Computationally efficient solution for finding the current density on the illuminated and shadow sides of an infinitely thin circular disk
- Autores: Ketukh D.K.1
-
Afiliações:
- Academy of the Federal Guard Service of the Russian Federation
- Edição: Volume 28, Nº 1 (2025)
- Páginas: 76-87
- Seção: Plenary reports of the XXI International scientific and technical conference «Physics and technical applications of wave processes»
- URL: https://journals.rcsi.science/1810-3189/article/view/314389
- DOI: https://doi.org/10.18469/1810-3189.2025.28.1.76-87
- ID: 314389
Citar
Texto integral
Resumo
Background. The article is devoted to the development of a computationally efficient numerical solution to the diffraction problem on an infinitely thin ideally conducting circular disk. The main attention is paid to the problem of finding the distribution of the surface current density on each side of the disk separately, which has remained undiscovered in other well-known studies. The aim of this paper is to eliminate this disadvantage by forming a computationally efficient algorithmic solution based on the method of moments and allowing numerically to set a smooth approximation of the surface current density on the illuminated and shadow sides of an infinitely thin ideally conducting circular disk. Methods. The solution is formed by the Galerkin method when determining the desired approximation of the surface current density on the disk. The solution is based on the formation of a smooth vector function given by the sum of global curl-free and curl basis functions relative to the disk. The corresponding basis functions are formed from the modifications of Bessel functions of the first kind and Zernike polynomials proposed in the paper. Results. The operability of the proposed solution is verified on test examples for a disk at different diameter-to-wavelength ratios. The comparison was made with the solution of a similar problem in the Ansoft HFSS CAD system. Conclusion. The obtained results allow us to conclude that the proposed solution is preferable and are the basis for further generalization of the results to more complex geometric structures when using the conformal mapping method.
Texto integral
Введение
Одной из канонических задач теории дифракции в векторном (электромагнитном) случае является задача дифракции на бесконечно тонком идеально проводящем круглом диске [1]. Ее исследованию в отношении внешней и внутренней задач электродинамики для стороннего плоского монохроматического поля произвольной поляризации и произвольного направления падения посвящено большое число работ [2–10] и др. Их основу составляют следующие решения: 1) аналитические, формируемые при применении метода разделения переменных и представления волновых уравнений в вырожденной эллиптической системе координат с получением решения в виде ряда по сфероидальным функциям [2; 3]; 2) асимптотические, реализуемые в приближениях физической оптики [4], физической теории дифракции [5], геометрической теории дифракции и ее модификаций [6; 7]; 3) численные, основанные на применении метода моментов [8] или его модификаций [9; 10].
Указанные решения в исследовании дифракционной задачи на бесконечно тонком идеально проводящем круглом диске при применении метода конформных отображений [11; 12] потенциально позволяют обобщить получаемый результат на более сложные геометрические структуры [13–15]. Вместе с тем перечисленные методы в существующих реализациях не позволяют вычислительно эффективно выделить поверхностную плотность тока на освещенной и теневой сторонах круглого диска.
Цель настоящей статьи состоит в устранении указанного недостатка путем формирования вычислительно эффективного алгоритмического решения, основанного на методе моментов и позволяющего численно определять гладкую аппроксимацию поверхностной плотности тока на освещенной и теневой сторонах бесконечно тонкого идеально проводящего круглого диска.
1. Постановка и решение задачи дифракции
Пусть – бесконечно тонкий идеально проводящий диск радиусом с центром в начале координат и границей а – падающее стороннее плоское монохроматическое поле (рис. 1).
Рис. 1. Геометрическое представление задачи дифракции плоской волны на бесконечно тонком идеально проводящем круглом диске
Fig. 1. Geometric representation of the problem of diffraction of a plane wave on an infinitely thin perfectly conducting circular disk
Задачу дифракции на сведем к определению рассеянного электромагнитного поля (ЭМП) [16]:
(1)
удовлетворяющего условиям [1; 13]:
(2)
где
– угловая частота; и – абсолютные диэлектрическая и магнитная проницаемости среды; индекс обозначает тангенциальную составляющую поля на ,
Доказательство существования и единственности решения задачи (1)–(2) при известно из [16, с. 45]. Используя векторные потенциалы и граничное условие для из (2), представим (1)–(2) в виде
(3)
где
– функция Грина; – поверхностная плотность тока на представленная суммой безвихревых и вихревых токов [17]; – орт нормали к .
Решение задачи (3) выполним в проекционной постановке метода Галеркина [18] при разложении:
(4)
искомой функции J по базису
С учетом первой формулы Грина [1] и свойств дифференциальных операторов [19] при удовлетворении граничным условиям ( – нормаль к ) выражение (3) при требовании ортогональности
невязки
к примет вид
(5)
Эффективность решения (5) существенным образом зависит от выбора для . При этом исследование задачи предлагается формировать из функций , способных в последующем численном решении (5) и аппроксимации (4) обеспечить возможность представить в виде суммы безвихревых и вихревых токов.
2. Решение дифракционной задачи с учетом разделения поверхностной плотности тока на вихревую и безвихревую составляющие
Особенность предложенного решения состоит в формировании гладкой аппроксимации
заданной конечными суммами:
где – количество базисных функций каждого типа.
Согласно [20], для имеет место двумерный аналог декомпозиции Гельмгольца, который для поля имеет вид
где
– неизвестные скалярные функции, удовлетворяющие условиям Неймана:
(6)
и Дирихле:
(7)
соответственно.
Тогда с учетом граничных условий на решение задачи (5) на определим:
(8)
В качестве и предлагается применять двумерные модифицированные функции Бесселя первого рода действительного переменного и многочлены Цернике удовлетворяющие условиям (6) и (7) соответственно.
Удовлетворяющие граничному условию Неймана (6) функции зададим в виде
(9)
где
– функции Бесселя перового рода порядка – упорядоченное по возрастанию (рис. 2) множество всех нулей
– порядковый номер нуля функции
– порядковый номер элемента множества .
Рис. 2. Примеры графиков и расположение первых 12 элементов множества нулей
Fig. 2. Examples of graphs of and location of the first 12 elements of the set of zeros
Модификацию функций Цернике при удовлетворении граничному условию (7) определим как
(10)
где
– многочлены Якоби порядка t;
Примеры графического представления предложенной модификации функции Бесселя первого рода действительного переменного и многочленов Цернике удовлетворяющие условиям (6) и (7) соответственно, приведены на рис. 3.
Рис. 3. Пример визуализации многочленов (а) и (б)
Fig. 3. Example of polynomials visualization (a) and (b)
С учетом поставленной задачи дифракции и предложении аппроксимации поверхностной плотности тока в виде (8) зададим (5) виде системы уравнений:
(11)
(12)
Решение системы уравнений (11), (12) позволит определить поверхностную плотность тока с требуемой точностью при обеспечении возможности выделения тока на освещенной и теневой сторонах диска.
3. Расчет поверхностной плотности тока на освещенной и теневой сторонах Ω
В [16] доказано, что с каждой стороны бесконечно тонкого идеально проводящего плоского экрана известны тангенциальная составляющая магнитного поля и нормальная составляющая электрического поля :
(13)
Согласно принципу физического эквивалента [23], поля и на поверхности идеально проводящего тела можно заменить эквивалентным поверхностным током :
(14)
где – нормаль к поверхности тела.
С учетом того что поле известно, а поддается вычислению для каждой из сторон , подставив (13) в (14) при непрерывности падающего поля в пределе получим:
Таким образом, предложенный способ позволяет преодолеть ограничения (5) при асимптотическом выделении тока с каждой из сторон . Для сформированных представлений составим численную схему решения задачи (11), (12) при определении и выделении алгоритмических особенностей.
4. Особенности алгоритмической реализации
Точность решения системы (11), (12) во многом зависит от численного вычисления одиночных и двойных интегралов. С этой целью представим область интегрирования многоугольником состоящим из
треугольных областей таких, что
Разбиение на треугольные элементы произведем триангуляцией Делоне (рис. 4) [6].
Рис. 4. Вариант представления диска многоугольником S. Точками обозначены узлы численного интегрирования
Fig. 4. Variant of the disk representation by a polygon S. The dots indicate the nodes of numerical integration
Окончательная система линейных алгебраических уравнений (СЛАУ) относительно неизвестных коэффициентов примет вид
Ввиду того что и
В качестве узлов численного интегрирования внутри каждого используются корни многочленов Дубинера – Курнвиндера [21]:
(19)
где n – максимальная степень многочлена Якоби
Координаты узлов интегрирования определим по правилу (рис. 5):
Рис. 5. Корни многочлена Дубинера – Курнвиндера при Нумерация корней отображена в виде где row – номер строки, col – номер столбца: a – на единичном треугольнике; б – на произвольном треугольнике
Fig. 5. Roots of the Dubiner–Koornwinder polynomial at The numbering of the roots is shown in the form where row is the row number, col is the column number: a – on a unit triangle; b – on an arbitrary triangle
В ходе вычисления (11) и (12) возникает ситуация, когда и при и Для исключения сингулярности в при интегрирование производится в полярной системе координат [22]. Обозначим тогда в интегралах вида
(20)
(где – порядковые номера базисных функций) преобразуем по в локальную относительно полярную систему координат с центром в . В таком представлении (20) преобразуется:
где – номер вершины ;
– координаты пересечения со стороной
– координаты вершин
Таким образом, указанные приемы позволяют минимизировать влияние ошибки численных методов расчета на получение итогового результата. Следует отметить, что точность получаемого решения значительно зависит от приближения границы многоугольника к . С этой целью количество областей интегрирования необходимо увеличивать у границы .
5. Результаты верификации сформированных решений
Для наглядной демонстрации предпочтительности сформированного решения выполним серию вычислительных экспериментов, которые предполагают получение плотности тока на освещенной и теневой сторонах диска для различных порядков аппроксимации полиномов и размеров диска, заданного соотношением , – длина волны.
Эталонная модель, используемая для верификации полученных результатов, разработана в САПР ANSYS HFSS. Она имеет форму идеально проводящего цилиндра высотой 0,0001 м и радиусом D. В качестве источника ЭМП задана плоская монохроматическая волна с частотой 1,5 ГГц и фронтом, параллельным диску. Установки программы: режим моделирования: HFSS IE Solver; Maximum Number of Passes: 20; Maximum Residual Error: 0,0002. Сравнение полученных результатов для различных соотношений приведены на рис. 6, 7.
Рис. 6. Сравнение и в САПР Ansys HFSS (а) и разработанного решениея (б) при различных соотношениях
Fig. 6. Comparison of and in Ansys HFSS CAD (a) and the developed solution (b) at different
Рис. 7. Совмещение графиков и для различных соотношений . Оранжевый – САПР Ansoft HFSS, цветной – разработанное решение
Fig. 7. Matching plots and for different Orange – Ansoft HFSS CAD, colored – developed solution
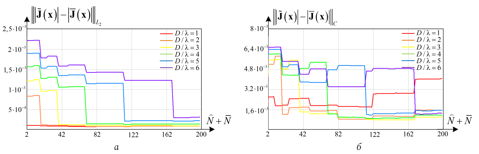
Оценка апостериорной сходимости оценивалась относительно модуля
по нормам:
где при
В качестве эталона принято решение, сформированное в САПР Ansoft HFSS.
Из представленных на рис. 8 графических зависимостей следует, что не все базисные функции вносят одинаковый вклад в решение тестовой задачи. В этой связи на графиках наблюдаются «скачки» (рис. 8). Отдельные увеличения ошибки (особенно для малых по норме при росте числа базисных функций связано с ошибочным нахождением в САПР Ansoft HFSS поверхностной плотности тока вблизи (рис. 7). Также для улучшения сходимости при малых соотношениях требуется дополнительная регуляризация СЛАУ. В реализованном алгоритме ее решение выполнено прямым методом.
Рис. 8. Зависимость (а) и (б) от числа базисных функций
Fig. 8. Dependence of (a) and (b) on the number of basis functions
В целом применение составленного алгоритмического решения при исследовании задачи дифракции на и выделении обеспечивает экспоненциальную сходимость по норме и полиномиальной по норме в .
Заключение
Полученные результаты позволяют сделать вывод о предпочтительном применении предложенной модификации функций Бесселя и Цернике при решении задачи дифракции на . Основное достоинство предлагаемой схемы состоит в разделении суммарной поверхностной плотности тока на две составляющие: на освещенной и теневой сторонах . Применение векторных базисных функций и основанных на многочленах (9) и (10), удовлетворяющих граничным условиям (6) и (7), позволяет учесть влияние на и . В свою очередь, поле формирует дополнительные поверхностные токи равной амплитуды, но разного направления с каждой из сторон , что в совокупности с принципом эквивалентности позволяет разделить на и
Следует уточнить, что применение стандартных норм и при для оценки сходимости в рассматриваемой задаче является некорректным, что обуславливается граничными условиями вблизи при возникающей сингулярности [16]. В этой связи в нормах и для апостериорной оценки сходимости результатов численного решения выбрана модификация при В последующих исследованиях для априорной оценки сходимости предполагается выбирать пространства Соболева [24].
Полученные результаты при применении метода конформных отображений [12] потенциально позволят обобщить полученные результаты на более сложные геометрические структуры, что и является направлением дальнейших исследований.
Sobre autores
Dmitry Ketukh
Academy of the Federal Guard Service of the Russian Federation
Autor responsável pela correspondência
Email: kdk_hcc@mail.ru
member of the Academy of the Federal Guard Service of the Russian Federation. Author of 10 scientific publications.
Research interests: radio engineering, antenna systems, computational electrodynamics, digital signal processing
Rússia, 35, Priborostroitelnaya Street, Oryol, 302015Bibliografia
- I. S. Polyansky et al., Electromagnetic Field Theory and Radio Wave Distribution. Moscow: Goryachaya liniya – Telekom, 2023. (In Russ.)
- H. Henl, A. Maue, and K. Vestpfal, Theory of Diffraction. Moscow: Mir, 1964. (In Russ.)
- K. Hongo and Q. A. Naqvi, “Diffraction of electromagnetic wave by disk and circular hole in a perfectly conducting plane,” Progress in Electromagnetics Research, vol. 68, pp. 113–150, 2007, doi: http://dx.doi.org/10.2528/PIER06073102.
- C. A. Balanis, Antenna Theory Analysis and Design. Hoboken: John Wiley & Sons, 1982.
- P. Ya. Ufimtsev, Theory of Boundary Wave Diffraction in Electrodynamics. Introduction to the Physical Theory of Diffraction. Moscow: BINOM. Laboratoriya znaniy, 2012. (In Russ.)
- N. S. Arkhipov, I. S. Polyansky, and A. M. Somov, Analysis and Structural-Parametric Synthesis of Mirror Antennas. Moscow: Goryachaya liniya – Telekom, 2017. (In Russ.)
- R. G. Kouyoumjian and P. H. Pathak, “A uniform geometrical theory of diffraction of an edge in a perfectly conducting surface,” Proceedings of the IEEE, vol. 62, no. 11, pp. 1448–1461, 1974, doi: https://doi.org/10.1109/PROC.1974.9651.
- A. M. Somov et al., Modeling and Calculation of Path Elements and Antennas of Radio Relay and Satellite Communications in CAD Ansoft HFSS. Moscow: Goryachaya liniya – Telekom, 2020. (In Russ.)
- M. Kaye, P. Murthy, and G. Thiele, “An iterative method for solving scattering problems,” IEEE Transactions on Antennas and Propagation, vol. 33, no. 11, pp. 1272–1279, 1985, doi: https://doi.org/10.1109/TAP.1985.1143510.
- P. Murthy, K. Hill, and G. Thiele, “A hybrid-iterative method for scattering problems,” IEEE Trans. Antennas Propagation, vol. 34, no. 10, pp. 1173–1180, 1986, doi: https://doi.org/10.1109/TAP.1986.1143738.
- V. M. Radygin and I. S. Polyansky, “Modified method of successive conformal mappings of polygonal domains,” Vestnik Tomskogo gosudarstvennogo universiteta. Matematika i mekhanika, no. 1 (39), pp. 25–35, 2016, doi: https://doi.org/10.17223/19988621/39/3. (In Russ.)
- I. S. Polyansky and K. O. Loginov, “Approximate method for solving the problem of conformal mapping of an arbitrary polygon to a unit circle,” Vestnik Udmurtskogo universiteta. Matematika. Mekhanika. Komp’yuternye nauki, vol. 32, no. 1, pp. 107–129, 2022, doi: https://doi.org/10.35634/vm220108. (In Russ.)
- I. S. Polyansky et al., “Electrodynamic analysis of mirror antennas in the approximation of the barycentric method,” Physics of Wave Processes and Radio Systems, vol. 23, no. 4, pp. 36–47, 2020, doi: https://doi.org/10.18469/1810-3189.2020.23.4.36-47. (In Russ.)
- A. S. Il’insky, I. S. Polyansky, and D. E. Stepanov, “Solving problems of electromagnetic wave diffraction on screens of arbitrary shape by the barycentric method,” Prikladnaya matematika i informatika. Trudy fakul’teta VMK MGU imeni M.V. Lomonosova, vol. 65, pp. 15–30, 2020, url: https://www.elibrary.ru/item.asp?id=44726938. (In Russ.)
- I. S. Polyansky, “About application the barycentric method in the numerical solution of internal problem of electrodynamics,” Physics of Wave Processes and Radio Systems, vol. 21, no. 3, pp. 36–42, 2018, url: https://journals.ssau.ru/pwp/article/view/7016. (In Russ.)
- A. S. Il’insky and Yu. G. Smirnov, Diffraction of Electromagnetic Waves on Conducting Thin Screens (Pseudodifferential Operators in Diffraction Problems). Moscow: IPRZhR, 1996. (In Russ.)
- A. N. Dement’ev et al., Singular and Hypersingular Integral Equations in the Theory of Mirror and Strip Antennas. Moscow: Radiotekhnika, 2015. (In Russ.)
- L. Kantorovich and V. I. Krylov, Approximate Methods of Higher Analysis, 3rd ed. Moscow: Gostekhizdat, 1950. (In Russ.)
- N. S. Arkhipov et al., Methods for Analyzing Waveguide Transmission Lines. Moscow: Goryachaya liniya – Telekom, 2017. (In Russ.)
- M. D. Malykh et al., “On the reduction of Maxwell’s equations in waveguides to the system of coupled Helmholtz equations,” Vestnik Rossiyskogo universiteta druzhby narodov: Seriya Matematika, informatika, fizika, vol. 26, no. 1, pp. 39–48, 2018, doi: https://doi.org/10.22363/2312-9735-2018-26-1-39-48. (In Russ.)
- M. Dubiner, “Spectral methods on triangles and other domains,” Journal of Scientific Computing, vol. 6, no. 4, pp. 345–390, 1991, doi: https://doi.org/10.1007/BF01060030.
- W. Cai, Y. Yijun, and X. C. Yuan, “Singularity treatment and high-order RWG basis functions for integral equations of electromagnetic scattering,” International journal for numerical methods in engineering, vol. 53, no. 1, pp. 31–47, 2001, doi: https://doi.org/10.1002/NME.390.
- W. C. Gibson, The Method of Moments in Electromagnetics. New York: Chapman and Hall, 2014, doi: https://doi.org/10.1201/b17119.
- A. S. Il’insky et al., “On the convergence the barycentric method in solving diffraction problems on conductive thin screens,” Physics of Wave Processes and Radio Systems, vol. 23, no. 3, pp. 34–43, 2020, doi: https://doi.org/10.18469/1810-3189.2020.23.3.34-43. (In Russ.)
Arquivos suplementares










