протонной проводимости. Увеличение протонной проводимости гибридных органо-неорганических мембран по сравнению с исходным сополимером можно связать с генерацией кристаллизационной воды при формировании фрагмента диоксида кремния, что следует из квантово-химического моделирования локальной структуры мембраны, включающей органическую часть из продукта сополимеризации 4-ВП с ГЭМА (44 атома) и неорганическую часть из 27 атомов, повторяющую структуру блока диоксида кремния.
Об авторах
О. В. Лебедева
Иркутский национальный исследовательский технический университет
							Автор, ответственный за переписку.
							Email: oks18021972@gmail.com
				                					                																			                												                								Россия, 664074, Иркутск, ул. Лермонтова, 83						
Т. В. Раскулова
Ангарский государственный технический университет
							Автор, ответственный за переписку.
							Email: raskulova@list.ru
				                					                																			                												                								Россия, 665835, Ангарск, ул. Чайковского, 60						
С. А. Безносюк
Алтайский государственный университет
														Email: raskulova@list.ru
				                					                																			                												                								Россия, 656049, Барнаул, пр. Ленина, 61						
А. В. Рябых
Алтайский государственный университет
														Email: raskulova@list.ru
				                					                																			                												                								Россия, 656049, Барнаул, пр. Ленина, 61						
Л. В. Фомина
Ангарский государственный технический университет
														Email: raskulova@list.ru
				                					                																			                												                								Россия, 665835, Ангарск, ул. Чайковского, 60						
Е. И. Сипкина
Иркутский национальный исследовательский технический университет
														Email: raskulova@list.ru
				                					                																			                												                								Россия, 664074, Иркутск, ул. Лермонтова, 83						
Список литературы
- Honma J., Nakayama H., Nishikawa O., Sugimoto T., Nomura S. Organic/inorganic nano-composites for high temperature proton conducting polymer electrolytes // Solid State Ionics. 2003. V. 162–163. P. 237.
- Ярославцев А.Б. Основные направления разработки и исследования твердых электролитов // Успехи химии. 2016. Т. 85. № 11. С. 1255–1277.
- Ivanov V.S., Yegorov A.S., Allakhverdov G.R., Men’shikov V.V. Synthesis and investigation of polyimide-based proton-exchange membranes containing polysiloxane and crow nether moiety // Oriental J. Chemistry. 2018. V. 34. № 1. P. 255–264.
- Guizhen Guo, Sun Youyi, Fu Qiang, MaYibing, Zhou Yaya, Xiong Zhiyuan, Liu Yaqing. Sol-gel synthesis of ternary conducting polymer hydrogel for application in all-solid-state flexible supercapacitor // International J. hydrogen energy. 2019. V. 44. P. 6103–6115.
- Zhang Xiaoyu, Shiyuan Yu, Qian Zhu, Lianhua Zhao. Enhanced anhydrous proton conductivity of SPEEK/IL composite membrane embedded with am nofunctionalized mesoporous silica // International J. hydrogen energy.2019. V. 44. P. 6148–6159.
- Wang Yuanyuan, Xu Jingmei, Zang Huan, Wang Zhe. Synthesis and properties of sulfonated poly(arylene ether ketone sulfone) containing amino groups/functional titania inorganic particles hybrid membranes for fuel cells // International J. hydrogen energy. 2019. V. 44. P. 6136–6147.
- Brijesh K., Bindu K., Shanbhag Dhanush, Nagaraja H.S. Chemically prepared Polypyrrole/ZnWO4 nanocomposite electrodes for electrocatalytic waters plitting // International J. hydrogen energy. 2019. V. 44. № 2. P. 757–767.
- Маркова М.В., Могнонов Д.М., Морозова Л.В., Михалева А.И., Трофимов Б.А. Композиционные протонпроводящие мембраны на основе поливинилглицидилового эфира этиленгликоля // Высокомолекулярные соединения. Серия Б. 2014. Т. 56. № 2. С. 216–225.
- Roy S., Saha S., Kumar A.G., Ghorai A., Banerjee S. Synthesis and characterization of new sulfonated copolytriazoles and their proton exchange membrane properties // J. applied polymer science. 2020. V. 137. P. 48514.
- Сафронова Е.Ю., Паршина А.В., Янкина К.Ю., Рыжкова Е.А., Лысова А.А., Бобрешова О.В., Ярославцев А.Б. Гибридные материалы на основе мембран МФ-4СК и гидратированных оксидов кремния и циркония с функционализированной поверхностью, содержащей сульфогруппы: транспортные свойства и характеристика ПД-сенсоров в растворах аминокислот при различных рН // Мембраны и мембранные технологии. 2017. Т. 7. № 11. С. 110116.
- Караванова Ю.А., Пономарев И.И., Стенина И.А., Волкова Ю.А. Исследование ионной проводимости ионообменных мембран на основе сульфированного полинафтилимида, допированных оксидом церия // Мембраны и мембранные технологии. 2018. Т. 8. № 2. С. 102–106.
- Prikhno I.A., Safronova E.Y., Ilyin A.B. Hybrid membranes synthesized from a Nafion powder and carbon nanotubes by hot pressing // Petroleum Chemistry. 2017. V. 57. № 13. P. 1228–1232.
- Ярошенко Ф.А., Бурмистров В.А. Синтез и исследование протонной проводимости гибридных материалов на основе перфторированных сульфокатионитных мембран МФ-4СК, модифицированных полисурьмяной кислотой // Мембраны и мембранные технологии. 2018. Т. 8. № 4. С. 249–253.
- Brijesh K., Bindu K., Dhanush Shanbhag, Nagaraja H.S. Chemically prepared Polypyrrole/ZnWO4 nanocomposite electrodes for electrocatalytic water splitting // International J. Hydrogen Energy. 2019. V. 44. Issue 2. P. 757–767.
- Pan H., Zhang Ya., Pu H., Chang Z. Organic-inorganic hybrid proton exchange membrane based on polyhedral oligomeric silsesquioxanes and sulfonated polyimides containing benzimidazole // J. Sources of energy. 2014. V. 263. P. 195–202.
- Lebedeva O.V., Pozhidaev Y.N., Sipkina E.I., Chesnokova A.N., Ivanov N.A. Copolymers and proton conducting films based on N-vinylpyrazole // Advanced Materials Research. 2013. V. 749. P. 71–76.
- Лебедева О.В., Сипкина Е.И., Пожидаев Ю.Н. Гибридные мембраны на основе диоксида кремния и сополимеров 2-гидроксиэтилметакрилата с 4-винилпиридином //Мембраны и мембранные технологии. 2016. Т. 6. № 2. С. 138–143.
- Emelyanov A.I., Lebedeva O.V., Malakhova E.A., Raskulova T.V., Pozhidaev Y.N., Verkhozina Y.A., Larina L.I., Korzhova S.A., Prozorova G.F., Pozdnyakov A.S. Acid–base membranes for solid polymer fuel cells // Membranes and membrane technologies. 2021. V. 3. № 3. P. 147–154.
- Chesnokova A., Lebedeva O.V., Pozhidaev Y.N., Malakhova E.A., Raskulova T.V., Kulshrestha V., Kuzmin A.V., Pozdnyakov A.S. New non-fluoridated hybrid proton exchange membranes based on commercial precursors // International J. hydrogen energy. 2020. V. 45. № 37. P. 18 716–18 730.
- Осипов А.К., Прихно И.А., Ярославцев А.Б. Ионный перенос в гибридных мембранах на основе перфторсульфополимеров // Мембраны и мембранные технологии. 2018. Т. 8. № 6. С. 406–410.
- Neese F. The ORCA program system // Wiley interdisciplinary Reviews—Computational Molecular Science. 2012. V. 2. P. 73–78.
- Becke A.D. Density-functional exchange-energy approximation with correct asymptotic behavior // Phys. Rev. A. 1988. V. 38. P. 3098.
- Perdew J.P. Density-functional approximation for the correlation energy of the inhomogeneous electron gas // Phys. Rev. B. 1986. V. 33. P. 8822.
- Weigend F., Ahlrichs R. Balanced basis sets of split valence, triple zeta valence and quadruple zeta valence quality for H to Rn: Design and assessment of accuracy // Phys. Chem. Chem. Phys. 2005. V. 7. P. 3297.
- Фомина Л.В., Малахова Е.А., Лебедева О.В., Пожидаев Ю.Н., Безносюк С.А., Фомин А.С., Раскулова Т.В. Механизм протонной проводимости ионпроводящих мембран на основе полисилсесквиоксанов // Вестник Ангарского Государственного Технического Университета. 2019. № 13. С. 81–89.
- Лебедева О.В., Пожидаев Ю.Н., Шаглаева Н.С., Поздняков А.С., Бочкарева С.С. Полимерные электролиты на основе азотистых оснований // Химическая технология. 2010. Т. 11. № 1. С. 20–25.
- Chesnokova A.N., Lebedeva O.V., Pozhidaev Y.N., Iva-nov N.A., Rzhechitskii A.E. Synthesis and properties of composite membranes for polymer electrolyte membrane fuel cells // Advanced Materials Research. 2014. V. 884–885. C. 251–256.
- Добрянская Г.И., Зуб Ю.Л., Барчак М., Дабровский А. Синтез и структурно-адсорбционные характеристики бифункциональных ксерогелей, содержащих метильные и 3-меркаптопропильные группы // Коллоидный журн. 2006. Т. 68. № 5. С. 601–611.
- Андрианов К.А. Кремнийорганические соединения. М.: Госхимиздат, 1955. 385 с.
Дополнительные файлы
 
				
			 
						 
						 
						 
					 
						 
									
 
  
  
  Отправить статью по E-mail
			Отправить статью по E-mail 





